机器学习:基于逻辑回归的分类预测

1,195 阅读8分钟

1.逻辑回归的介绍和应用

1.1 逻辑回归的介绍

逻辑回归(Logistic regression,简称LR)虽然其中带有"回归"两个字,但逻辑回归其实是一个分类模型,并且广泛应用于各个领域之中。虽然现在深度学习相对于这些传统方法更为火热,但实则这些传统方法由于其独特的优势依然广泛应用于各个领域中。

而对于逻辑回归而且,最为突出的两点就是其模型简单和模型的可解释性强。

逻辑回归模型的优劣势:

  • 优点:实现简单,易于理解和实现;计算代价不高,速度很快,存储资源低;
  • 缺点:容易欠拟合,分类精度可能不高

1.2 逻辑回归的应用

逻辑回归模型广泛用于各个领域,包括机器学习,大多数医学领域和社会科学。例如,最初由Boyd 等人开发的创伤和损伤严重度评分(TRISS)被广泛用于预测受伤患者的死亡率,使用逻辑回归,基于观察到的患者特征(年龄,性别,体重指数,各种血液检查的结果等)分析预测发生特定疾病(例如糖尿病,冠心病)的风险。逻辑回归模型也用于预测在给定的过程中,系统或产品出现故障的可能性。还用于市场营销应用程序,例如预测客户购买产品或中止订购的倾向等。在经济学中它可以用来预测一个人选择进入劳动力市场的可能性,而商业应用则可以用来预测房主拖欠抵押贷款的可能性。条件随机字段是逻辑回归到顺序数据的扩展,用于自然语言处理。

逻辑回归模型现在同样是很多分类算法的基础组件,比如 分类任务中基于GBDT算法+LR逻辑回归实现的信用卡交易反欺诈,CTR(点击通过率)预估等,其好处在于输出值自然地落在0到1之间,并且有概率意义。模型清晰,有对应的概率学理论基础。它拟合出来的参数就代表了每一个特征(feature)对结果的影响。也是一个理解数据的好工具。但同时由于其本质上是一个线性的分类器,所以不能应对较为复杂的数据情况。很多时候我们也会拿逻辑回归模型去做一些任务尝试的基线(基础水平)。

1.3 逻辑回归的基本原理

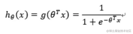
  1. Logistic函数(或称为Sigmoid函数),函数形式为: 在这里插入图片描述

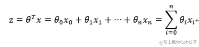
对于线性边界的情况,边界形式如下: 在这里插入图片描述

其中,训练数据为向量 在这里插入图片描述

最佳参数 在这里插入图片描述

构造预测函数为: 在这里插入图片描述 函数h(x)的值有特殊的含义,它表示结果取1的概率,因此对于输入x分类结果为类别1和类别0的概率分别为:

P(y=1│x;θ)=h_θ (x) P(y=0│x;θ)=1-h_θ (x)

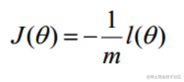
构造损失函数J(m个样本,每个样本具有n个特征) Cost函数和J函数如下,它们是基于最大似然估计推导得到的。 在这里插入图片描述 在这里插入图片描述 最大似然估计就是求使l(θ)取最大值时的θ,其实这里可以使用梯度下降法求解,求得的θ就是要求的最佳参数。

在Andrew Ng的课程中将J(θ)取为下式,即: 在这里插入图片描述

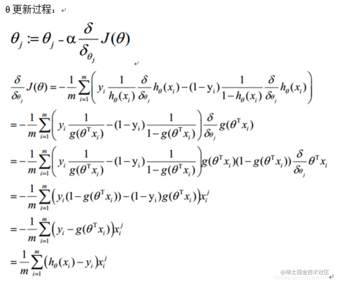
  1. 梯度下降法求解最小值 在这里插入图片描述

θ更新过程可以写成: 在这里插入图片描述

2.代码实现

2.1 Demo实战

##  基础函数库
import numpy as np 

## 导入画图库
import matplotlib.pyplot as plt
import seaborn as sns

## 导入逻辑回归模型函数
from sklearn.linear_model import LogisticRegression


##Demo演示LogisticRegression分类

## 构造数据集
x_fearures = np.array([[-1, -2], [-2, -1], [-3, -2], [1, 3], [2, 1], [3, 2]])
y_label = np.array([0, 0, 0, 1, 1, 1])

## 调用逻辑回归模型
lr_clf = LogisticRegression()å

## 用逻辑回归模型拟合构造的数据集
lr_clf = lr_clf.fit(x_fearures, y_label) #其拟合方程为 y=w0+w1*x1+w2*x2

## 查看其对应模型的w
print('the weight of Logistic Regression:',lr_clf.coef_)

## 查看其对应模型的w0
print('the intercept(w0) of Logistic Regression:',lr_clf.intercept_)

## 可视化构造的数据样本点
plt.figure()
plt.scatter(x_fearures[:,0],x_fearures[:,1], c=y_label, s=50, cmap='viridis')
plt.title('Dataset')
plt.show()

