MirrorGAN 问世!浙大等提出文本 - 图像新框架,刷新 COCO 纪录

140 阅读8分钟

【新智元导读】 浙大、悉尼大学等高校研究员提出 MirrorGAN,作为全局 - 局部注意和语义保持的文本 - 图像 - 文本框架,解决文本描述和视觉内容之间的语义一致性问题,并在 COCO 数据集上刷新了记录。

GAN 又开辟了新疆界。

去年英伟达的 StyleGAN 在生成高质量和视觉逼真的图像,骗过了无数双眼睛,随后一大批假脸、假猫、假房源随之兴起,可见 GAN 的威力。

StyleGAN 生成假脸

虽然 GAN 在图像方面已经取得了重大进展,但是保证文本描述和视觉内容之间的语义一致性上仍然是非常具有挑战性的。

最近,来自浙江大学、悉尼大学等高校的研究人员,提出一种新颖的全局 - 局部注意和语义保持的文本 - 图像 - 文本 (text-to-image-to-text) 框架来解决这个问题,这种框架称为MirrorGAN

MirrorGAN 有多强?

在目前较为主流的数据集 COCO 数据集CUB 鸟类数据集上,MirrorGAN 都取得了最好成绩。

目前,论文已被 CVPR2019 接收。

MirrorGAN:解决文本和视觉之间语义一致性

文本生成图像(T2I)在许多应用领域具有巨大的潜力,已经成为自然语言处理和计算机视觉领域的一个活跃的研究领域。

与基本图像生成问题相反,T2I 生成以文本描述为条件,而不是仅从噪声开始。利用 GAN 的强大功能,业界已经提出了不同的 T2I 方法来生成视觉上逼真的和文本相关的图像。这些方法都利用鉴别器来区分生成的图像和相应的文本对以及 ground-truth 图像和相应的文本对。

然而,由于文本和图像之间的区域差异,当仅依赖于这样的鉴别器时,对每对内的基础语义一致性进行建模是困难且低效的。

近年来,针对这一问题,人们利用注意机制来引导生成器在生成不同的图像区域时关注不同的单词。然而,由于文本和图像模式的多样性,仅使用单词级的注意并不能确保全局语义的一致性。如图 1 (b) 所示:

图 1 (a) 镜像结构的说明,体现了通过重新描述学习文本到图像生成的思想;(b)-(c) 前人的研究成果与本文提出的 MirrorGAN 分别生成的语义不一致和一致的图像 / 重新描述。

T2I 生成可以看作是图像标题 (或图像到文本生成,I2T) 的逆问题,它生成给定图像的文本描述。考虑到处理每个任务都需要对这两个领域的底层语义进行建模和对齐,因此在统一的框架中对这两个任务进行建模以利用底层的双重规则是自然和合理的。

如图 1 (a) 和 (c) 所示,如果 T2I 生成的图像在语义上与给定的文本描述一致,则 I2T 对其重新描述应该与给定的文本描述具有完全相同的语义。换句话说,生成的图像应该像一面镜子,准确地反映底层文本语义。

基于这一观察结果,论文提出了一个新的文本 - 图像 - 文本的框架 ——MirrorGAN 来改进 T2I 生成,它利用了通过重新描述学习 T2I 生成的思想。

解剖 MirrorGAN 三大核心模块

对于 T2I 这一任务来说,主要的目标有两个:

  • 视觉真实性;
  • 语义

且二者需要保持一致性。

MirrorGAN 利用了 “文本到图像的重新描述学习生成” 的思想,主要由三个模块组成:

  • 语义文本嵌入模块 (STEM);
  • 级联图像生成的全局 - 局部协同关注模块 (GLAM);
  • 语义文本再生与对齐模块 (STREAM)。

STEM 生成单词级和句子级的嵌入;GLAM 有一个级联的架构,用于从粗尺度到细尺度生成目标图像,利用局部词注意和全局句子注意,逐步增强生成图像的多样性和语义一致性;STREAM 试图从生成的图像中重新生成文本描述,该图像在语义上与给定的文本描述保持一致。

图 2 MirrorGAN 原理图

如图 2 所示,MirrorGAN 通过集成 T2I 和 I2T 来体现镜像结构。

它利用了通过重新描述来学习 T2I 生成的想法。 生成图像后,MirrorGAN 会重新生成其描述,该描述将其基础语义与给定的文本描述对齐。

以下是 MirrorGAN 三个模块组成:STEM,GLAM 和 STREAM。

STEM:语义文本嵌入模块

首先,引入语义文本嵌入模块,将给定的文本描述嵌入到局部词级特征和全局句级特征中。

如图 2 最左边所示 (即上图),使用一个递归神经网络 (RNN) 从给定的文本描述中提取语义嵌入T,包括一个嵌入 w 的单词和一个嵌入 s 的句子。

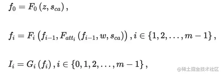
GLAM:级联图像生成的全局 - 局部协同关注模块

接下来,通过连续叠加三个图像生成网络,构造了一个多级级联发生器。

本文采用了《Attngan: Fine-grained text to image generation with attentional generative adversarial networks》中描述的基本结构,因为它在生成逼真的图像方面有很好的性能。

