伪随机码详解

350 阅读3分钟

本专栏包含信息论与编码的核心知识,按知识点组织,可作为教学或学习的参考。markdown版本已归档至【Github仓库:github.com/timerring/i… 】或者公众号【AIShareLab】回复 信息论 获取。

伪随机码

伪随机序列的概念

伪随机序列应当具有类似随机序列的性质。在工程上常用二元 {0,1} 序列来产生伪随机(噪声)码, 它具有以下几个特点:

  • 在随机序列的每一个周期内 0 和 1 出现的次数近似相等。
  • 每一周期内, 长度为 n\boldsymbol{n} 的游程取值(相同码元的码元串)出现的次数比长度为 n+1 的游程次数多一倍。
  • 随机序列的自相关类似于白噪声自相关函数的性质。

对伪随机码定义可写为

(1)凡自相关函数具有

ρx(j)={i=1nxi2p=1,j=0i=1nxixi+jp=1p,j0.\rho_{x}(j)=\{\begin{array}{l} \sum_{i=1}^{n} \frac{x_{i}^{2}}{p}=1, \quad j=0 \\ \sum_{i=1}^{n} \frac{x_{i} x_{i+j}}{p}=-\frac{1}{p}, j \neq 0 \end{array}.

形式的码, 称为伪随机码, 又称为狭义伪随机码。

(2) 凡自相关函数具有

ρx(j)={i=1nxi2/p=1j=0i=1nxixi+j/p=a<1j0.\rho_{x}(j)=\{\begin{array}{ll} \sum_{i=1}^{n} x_{i}^{2} / p=1 & j=0 \\ \sum_{i=1}^{n} x_{i} x_{i+j} / p=a<1 & j \neq 0 \end{array}.

形式的码, 称为广义伪随机码。狭义伪随机码是广义伪随机码的特例。

伪随机序列的产生

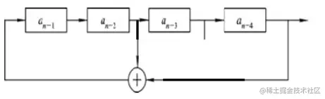
可以用移位奇存器作为伪随机码产生器, 图1是一个4级移位寄存 器, 用它就可产生伪随机序列。图1中的反馈逻辑为

an=an3an4a_{n}=a_{n-3} \oplus a_{n-4}

在这里插入图片描述

当移位寄存器的初始状态是 an4=1a_{n-4}=1, an3=0a_{n-3}=0, an2=0a_{n-2}=0, an1=0a_{n-1}=0 , 经过一 个时钟节拍后, 各级状态自左向右移到下一级, 末级输出一位数, 与此同时模二加法器输出加到移位寄存器第一级, 从而形成移位 寄存器的新状态, 下一个时钟节拍到来又继续上述过程, 末级输出序列就是伪随机序列。在这种条件下, 产生的伪随机序列是

这是一个周期长度p=15的伪随机序列。

当上图的初始状态是 0 状态时, 即 an4=an3=an2=an1=0a_{n-4}=a_{n-3}=a_{n-2}=a_{n-1}=0 移存器的输 出是一个0序列。

4 级移存器共有 16 个状态, 除去一个 0 状态外, 还有 15 个状态。 对于图1来说, 只要随机序列的周期达到最大值, 这时无论如何 改变移存器的初始状态, 其输出只改变序列的初相, 序列的排 序规律不会改变。

但如果改变图四级移存器的反馈逻辑, 其输出序列就会发生变化。

下图中的反馈逻辑是 an=an2an4a_{n}=a_{n-2} \oplus a_{n-4} , 初始状态为 1111, 输出序列为111100111100111...

在这里插入图片描述

反馈逻辑是 an=an2an4a_{n}=a_{n-2} \oplus a_{n-4} , 时, 给定不同的初始状态1111、 0001 、 1011 , 可以得到三个完全不同的输出序列 111100111100.., 000101000101..,101101101101。它们的周期分别是6、6和3。

由此, 我们可以得出以下几点结论:

(1)线性移位寄存器的输出序列是一个周期序列。

(2)当初始状态是0状态时, 线性移位寄存器的输出是一个0序列。

(3)级数相同的线性移位寄存器的输出序列与寄存器的反馈逻辑有关。

(4)序列周期 p<<2n1p^{<}<\mathbf{2}^{n}-1 (n级线性移位寄存器) 的同一个线性移存器的输 出还与起始状态有关。

(5) 序列周期 pn=2n1p^{n}=2^{n}-1 的线性移位寄存器, 改变移位寄存起初始状态 只改变序列的起始相位, 而周期序列排序规律不变。

参考文献:

  1. Proakis, John G., et al. Communication systems engineering. Vol. 2. New Jersey: Prentice Hall, 1994.
  2. Proakis, John G., et al. SOLUTIONS MANUAL Communication Systems Engineering. Vol. 2. New Jersey: Prentice Hall, 1994.
  3. 周炯槃. 通信原理(第3版)[M]. 北京:北京邮电大学出版社, 2008.
  4. 樊昌信, 曹丽娜. 通信原理(第7版) [M]. 北京:国防工业出版社, 2012.