夯实算法-环形链表

147 阅读2分钟

题目:LeetCode

给你一个链表的头节点 head ,判断链表中是否有环。

如果链表中有某个节点,可以通过连续跟踪 next 指针再次到达,则链表中存在环。 为了表示给定链表中的环,评测系统内部使用整数 pos 来表示链表尾连接到链表中的位置(索引从 0 开始)。注意:pos 不作为参数进行传递 。仅仅是为了标识链表的实际情况。

如果链表中存在环 ,则返回 true 。 否则,返回 false 。

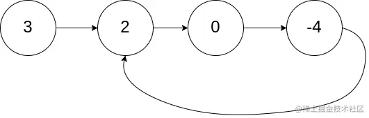
示例 1:

1.png

输入: head = [3,2,0,-4], pos = 1
输出: true
解释: 链表中有一个环,其尾部连接到第二个节点。

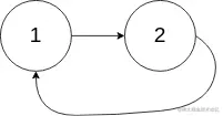
示例 2:

2.png

输入: head = [1,2], pos = 0
输出: true
解释: 链表中有一个环,其尾部连接到第一个节点。

示例 3:

3.png

输入: head = [1], pos = -1
输出: false
解释: 链表中没有环。

提示:

  • 链表中节点的数目范围是 [0,104][0, 10^4]
  • 105<=Node.val<=105-10^5 <= Node.val <= 10^5
  • pos 为 -1 或者链表中的一个 有效索引 。

解题思路

单链表的环,就像一个体育场的跑道一样,一旦进去了,就会无限循环,是出不来的,这是有环的情况。如果没有环,那么就能遍历到链表结尾,也即最后一个节点的next为null。

根据题目意思:105<=Node.val<=105-10^5 <= Node.val <= 10^5 也就是说数值大小一定会大于int的最小值,那么我们只需要在遍历过的节点上全部修改为int的最小值。 当出现环形时当前节点的数值一定为int最小值。

代码实现

public class Solution {
    public boolean hasCycle(ListNode head) {

        if (head == null) {
            return false;
        }

        head.val = Integer.MIN_VALUE;
        head = head.next;
        //如果存在环形,那么fastP不可能会在while结束
        while (head != null) {

            if (head.val == Integer.MIN_VALUE) {
                return true;
            }
            head.val = Integer.MIN_VALUE;

            head = head.next;

        }
        return false;
    }
}

运行结果

Snipaste_2022-12-28_21-19-30.png

复杂度分析

  • 空间复杂度:O(1)O(1)
  • 时间复杂度:O(n)O(n)

掘金(JUEJIN)  一起分享知识, Keep Learning!