重振美国奥数队的华裔教授:执教6年4次夺冠!罗博深:我是个数学推销员

539 阅读8分钟

【新智元导读】 有人说,自从罗博深执教以来,美国国际数学奥林匹克队「复活」了!的确,在过去六年中,国家队共取得了四次世界冠军。这位功成名就的华裔数学队教头,又有着哪些不同寻常的数学气质呢?

自从1994年获得国际奥林匹克数学竞赛金牌后,此后很长时间里,美国队都有点「一蹶不振」。

这种低迷的状态一直延续了近20年,直到被一个80后华裔教授所打破。

他是罗博深,2014年,他正式接棒成为美国奥数队总教练。

2015年7月率美国队在泰国清迈举行第56届国际奥林匹克数学竞赛上夺得团体冠军,一举成名。紧接2016年美国队再其带领下的再次夺冠,在美国社会造成了对于数学教育的极大关注。

执教于CMU的罗博深,不仅是一名教师,还是一名数学的布道者。

他打破题海战术,用「思维」让人爱上数学。

生于数学之家,青出于蓝而胜于蓝

罗博深出生于一个数学气氛浓郁的学术之家。

虽然出生在美国,但他的父母都是新加坡人,更远一点讲,父母的祖籍分别是广州和汕头。

罗博深的父亲名为罗伟贤,是威斯康星大学麦迪逊分校统计学专业教授,这也是一位数学大咖,不仅曾是新加坡曾经的高考状元,还荣获Rowland奖、Benjamin Smith Reynolds奖等奖项。母亲名为李月娥,曾是新加坡一所高中里的数学老师。

罗爸爸

70年代,他们举家搬至美国,1982年,罗博深出生。

这样的家庭让罗博深从小就与「数学」二字结缘,而据罗博深本人的回忆,真正让罗博深感受到数学乐趣的还是在小学高年级时父亲的参与。

当罗博深大约五年级时,罗父发现了一本有趣的数学难题书。

里面有一些非比课本的数学题目,比如,你有六根牙签,你能把这六根牙签排成一排,这样就有四个三角形了吗?解决方案是,做一个四面体吧!

这些问题并不是「尽可能快地做100道算术题」,它们是让你跳出条条框框的问题。

在父亲的循循善诱下,罗博深很早就明白,解决数学难题需要持之以恒,而且往往需要非正统的思维。

也正是在这样的背景下,罗博深开始了「青出于蓝而胜于蓝」的数学之路。

1998年,读高中的罗博深与来自美国各地的29名选手一起入选美国奥赛训练营;1999年参加国际奥林匹克数学竞赛,并获得银奖。

在罗马尼亚布加勒斯特的1999年IMO上获得银牌

2000年,18岁的罗博深进入美国加州理工大学攻读数学系,并以 4.3 的平均成绩获得荣誉学士学位,并开始担任美国国家奥数队副教练;

本科毕业后获得丘吉尔奖学金留学英国剑桥大学,2005年获得高等数学研究证书。

2009年底于美国普林斯顿大学获得数学博士学位,2010年开始在美国卡内基梅隆大学(CMU)数学系任教,并于2015年从助理教授晋升为副教授。

接棒美国奥数队总教练,4次夺冠

2014年,罗博深正式接棒成为美国奥数队总教练。

事情的转折点发生在2015年7月,那一年,罗博深率美国队在泰国清迈举行第56届国际奥林匹克数学竞赛上夺得团体冠军。

2015年第56届国际奥林匹克数学竞赛冠军得主美国队选手

这次是美国自1994年夺得冠军后,时隔21年再度夺冠。在此期间,第一名获得者基本上是中国。

这次奥数竞赛持续两天。参赛者每天有四个半小时的时间来解决三个问题,范围包括几何、数论和代数。学生不需要掌握类似微积分等高等数学,但这些问题被设计的异常难,且比赛不允许使用计算器。