# 可视化决策边界
plt.figure()
plt.scatter(x_fearures[:,0],x_fearures[:,1], c=y_label, s=50, cmap='viridis')
plt.title('Dataset')

nx, ny = 200, 100
x_min, x_max = plt.xlim()
y_min, y_max = plt.ylim()
x_grid, y_grid = np.meshgrid(np.linspace(x_min, x_max, nx),np.linspace(y_min, y_max, ny))

z_proba = lr_clf.predict_proba(np.c_[x_grid.ravel(), y_grid.ravel()])
z_proba = z_proba[:, 1].reshape(x_grid.shape)
plt.contour(x_grid, y_grid, z_proba, [0.5], linewidths=2., colors='blue')

plt.show()

### 可视化预测新样本

plt.figure()
## new point 1
x_fearures_new1 = np.array([[0, -1]])
plt.scatter(x_fearures_new1[:,0],x_fearures_new1[:,1], s=50, cmap='viridis')
plt.annotate(s='New point 1',xy=(0,-1),xytext=(-2,0),color='blue',arrowprops=dict(arrowstyle='-|>',connectionstyle='arc3',color='red'))

## new point 2
x_fearures_new2 = np.array([[1, 2]])
plt.scatter(x_fearures_new2[:,0],x_fearures_new2[:,1], s=50, cmap='viridis')
plt.annotate(s='New point 2',xy=(1,2),xytext=(-1.5,2.5),color='red',arrowprops=dict(arrowstyle='-|>',connectionstyle='arc3',color='red'))

## 训练样本
plt.scatter(x_fearures[:,0],x_fearures[:,1], c=y_label, s=50, cmap='viridis')
plt.title('Dataset')

# 可视化决策边界
plt.contour(x_grid, y_grid, z_proba, [0.5], linewidths=2., colors='blue')

plt.show()
## 在训练集和测试集上分布利用训练好的模型进行预测
y_label_new1_predict = lr_clf.predict(x_fearures_new1)
y_label_new2_predict = lr_clf.predict(x_fearures_new2)

print('The New point 1 predict class:\n',y_label_new1_predict)
print('The New point 2 predict class:\n',y_label_new2_predict)

## 由于逻辑回归模型是概率预测模型(前文介绍的 p = p(y=1|x,\theta)),所有我们可以利用 predict_proba 函数预测其概率
y_label_new1_predict_proba = lr_clf.predict_proba(x_fearures_new1)
y_label_new2_predict_proba = lr_clf.predict_proba(x_fearures_new2)

print('The New point 1 predict Probability of each class:\n',y_label_new1_predict_proba)
print('The New point 2 predict Probability of each class:\n',y_label_new2_predict_proba)

在这里插入图片描述

2.2 基于鸢尾花(iris)数据集的逻辑回归分类实践

##  基础函数库
import numpy as np 
import pandas as pd

## 绘图函数库
import matplotlib.pyplot as plt
import seaborn as sns

## 我们利用 sklearn 中自带的 iris 数据作为数据载入,并利用Pandas转化为DataFrame格式
from sklearn.datasets import load_iris
data = load_iris() #得到数据特征
iris_target = data.target #得到数据对应的标签
iris_features = pd.DataFrame(data=data.data, columns=data.feature_names) #利用Pandas转化为DataFrame格式

## 合并标签和特征信息
iris_all = iris_features.copy() ##进行浅拷贝,防止对于原始数据的修改
iris_all['target'] = iris_target
## 特征与标签组合的散点可视化
sns.pairplot(data=iris_all,diag_kind='hist', hue= 'target')
plt.show()

for col in iris_features.columns:
    sns.boxplot(x='target', y=col, saturation=0.5,palette='pastel', data=iris_all)
    plt.title(col)
    plt.show()

# 选取其前三个特征绘制三维散点图
from mpl_toolkits.mplot3d import Axes3D

fig = plt.figure(figsize=(10,8))
ax = fig.add_subplot(111, projection='3d')

iris_all_class0 = iris_all[iris_all['target']==0].values
iris_all_class1 = iris_all[iris_all['target']==1].values
iris_all_class2 = iris_all[iris_all['target']==2].values
# 'setosa'(0), 'versicolor'(1), 'virginica'(2)
ax.scatter(iris_all_class0[:,0], iris_all_class0[:,1], iris_all_class0[:,2],label='setosa')
ax.scatter(iris_all_class1[:,0], iris_all_class1[:,1], iris_all_class1[:,2],label='versicolor')
ax.scatter(iris_all_class2[:,0], iris_all_class2[:,1], iris_all_class2[:,2],label='virginica')
plt.legend()

plt.show()

## 为了正确评估模型性能,将数据划分为训练集和测试集,并在训练集上训练模型,在测试集上验证模型性能。
from sklearn.model_selection import train_test_split

## 选择其类别为0和1的样本 (不包括类别为2的样本)
iris_features_part = iris_features.iloc[:100]
iris_target_part = iris_target[:100]

## 测试集大小为20%, 80%/20%分
x_train, x_test, y_train, y_test = train_test_split(iris_features_part, iris_target_part, test_size = 0.2, random_state = 2020)