使用 {F0,F1,…,Fm-1} 来表示 m 个视觉特征变换器,并使用 {G0,G1,…,Gm-1} 来表示 m 个图像生成器。 每个阶段中的视觉特征 Fi 和生成的图像 Ii 可以表示为:

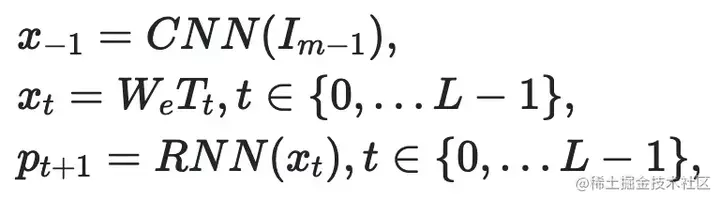
STREAM:语义文本再生与对齐模块

如上所述,MirrorGAN 包括语义文本再生和对齐模块(STREAM),以从生成的图像重新生成文本描述,其在语义上与给定的文本描述对齐。

具体来说,采用了广泛使用的基于编码器解码器的图像标题框架作为基本的 STREAM 架构。

图像编码器是在 ImageNet 上预先训练的卷积神经网络 (CNN),解码器是 RNN。由末级生成器生成的图像 Im-1 输入 CNN 编码器和 RNN 解码器如下:

实验结果:COCO 数据集上成绩最佳

那么,MirrorGAN 的性能有多强呢?

首先来看一下 MirrorGAN 与其它最先进的 T2I 方法的比较,包括 GAN-INT-CLS、GAWWN、StackGAN、StackGAN ++ 、PPGN 和 AttnGAN。

所采用的数据集是目前较为主流的数据集,分别是 COCO 数据集和 CUB 鸟类数据集:

  • CUB 鸟类数据集包含 8,855 个训练图像和 2,933 个属于 200 个类别的测试图像,每个鸟类图像有 10 个文本描述;
  • OCO 数据集包含 82,783 个训练图像和 40,504 个验证图像,每个图像有 5 个文本描述。

结果如表 1 所示:

表 1 在 CUB 和 COCO 数据集上,MirrorGAN 和其它先进方法的结果比较

表 2 展示了 AttnGAN 和 MirrorGAN 在 CUB 和 COCO 数据集上的 R 精度得分。

表 2 在 CUB 和 COCO 数据集上,MirrorGAN 和 AttnGAN 的 R 精度得分。

在所有实验比较中,MirrorGAN 都表现出了更大的优势,这表明了本文提出的文本到图像到文本的框架和全局到本地的协作关注模块的优越性,因为 MirrorGAN 生成的高质量图像具有与输入文本描述一致的语义。

作者介绍

最后再介绍一下论文的四位作者。

Tingting Qiao(乔婷婷) ,浙江大学计算机学院博士研究生,目前在悉尼大学陶大程教授研究小组工作。

乔婷婷(图据 LinkedIn)

Jing Zhang, 博士,杭州电子科技大学讲师,悉尼大学访问学者。

Jing Zhang

许端清, 浙江大学计算机与技术学院教授、博士生导师。

许端清

陶大程, 悉尼大学工程及信息技术学院教授,优必选悉尼大学 AI 中心主任。

陶大程

目前,乔婷婷和 Jing Zhang 都在参与陶大程教授的工作。

值得注意的是,许端清教授曾承担国家社科基金重大项目(子课题)“敦煌遗书数据库关键技术研究及软件系统开发”, 建立敦煌藏文基本信息库系统,乔婷婷也是当时的参与者之一。

两年之后的 2017 年,“石窟寺文物数字化保护国家文物局重点科研基地” 在浙大揭牌,聚焦 “石窟寺文物数字化保护 “。这篇 MirrorGAN 的论文,在文本和图像的转换中加入了对语义的研究,使得这项任务的精度再次提高。

AI 技术在文物数字化相关工作中,让古老的文字再添新生的活力,我们离历史更近,离文化更近。

论文地址:

MirrorGAN: Learning Text-to-image Generation by Redescription


新智元 · AI_era

每日推送 AI 领域前沿学术解读、AI 产业最新资讯

戳右上角【+ 关注】↗↗

喜欢请分享、点赞吧