R语言改进的DCC-MGARCH:动态条件相关系数模型、BP检验分析股市数据

262 阅读6分钟

全文链接:tecdat.cn/?p=32818

原文出处:拓端数据部落公众号

股票市场波动性模型一直是金融领域研究的热点之一。传统的波动性模型往往只考虑了静态条件下的波动性和相关性,难以准确捕捉市场的复杂性和多样性。

因此,本文提出了一种基于R语言改进的DCC-MGARCH模型,帮助客户探究动态条件相关系数模型对股市数据的预测和分析效果。

原始数据

image.png

读取数据

#  
data=read.csv("数据.csv")

image.png

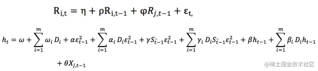
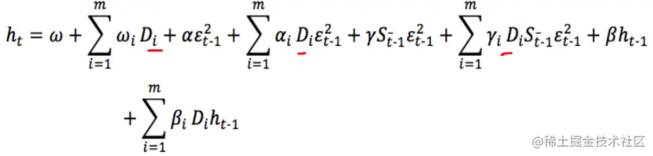
第一个主回归 :用rtn,D1,D2,D3,D4的数据做

均值方程

image.png

条件方差的动态结构指定为GARCH族模型

条件方差是指在给定过去信息的情况下,对未来波动的预测。GARCH模型是一种常用的条件异方差模型,它将条件方差的动态结构指定为GARCH族模型,可以很好地描述时间序列数据的波动性。

GARCH模型的基本思想是设定一个与时间相关的方差模型,用于描述随着时间变化,条件方差的变化趋势。根据GARCH模型的公式,当前时刻t的条件方差是由之前p个时刻的条件方差和q个时刻的残差平方和决定的。

GARCH模型的主要参数包括p、q和阶数,其中p表示模型中过去p个时刻的条件方差,q表示过去q个时刻的残差平方和,阶数表示模型中的噪声项。使用GARCH模型可以捕捉到时间序列数据中的波动性,并且可以很好地应用于金融市场中。

因此,条件方差的动态结构指定为GARCH族模型是一种很有效的方法,可以更好地描述股票市场的波动性,并为进一步分析和预测市场提供了有力的工具。

image.png

中断日期i=1,…,m由BP检验确定,DiS为虚拟变量,定义为每次断裂前的时间为0,断裂后为1。

转换时间序列格式

转换时间序列格式是指将时间数据从一种格式转换为另一种格式的过程。在计算机编程和数据分析中,时间序列经常以不同的格式出现,如字符串、时间戳、日期对象等。为了方便数据处理和分析,我们可能需要将时间序列转换为特定的格式。

rtndata<-data$rtn##rtn data  
  
rtndata=ts(rtndata,start

绘制原始时间序列

绘制原始时间序列是指将一组按照时间顺序排列的数据点以图形的形式展示出来。这样可以更直观地观察数据的变化趋势和规律。

在绘制原始时间序列时,通常将时间作为横轴,将数据值作为纵轴。每个数据点在图上用一个点或者线连接起来,形成连续的曲线或折线。

绘制原始时间序列可以帮助人们发现数据的周期性、趋势、异常值等特征。通过观察图形,可以更好地理解数据的变化规律,从而做出合理的分析和预测。此外,绘制原始时间序列还可以用于与其他时间序列进行比较,找出它们之间的相似性或差异。

plot.ts(rtndata1,

image.png

拟合模型

Dat = data[, c( "rtn"   ,   "d1"    ,    "d2"    ,    "d3"   ,     "d4"       ), drop = FALSE]  
   
xspec = ugarchspec(mean.m

ispec(replicate(5,

image.png

image.png

image.png

模型结果可视化

plot(fit

dcc条件sigma和收益率

DCC条件(sigma)是指动态相关条件(Dynamic Conditional Correlation)模型中的一个参数,用于描述金融时间序列中的波动率的变化。该模型是用来估计多个金融资产之间的相关性,并且能够捕捉到这些相关性随时间的变化。

收益率是指金融资产价格或投资组合在一定时间内的变动幅度,通常用百分比表示。它是衡量投资回报的指标,可以用来评估资产或投资组合的盈利能力。

在金融领域中,DCC条件(sigma)和收益率之间存在一定的关系。DCC条件(sigma)可以用来估计不同资产之间的相关性,从而帮助投资者更好地理解资产之间的联动性。当相关性较高时,资产的收益率往往会同时上涨或下跌,而当相关性较低时,资产的收益率可能会出现较大的差异。

image.png

image.png

EW 投资组合和1%的VAR

EW投资组合是指等权重投资组合,其中每个资产的权重相等。这意味着,如果一个投资组合包含10个资产,那么每个资产的权重将是10%。

1%的VAR(Value at Risk)是一种风险度量指标,用于衡量投资组合或资产在给定时间段内可能面临的最大亏损。具体来说,1%的VAR表示在某个时间段内,投资组合或资产可能面临的亏损不会超过投资组合或资产总价值的1%。

