《流浪地球》里的引力弹弓人类真的实现过!张朝阳在线手推旅行者号木星之旅

234 阅读8分钟

鱼羊 发自 凹非寺
量子位 | 公众号 QbitAI

《三体》、《流浪地球2》等科幻大作轮番轰炸,想来不少盆友的物理DNA最近都活跃了起来。

MIT物理博士张朝阳,就再次上演手推公式大法,在线下物理课上硬核科普起了电影里的真实物理知识

这满满一面黑板墙的公式板书,就是他连续推导了一个小时的成果,还只是为引出能让地球飞出太阳系的“引力弹弓”所做的铺垫。

讲到兴奋处,这位搜狐CEO更是当场大物老师附体,表示:

咱讲它个3个小时!

有意思的是,尽管这次讲的“行星的轨道方程及引力弹弓”知识点很硬核,涉及到大学本科乃至研究生知识,张朝阳还是想到了一种更易理解的讲解方式:

没有直接求解矢量微分方程,而是用中学物理中提到的角动量守恒定律和能量守恒定律,简化了整个求解过程。

可以说是新手友好了。

真实世界里的引力弹弓

具体来看看张老师这回又讲了些什么。

看过《流浪地球》系列小说和电影的小伙伴们都知道,要想让地球飞出太阳系“流浪”,利用木星给地球做引力弹弓加速,是计划中不可或缺的一环。

而张朝阳这堂《流浪地球2》物理计算课,核心就是用2个小时的公式推导,讲明白了啥是引力弹弓,它又是如何把飞向木星的天体“弹射”出去的

虽说地球飞向木星只是一个科幻情节,但引力弹弓加速这事儿,其实早在1977年人类就已经实现过——

美国在1977年发射的旅行者1号,就在经过木星和土星引力加速之后,成功达到第三宇宙速度,成为第一个飞离太阳系的人造飞行器。

△图源:NASA

张朝阳的计算,就围绕这一真实案例展开。

引力弹弓之所以被称之为“弹弓”,是因为旅行者号这样的飞行器“路过”木星时,在木星参考系中会沿一条双曲线轨道改变航向。

看下面这张图,是不是有弹弓内味儿了?

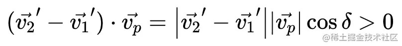
问题在于,能量守恒定律会给人一种错觉,旅行者号飞向木星的入射速度,跟飞离木星的出射速度,大小应该是相等的。

那么,引力弹弓究竟是怎么给飞行器加上速的?

关键点是木星本身的速度。

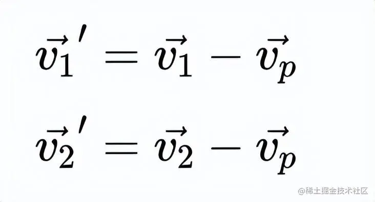
先以太阳为参考系,将旅行者号的入射速度设为v1,出射速度设为v2,将木星自身速度设为vp

再将视角转向木星参考系。因为质量差距非常大,接触时间又很短,旅行者号相对于木星的速度,可以近似为:

而根据能量守恒定律,|v1’|=|v2’|。基于以上条件,我们可以得到一个这样的式子:

从下面这张示意图中可以清楚地看出,**v1’v2’**是一对大小相等,方向分别平行于两条双曲线轨道渐近线的矢量。

也就是说,(v1’-v2’)的方向正是双曲线对称轴上,从顶点指向焦点的方向。

这样一来,如果这个方向与行星速度矢量vp所形成的夹角δ为锐角,我们就可以推导出:

代回到上一个等式中,就可以清楚地看到(v2)^2>(v1)^2。旅行者号就这样完成了加速过程。

在这个过程中,最终给旅行者号提供加速的是木星的机械能。不过因为飞行器和行星两者之间质量差距非常大,行星被提取出的能量可以忽略不计。

而提速效率,则取决于出射、入射速度矢量之差,与木星速度矢量之积(锐角)。

这时候可能你也发现了,那如果δ为钝角,木星岂不是反过来会使旅行者号减速?