## 从sklearn中导入逻辑回归模型
from sklearn.linear_model import LogisticRegression

## 定义 逻辑回归模型 
clf = LogisticRegression(random_state=0, solver='lbfgs')

# 在训练集上训练逻辑回归模型
clf.fit(x_train, y_train)

## 查看其对应的w
print('the weight of Logistic Regression:',clf.coef_)

## 查看其对应的w0
print('the intercept(w0) of Logistic Regression:',clf.intercept_)

## 在训练集和测试集上分布利用训练好的模型进行预测
train_predict = clf.predict(x_train)
test_predict = clf.predict(x_test)
from sklearn import metrics

## 利用accuracy(准确度)【预测正确的样本数目占总预测样本数目的比例】评估模型效果
print('The accuracy of the Logistic Regression is:',metrics.accuracy_score(y_train,train_predict))
print('The accuracy of the Logistic Regression is:',metrics.accuracy_score(y_test,test_predict))

## 查看混淆矩阵 (预测值和真实值的各类情况统计矩阵)
confusion_matrix_result = metrics.confusion_matrix(test_predict,y_test)
print('The confusion matrix result:\n',confusion_matrix_result)

# 利用热力图对于结果进行可视化
plt.figure(figsize=(8, 6))
sns.heatmap(confusion_matrix_result, annot=True, cmap='Blues')
plt.xlabel('Predicted labels')
plt.ylabel('True labels')
plt.show()

## 测试集大小为20%, 80%/20%分
x_train, x_test, y_train, y_test = train_test_split(iris_features, iris_target, test_size = 0.2, random_state = 2020)

## 定义 逻辑回归模型 
clf = LogisticRegression(random_state=0, solver='lbfgs')

# 在训练集上训练逻辑回归模型
clf.fit(x_train, y_train)

## 在训练集和测试集上分布利用训练好的模型进行预测
train_predict = clf.predict(x_train)
test_predict = clf.predict(x_test)

## 由于逻辑回归模型是概率预测模型(前文介绍的 p = p(y=1|x,\theta)),所有我们可以利用 predict_proba 函数预测其概率
train_predict_proba = clf.predict_proba(x_train)
test_predict_proba = clf.predict_proba(x_test)

print('The test predict Probability of each class:\n',test_predict_proba)
## 其中第一列代表预测为0类的概率,第二列代表预测为1类的概率,第三列代表预测为2类的概率。

## 利用accuracy(准确度)【预测正确的样本数目占总预测样本数目的比例】评估模型效果
print('The accuracy of the Logistic Regression is:',metrics.accuracy_score(y_train,train_predict))
print('The accuracy of the Logistic Regression is:',metrics.accuracy_score(y_test,test_predict))

## 查看混淆矩阵
confusion_matrix_result = metrics.confusion_matrix(test_predict,y_test)
print('The confusion matrix result:\n',confusion_matrix_result)

# 利用热力图对于结果进行可视化
plt.figure(figsize=(8, 6))
sns.heatmap(confusion_matrix_result, annot=True, cmap='Blues')
plt.xlabel('Predicted labels')
plt.ylabel('True labels')
plt.show()

在这里插入图片描述

3.总结

Logistic回归虽然名字里带“回归”,但是它实际上是一种分类方法,主要用于两分类问题(即输出只有两种,分别代表两个类别),所以利用了Logistic函数(或称为Sigmoid函数),函数形式为:

logi(z)=11+ezlogi(z)=\frac{1}{1+e^{-z}}

其对应的函数图像可以表示如下:

import numpy as np
import matplotlib.pyplot as plt
x = np.arange(-5,5,0.01)
y = 1/(1+np.exp(-x))

plt.plot(x,y)
plt.xlabel('z')
plt.ylabel('y')
plt.grid()
plt.show()

在这里插入图片描述

通过上图我们可以发现 Logistic 函数是单调递增函数,并且在z=0的时候取值为0.5,并且logi()logi(\cdot)函数的取值范围为(0,1)(0,1)

而回归的基本方程为z=w0+iNwixiz=w_0+\sum_i^N w_ix_i

将回归方程写入其中为:

p=p(y=1x,θ)=hθ(x,θ)=11+e(w0+iNwixi)p = p(y=1|x,\theta) = h_\theta(x,\theta)=\frac{1}{1+e^{-(w_0+\sum_i^N w_ix_i)}}

所以, p(y=1x,θ)=hθ(x,θ)p(y=1|x,\theta) = h_\theta(x,\theta)p(y=0x,θ)=1hθ(x,θ)p(y=0|x,\theta) = 1-h_\theta(x,\theta)

逻辑回归从其原理上来说,逻辑回归其实是实现了一个决策边界:对于函数 y=11+ezy=\frac{1}{1+e^{-z}},当 z=>0z=>0时,y=>0.5y=>0.5,分类为1,当 z<0z<0时,y<0.5y<0.5,分类为0,其对应的yy值我们可以视为类别1的概率预测值.

对于模型的训练而言:实质上来说就是利用数据求解出对应的模型的特定的ww。从而得到一个针对于当前数据的特征逻辑回归模型。

而对于多分类而言,将多个二分类的逻辑回归组合,即可实现多分类。