国际数学奥林匹克竞赛英国队领队、来自巴斯大学的杰夫·史密斯博士评论说,这是自1959年开始举办奥数竞赛以来最难的一张试卷。

紧接2016年美国队再其带领下的再次夺冠,在美国社会造成了对于数学教育的极大关注。

2018和2019年,罗博深再次带队夺得世界冠军。

如今,罗博深的头衔已不局限于「数学天才」,「金牌教练」成为了代表他成就的另一名号。

数学推销员:思维自由是法宝

罗博深曾说:「集训期间,当然我也会教他们一些知识,但我主要负责让他们享受学习奥数的乐趣,确保在集训结束之后没有一个人想回家。」

作为大学教授,罗博深每年都会走访很多地方参加研讨会。担任奥赛队总教练后,每到一个地方,他都会联系当地高中,主动提出要给那里的学生带去一场「数学公开课」。

也说,自己就像「旅行的数学推销员」一样。

而且即使是在多媒体发达的现在,罗博深也仍喜欢写板书。

寻找另类的数学方法,一直是罗博深教授的独特「爱好」。

2019年,一篇名为《A Simple Proof of the Quadratic Formula》的论文出现在了arXiv 上,并获得了数学界的关注。

文章的核心,是提出了一种二次方程的「极简」推导方式。

对初中生来说,一元二次方程求根公式非常恼人,因为它十分复杂很不容易被记住;

这篇论文就是提出了一个简单易记的算法。

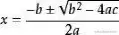
论文阐述道,假设二次方程式有两个根 R 和 S,我们将其表示为:

当 x=R 或 x=S 时,右侧等于零。将右边拆开得,

当-B=R+S 且 C=RS 时,等式成立。

论文指出,当R 和 S 的和是-B,二次方程两个根的平均值就是-B/2。所以,求根,就是在找-B/2±z,其中的 z 是单个未知量。(若 z 是零,则 R=S=-B/2)。

因为 C=RS,所以,

整理,二次方程的解为:

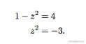
举例来说,假设你有一个一元二次方程:

如果我们找到两个数的和是2,积是4,那么它们都是解。当两个数的平均数为1时,它们的和为2。因此,只要找到一个z,使形式为1±z的两个数有积4(它们的平均数自动为1)即可。

最后的条件相当于这些等价方程中的每一个:

可以通过选择i√3为z来满足最后一个方程,通过逻辑追溯,得出结论:1±i√3都是原二次方程的解。

而且,无理数和虚数对这种方法都不构成障碍。

罗老师表示,这个的目的是为了让二次函数的初学者,更容易接受相关内容。

2014年,罗博深还推出了一个名为Expii的应用程序,该应用程序使用交互式拼图教授基本的数学概念。他还制作了一个YouTube视频,通过解释其编排背后的基本数学知识。

无偿开发防新冠App,用数学思维体会生活

罗博深很强调人对社会的价值。

疫情期间,罗博深教授还自己出钱,开发了一款防止新冠传播的App。

这款名为NOVID的App在不侵犯隐私的前提下,通过蓝牙的超声波来测定两个手机之间的距离,记录下用户的社交路线和会面人,以匿名提醒的方式告知感染风险。

前两年,在一篇关于两次夺得IMO冠军的数学天才付云皓,因大学期间沉迷游戏,导致北大肄业的报道中,罗博深本人还到知乎发表看法,并给予付云皓鼓励。

「我想再次表达对付云皓发声的敬意和欣喜,希望有更多人在温饱之余,能够利用自己的才能,以自己认为合适的方式,为社会、为国家、为世界做出一些积极的,哪怕是非常微小的贡献!」他在知乎上写道。

「作为数学教育者,我一直把提高全世界的数学兴趣和能力、构建一个思考型世界视为己任。我的生活经历跨越了美国、亚洲、欧洲,工作则涉足学术圈、金融圈和现在的创业圈,这让我的价值观慢慢成型,也逐渐有了自己的处世方式。」

数学是帮助人们思考的核心。罗博深教授正用已经成为他生活一部分的数学,体会着生活之美。

参考链接:

arxiv.org/pdf/1910.06…