因此,当我们说EW投资组合的1%的VAR时,我们指的是等权重投资组合在给定时间段内可能面临的最大亏损不会超过投资组合总价值的1%。这是一种用于评估投资组合风险的指标,帮助投资者了解他们的投资组合可能面临的风险水平。

image.png

第二个回归,R j,t-1用sp5r做,Xj,t-1是sp5r用 ar(1)-garch(1,1)回归的残差平方项,其他和第一个回归一样,Ri,t-1用rtn的数据

均值方程和方差方程:

image.png

其中Rt1是对应市场中市场指数的收益,X是基于基准模型的对应股票市场的平方残差:

image.png

ame(Dat,(fit3@model$residuals[,1])^2)

replicate(7, xspec))

fit1 = dcc


image.png

image.png

image.png

image.png

plot(fit1

DCC条件均值和收益率

DCC条件均值和收益率是金融领域中的两个重要概念。

DCC(Dynamic Conditional Correlation,动态条件相关性)是一种用于描述金融资产收益率之间相关性变动的模型。它考虑到了金融市场中相关性不是恒定的,而是随着时间变化的。DCC模型通过引入一个条件相关矩阵,将相关性建模为一个随时间变化的函数。这样,DCC模型能够更准确地捕捉到金融市场中相关性的动态变化。

条件均值是指在给定一些条件下,某个变量的平均值。在金融领域中,条件均值通常指的是在给定一些市场因素或其他相关变量的情况下,某个金融资产的预期收益率。条件均值模型是一种用于估计金融资产收益率的模型,它考虑到了市场因素对资产收益率的影响。

收益率是指某个资产在一定时间内的变动幅度。在金融领域中,收益率通常指的是某个金融资产在一段时间内的价格变动幅度。收益率是衡量资产投资回报的重要指标,它可以用来评估资产的风险和收益潜力。

综上所述,DCC条件均值和收益率是金融领域中用于描述金融资产相关性变动和评估资产投资回报的两个重要概念。DCC条件均值模型能够更准确地捕捉到金融市场中相关性的动态变化,而收益率则是衡量资产投资回报的指标。

image.png

image.png

DCC 条件协方差

DCC 条件协方差(DCC Conditional Covariance)是一种用于估计金融时间序列中的条件协方差的方法。条件协方差是指在给定过去的信息下,未来两个变量之间的协方差。

DCC 方法通过引入一个动态相关系数矩阵来估计条件协方差。这个矩阵可以随时间变化,反映了变量之间的相关关系的变化。DCC 方法使用了两个步骤来估计条件协方差。首先,通过一个适当的模型估计每个变量的波动率。然后,使用这些波动率来估计动态相关系数矩阵,进而得到条件协方差。

DCC 方法的一个优点是能够捕捉到金融市场中的时变相关性。金融市场中的相关性通常是非常动态和复杂的,传统的协方差估计方法往往无法准确地反映这种变化。DCC 方法通过引入动态相关系数矩阵,能够更好地捕捉到这种时变相关性。

image.png

DCC 条件相关系数

DCC 条件相关系数(Dynamic Conditional Correlation)是一种用于衡量时间序列数据中相关性变化的统计指标。它是对传统相关系数的扩展,能够考虑相关性在不同时间段的波动性和动态性。

DCC 条件相关系数通过引入一个条件方程来建模相关性的动态变化。该条件方程使用过去的相关系数和误差项来预测当前的相关系数。这样,DCC 条件相关系数能够捕捉到相关性随时间变化的特征,并提供更准确的相关性估计。

使用 DCC 条件相关系数可以帮助投资者和研究人员更好地理解金融市场中不同资产之间的相关性。它可以用于风险管理、资产配置、对冲策略等方面的决策。

image.png

1111.png


最受欢迎的见解

gettyimages-1379895972-1536x1536.webp

1.HAR-RV-J与递归神经网络(RNN)混合模型预测和交易大型股票指数的高频波动率

2.R语言中基于混合数据抽样(MIDAS)回归的HAR-RV模型预测GDP增长

3.波动率的实现:ARCH模型与HAR-RV模型

4.R语言ARMA-EGARCH模型、集成预测算法对SPX实际波动率进行预测

5.GARCH(1,1),MA以及历史模拟法的VaR比较

6.R语言多元COPULA GARCH 模型时间序列预测

7.R语言基于ARMA-GARCH过程的VAR拟合和预测

8.matlab预测ARMA-GARCH 条件均值和方差模型

9.R语言对S&P500股票指数进行ARIMA + GARCH交易策略