基于LSTM深度学习网络的疾病发作检测算法matlab仿真

222 阅读3分钟

1.算法仿真效果

matlab2022a仿真结果如下:

18b1b325babf2abe12bae9ba9a8e6e84_watermark,size_14,text_QDUxQ1RP5Y2a5a6i,color_FFFFFF,t_100,g_se,x_10,y_10,shadow_20,type_ZmFuZ3poZW5naGVpdGk=.png

2.算法涉及理论知识概要

      长短期记忆网络(LSTM,Long Short-Term Memory)是一种时间循环神经网络,是为了解决一般的RNN(循环神经网络)存在的长期依赖问题而专门设计出来的,所有的RNN都具有一种重复神经网络模块的链式形式。在标准RNN中,这个重复的结构模块只有一个非常简单的结构,例如一个tanh层。

 

        长短期记忆网络(Long-Short Term Memory,LSTM)论文首次发表于1997年。由于独特的设计结构,LSTM适合于处理和预测时间序列中间隔和延迟非常长的重要事件。LSTM的表现通常比时间递归神经网络及隐马尔科夫模型(HMM)更好,比如用在不分段连续手写识别上。2009年,用LSTM构建的人工神经网络模型赢得过ICDAR手写识别比赛冠军。LSTM还普遍用于自主语音识别,2013年运用TIMIT自然演讲数据库达成17.7%错误率的纪录。作为非线性模型,LSTM可作为复杂的非线性单元用于构造更大型深度神经网络。

 

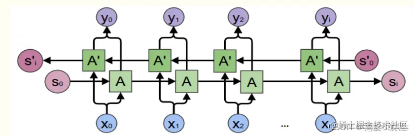
       LSTM是一种含有LSTM区块(blocks)或其他的一种类神经网络,文献或其他资料中LSTM区块可能被描述成智能网络单元,因为它可以记忆不定时间长度的数值,区块中有一个gate能够决定input是否重要到能被记住及能不能被输出output。图1底下是四个S函数单元,最左边函数依情况可能成为区块的input,右边三个会经过gate决定input是否能传入区块,左边第二个为input gate,如果这里产出近似于零,将把这里的值挡住,不会进到下一层。左边第三个是forget gate,当这产生值近似于零,将把区块里记住的值忘掉。第四个也就是最右边的input为output gate,他可以决定在区块记忆中的input是否能输出 。LSTM有很多个版本,其中一个重要的版本是GRU(Gated Recurrent Unit),根据谷歌的测试表明,LSTM中最重要的是Forget gate,其次是Input gate,最次是Output gate。

cc05b77fdea46b6038694a21ed9c1525_watermark,size_14,text_QDUxQ1RP5Y2a5a6i,color_FFFFFF,t_100,g_se,x_10,y_10,shadow_20,type_ZmFuZ3poZW5naGVpdGk=.png  

       传统RNN网络由于结构存在固有缺陷,在参数更新时会存在梯度消失以及梯度爆炸的问题,导致长距离的历史信息丢失,进一步造成网络极难收敛,无法训练出理想的模型。LSTM作为一种改进的循环神经网络,在原有网络结构的基础上加入了细胞状态(cell state)的结构来控制全局信息的传输,并通过遗忘门,输入门,输出门三种门控单元控制细胞状态信息值的更新。LSTM在极大程度上缓解了传统RNN模型存在的长期依赖问题,减少了长距离历史信息的丢失,输出的预测结果更准确 。

 

        LSTM通过以下公式进行更新权值矩阵和偏置参数等网络信息:

image.png  

3.MATLAB核心程序 `%Classify

YPred           = classify(net,channel)';

YPred_numerical = double(YPred);

YPred_numerical(YPred_numerical==1)= 1;

YPred_numerical(YPred_numerical==2)=-1;

acc             = sum(YPred == output)./numel(output)

 

%Time

timepoint = 300/length(output);

time      = [timepoint:timepoint:timepoint*length(output)];

 

 

figure

subplot(221)

plot(time, channel, 'b')

hold on

plot(time(channel_out==1),channel(channel_out==1), '.g')

legend('信号', '癫痫发生')

xlim([100,300])

subplot(223)

plot(time, channel, 'b')

hold on

plot(time(YPred=='1'),channel(YPred=='1'),'r>',...

    'LineWidth',1,...

    'MarkerSize',6,...

    'MarkerEdgeColor','k',...

    'MarkerFaceColor',[0.9,0.9,0.0]);

legend('信号', '癫痫信号LSTM检测')

xlim([100,300])

 

subplot(2,2,[2,4])

confusionchart(channel_out,YPred_numerical)`