此篇博文主要介绍什么是变分推理(Variational Inference , VI),以及它的数学推导公式。变分推理,是机器学习中一种流行的方式,使用优化的技术估计复杂概率密度。变分推理的工作原理:首先选择一系列概率密度函数,然后采用KL散度作为优化度量找到最接近于概率密度的函数。引入evidence lower bound的方法更容易计算近似概率。
KL散度
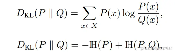
KL散度是两个分布之间的相对熵,量化概率分布P(X)与候选分布Q(X)的相似程度。对于一个离散的随机变量X,概率分布P和分布Q之间的KL散度的计算公式如下定义:

其中H(P)=−Σx∈XP(x)logP(x)是分布P的熵,H(P)=−Σx∈XP(x)logQ(x)是分布P和分布Q的交叉熵。
KL散度具有如下性质:1. 非负性;2. 非对称性;3. 当KL散度的取值位于(0,∞),越接近于0,说明分布P和分布Q越匹配。
此外,概率分布P和分布Q之间的KL散度还可以表示为两个概率密度函数p和q之间对数差的期望。假设随机变量x为概率分布函数P的一个概率值,E为期望,那么KL公式还可如下定义:

前向 vs 反向 KL
KL散度是非对称的,那也就是说DKL(P∥Q)=DKL(Q∥P),因此根据分布P和分布Q的位置,可分为前向KL和后向KL。
前向KL
前向KL的公式定义如下。只要近似值不能够覆盖实际概率分布,KL散度将会变得很大,用公式表示就是limq(x)→0q(x)p(x)→∞,p(x)>0,当p(x)>0,q(x)→0时,q(x)p(x)的极限值将为∞。因此,当p(x)>0时,必须选择一个概率密度确保q(x)>0。这种特殊的情况被称为"zero avoiding",直观理解就是q高估p。

反向KL
反向KL的公式定义如下,其中limp(x)→0p(x)q(x)→∞,q(x)>0,当p(x)=0时,迫使q(x)=0,不然KL散度值将会很大。这种被称为“zero forcing”,直观理解就是q低估p。

可视化
下图展示了双峰分布上的正向和反向KL散度。蓝色轮廓表示实际概率密度p,红色轮廓表示单峰近似q。左一显示正向KL散度最小化,q倾向于覆盖p。中间和右一显示了反向KL散度最小化,q倾向于锁定到两种模式中的其中一个。

问题描述

假设有两个随机变量X和Z,其中X为观测变量,Z为潜在变量。X和Z的关系如上图所示,观测变量X依赖于潜在变量Z,从Z到X的箭头表示条件概率密度p(X∣Z)。依据贝叶斯公式,可计算后验概率密度p(Z∣X)。
p(Z∣X)=p(X)p(X∣Z)p(Z)
其中,分母p(X)的计算公式为p(X)=∫z∈Zp(Z∣z)p(z)dz,z为样本空间Z中的一个实例。p(Z)为先验,它捕获了Z的先验信息。
观察的边缘概率密度(marginal probability density)p(X)被成为evidence,对于很多模型,evidence的积分依赖于所选模型,要么在闭合形式下不可用,要么需要指数时间计算。
变分推理的目的是为潜在变量的统计推断提供后验概率密度p(Z∣X)的近似解析,它从可处理的概率密度族中选择潜在变量Z的概率密度函数q解决近似问题。变分推理能够有效地计算边缘概率密度(或者evidence)的下界,其基本思想是:一个更高的边缘相似性指示所选统计模型更好地拟合观察到的数据。
变分推理
变分推理VI的目的是从可处理的概率密度族Q中选择一个近似的概率密度q。潜在变量Z的每一个在Q中的概率密度q(Z)∈Q都是后验的一个近似候选,VI的目的就是从这些候选中选择最优的那一个。依据KL散度的性质,两个分布的KL值越小,两个分布越匹配。假设近似概率密度于观测变量于观测变量条件不相关,那么推理问题就可以看作一个优化问题,公式如下所示。

优化上述公式,就可从所选的概率家族中得到后验的最佳近似值q∗(⋅),优化的复杂性取决于概率密度族的选择。计算上述公式中的KL散度,需要知道后验P,但是后验的计算是棘手的。
一个替代的方案是用反向KL散度,这样后验和近似的平均交叉熵可以通过期望计算。因此上述公式可以重新被定义为如下公式。

然而,由于仍然需要知道后验P,优化反向KL仍然是不可行的。但是可以最小化一个等于它的函数直到一个常数,这就是evidence lower bound,ELBO。
ELBO: Evidence Lower Bound
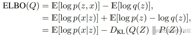
设上述公式中的KL散度为D,依据下述推导可得到ELBO的公式。
D=DKL(Q(Z)∥P(Z∣X))=Ez∈Q(Z)logp(z∣x)q(z)=E[logq(z)]−E[logp(z∣x)]=E[logq(z)]−E[logp(z,x)]+E[logp(x)]=E[logq(z)]−E[logq(z,x)]+logp(x)⇓−D+logp(x)=E[logq(z,x)]−E[logq(z)]=ELBQ(Q)
ELBO等于KL散度的负值于常量log(x)的和。从上述公式可以看出,最大化ELBO等价于最小化KL散度。依据贝叶斯概率p(z,x)=p(z)⋅p(z∣x)=p(x)⋅p(x∣z),ELBO公式又可做如下推导。

从上述公式可以看出,ELBO是数据的对数似然期望与先验和近似后验概率密度的KL散度之和。对数似然期望描述了所选统计模型与数据的拟合程度。KL散度促使变分概率密度接近于先验,因此,ELBO可看作对数据的正则拟合。
使用Jensen不等式(f(E[x])≥E[f(X)])可推到出ELBO和p(x)的关系,ELBO值是要低于logp(x)。问题描述中,我们也提到evidence的积分依赖于所选模型,要么在闭合形式下不可用,要么需要指数时间计算。ELBO和logp(x)的这种关系,促使研究人员使用变分下界作为模型选择的标准。

参考
- An Introduction to Variational Inference
- Variational Inference