Bingo!张朝阳就解释了,旅行者号可不是乱发射的——

这一太空探测任务正好碰上了176年一遇的行星几何排列,因此旅行者号只需要用少量燃料进行航道修正,就可以借助木星、土星等行星实现引力加速。

值得一提的是,不管是δ还是v1、v2,结合实际数据,你都可以在张朝阳这堂课所分享的内容基础上准确计算出其数值。

旅行者1号的入射速度v1大小约为13.2km/s,出射速度v2的大小则约等于23.6km/s。感兴趣的话可以亲手算起来了~

(计算结果可能略大于实际值,上述计算忽略了克服太阳引力的损失等因素。)

“物理的魅力挡不住”

其实,这早已经不是张朝阳的第一堂物理课。

作为清华大学校友、MIT物理学博士,从2021年11月开始,这位搜狐CEO每逢周五周日,就化身物理科普博主,在自己的老本行上大展专业所长。

单是线下课程,就已经上了14期,线上直播更是已经上百期。内容涉及力学、热学、电磁学、流体力学乃至狭义相对论、量子力学等。

尽管张朝阳自己总说“物理的尽头就是数学”,科普起来几乎都是狂推公式的硬核画风,但仍有吸引了不少非专业观众前往追更:

这些科普内容通常和日常生活中的一些普遍现象、热点话题相关,足够“烧脑”,却也让很多观众觉得,让有意思的知识点更有“画面感”了。

比如在《流浪地球2》上映之初,张朝阳就在直播中剧透了“月球坠落危机”中洛希极限的知识点。并结合实际计算,科普了为什么在计算地月间的洛希极限时,要将月球视作流体而非刚体。

他还和网友们一起“八卦”过“七星连珠”的罕见星象,从物理学的角度解释说,连成一条直线的七颗行星距离地球太遥远,对地球产生的潮汐力远远弱于太阳和月亮产生的影响,并不会引发灾害。

甚至在张朝阳的物理课上,网友们还捕获到了新的科幻点子(手动狗头)。

就在这堂线下课上,张朝阳就给《流浪地球3》提了一个新思路:针对太阳系的拉格朗日点做文章。

张朝阳解释说,太阳系最大的拉格朗日点,是木星跟太阳形成的拉格朗日点。这一拉格朗日点可以说是“宇宙停车场”,会让从外边飞来的天体停留在其中,从而保护了太阳系里的行星。

总之,这种“生活中的物理+硬核计算”的组合,经常让网友感慨:

物理的魅力实在挡不住。

科普开卷,观众受益

论起去年最火热的科普IP,《张朝阳的物理课》占据一个席位,但却绝非唯一。

实际上,搜狐CEO“科普博主”新身份受到关注的背后,一种新的科普内容流行趋势正在蔓延:

越来越多的专业人士正在加入科普赛道,把更为硬核的知识内容,以低门槛的方式输出给大众。

比如今年拿到B站百大up主的芳斯塔芙&鬼谷藏龙,夫妻二人一个是中科院脑科学与智能技术卓越创新中心博士,一个是曾在学术期刊做科学传播工作。凭借过硬的专业功底,他们的既硬核又有趣的生物视频屡获百万播放。

连86岁的中科院院士也参与其中。中科院院士、同济大学海洋与地球科学学院教授汪品先的科普内容,同样受到了网友们的热烈追捧。

具体到张朝阳这个例子上,加入到科普“卷王”的行列中,或许还可以说是一种三赢。

对于观众而言,高质量的科普内容,使得硬核知识从高等学府的课堂中走出,成为了触手可及的知识养分。

如此科普盛宴带来的价值,在如今科幻大作的流行之中,也得到了一种侧面的印证:属于严谨科学的诗意,属于星辰大海的浪漫,正在从象牙塔走向大众。

而对于搜狐而言,张朝阳物理课和搜狐视频打造“知识直播平台”带来的热度,无疑是给这家老牌互联网公司点燃了一把新火。

“抛砖引玉”之下,搜狐视频如今吸引到了不少科学领域头部博主入驻、开讲。

比如“历史其实很有趣”科学公开课中,就有南京大学西方文学硕士、《中国国宝大会》四强选手、国学博主鲁韦彤分享“跟老祖宗学‘浪漫告白’”;北京大学学士、中国传媒大学博士大锤说史介绍“没暖气没秋裤,古人怎样过冬?”……

至于对张朝阳自己嘛……

参考链接:
[1]tv.sohu.com/v/dXMvMTgyO…
[2]www.sohu.com/a/635215518…

—完—

@量子位 · 追踪AI技术和产品新动态

深有感触的朋友,欢迎赞同、关注、分享三连վ'ᴗ' ի ❤