基于DCT变换和ZigZag的图像压缩算法matlab性能仿真,仿真输出不同压缩率与图像质量的关系

516 阅读4分钟

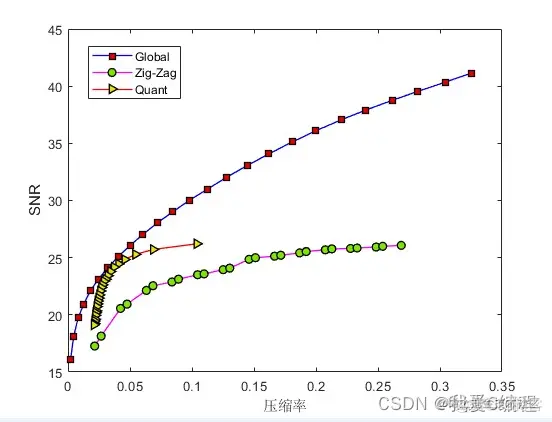
1.算法仿真效果

matlab2022a仿真结果如下:

13753b76f25125e3d5fa4341e20512d2_watermark,size_14,text_QDUxQ1RP5Y2a5a6i,color_FFFFFF,t_100,g_se,x_10,y_10,shadow_20,type_ZmFuZ3poZW5naGVpdGk=.png

2.算法涉及理论知识概要

       图像压缩是一种广泛应用的技术,它能够在不影响图像质量的前提下,减少图像所占用的存储空间。本文将介绍一种基于离散余弦变换(Discrete Cosine Transform,简称DCT)和ZigZag扫描的图像压缩算法,并探讨不同压缩率与图像质量的关系。

 

离散余弦变换(DCT)

离散余弦变换(DCT)是一种线性变换,具有良好的能量聚集性能。在图像压缩领域,DCT用于将图像数据从空间域转换到频率域。具体来说,DCT将图像中每个像素的强度值转换为一组系数,这组系数表示图像的频率特征。

ZigZag扫描

     为了进一步压缩DCT变换后的系数,通常需要对系数进行量化。量化是一种有损压缩过程,它将连续的系数值映射到离散的集合中。在量化过程中,高频系数(表示图像细节信息)的精度通常会降低,而低频系数(表示图像大致结构)的精度保持相对较高。

 

      在量化之后,还需要对系数进行重新排列以提高压缩效果。ZigZag扫描是一种常用的重新排列方法,它按照对角线的顺序遍历DCT系数矩阵。ZigZag扫描的目的是将系数按照能量从高到低的顺序排列,以便后续的编码过程能够更好地利用系数之间的相关性。

 

压缩过程

基于DCT变换和ZigZag扫描的图像压缩算法可以分为以下几个步骤:

 

将输入图像分割成8x8的小块;

对每个8x8的小块应用离散余弦变换(DCT);

对DCT变换后的系数进行量化;

使用ZigZag扫描对量化后的系数进行重新排列;

应用熵编码(例如哈夫曼编码)对重新排列后的系数进行编码;

将编码后的数据存储为压缩文件。

不同压缩率与图像质量的关系

        在基于DCT变换和ZigZag扫描的图像压缩算法中,压缩率主要受量化过程的影响。量化表是量化过程中的关键参数,它定义了量化的精度。量化表中的每个元素对应于一个DCT系数,其值表示该系数的量化步长。通过调整量化表中的元素值,可以实现不同的压缩率。具体来说,增大量化表中的值将导致更高的压缩率,但同时也会降低图像质量;降低量化表中的值将导致更低的压缩率,但可以保持较高的图像质量。

 

      当压缩率较低时,量化过程对图像质量的影响较小,因此压缩后的图像与原始图像相似度较高。但随着压缩率的增加,量化过程对高频系数(表示图像细节信息)的损失会更加严重,导致图像质量下降。在极端情况下,高压缩率可能导致图像失去大部分细节信息,仅保留大致的结构。

 

       为了定量衡量压缩后的图像质量,可以使用诸如峰值信噪比(Peak Signal-to-Noise Ratio,简称PSNR)和结构相似性指数(Structural Similarity Index,简称SSIM)等指标。PSNR是一种基于像素值误差的指标,它衡量了压缩后的图像与原始图像之间的差异程度。SSIM则是一种基于图像结构的指标,它度量了压缩后的图像在结构、亮度和对比度等方面与原始图像的相似性。

 

      在实际应用中,不同压缩率与图像质量的权衡取决于具体的需求。例如,在对存储空间要求较高的场景下,可以接受较高的压缩率以节省存储空间;而在对图像质量要求较高的场景下,应选择较低的压缩率以保证图像质量。

 

3.MATLAB核心程序 `函数[D_Y_mask,D_Cb_mask,D_Cr_mask,c1,RGB]=dct_global(I,D_Y,D_C)

 

%'区间[0,1]中图像的归一化

 

RGB=双(I)/255;

 

%颜色空间转换

 

YCbCr=rgb2ycbcr(RGB);

 

 

 

Y=YCbCr(:,:,1);

 

Cb=YCbCr(:,:,2);

 

Cr=YCbCr(:,:,3);

 

 

 

D_Y=dct2(Y);%DCT变换-Y通道

D_Cb=dct2(Cb);%DCT变换-Cb通道

D_Cr=dct2(Cr);%DCT变换-Cr通道

 

 

 

sc=0.5;%比例因子

D_Y_log=sc*log10(1+abs(D_Y));

[fx,fy]=频率空间(大小(D_Y));

 

 

 

 

sc=0.5;%比例因子

D_Cb_log=sc*log10(1+abs(D_Cb));

[fx,fy]=频率空间(大小(D_Cb));

%图(5),网格(fx,fy,D_Cb_log);

 

 

sc=0.5;%比例因子

D_Cr_log=sc*log10(1+abs(D_Cr));

[fx,fy]=频率空间(大小(D_Cr));

 

 

[r,c]=尺寸(Y);

rc=最小值(r,c);

m_Y=fliplr(triu(一个(r,c),圆(c-d_Y*rc));

 

 

D_Y_掩码=D_Y.*m_Y;

m_C=fliplr(triu(ones(r,C),round(C-d_C*rc));

 

D_Cb_mask=D_Cb.*m_C;%Cb通道上的掩模应用

D_Cr_mask=D_Cr.*m_C;%Cr通道上的掩模应用

a1(:,:,1)=D_Y_掩码;%在矩阵列中放置遮罩

a1(:,:,2)=D_Cb_mask;

a1(:,:,3)=D_Cr_mask;

c1=nnz(a1);`