厦大团队 | 用基于人工智能的量子动力学,探索光合作用如何捕获能量

178 阅读7分钟

编辑 | 萝卜皮

探索光捕获复合物(LHC)中的激发能量转移(EET)对于理解自然过程和高效光伏器件的设计至关重要。LHC 是开放系统,其中量子效应可能对几乎完美地利用太阳能发挥关键作用。包含量子效应的能量转移模拟可以在耗散量子动力学(QD)的框架内完成,这在计算上是昂贵的。

因此,人工智能(AI)将自身作为降低计算成本的工具。

厦门大学的研究人员建议使用 AI 直接预测 QD 作为时间和其他参数(如温度、重组能量等)的函数的 AI-QD 方法,与传统的 QD 和递归的基于 AI 的 QD 方法替代方案相比,完全避免了递归逐步动态传播的需要。

他们的轨迹学习 AI-QD 方法能够在无限时间预测 QD 的正确渐近行为。研究人员在 seven-sites Fenna-Matthews-Olson(FMO)复合体上展示了 AI-QD。

该研究以「Predicting the future of excitation energy transfer in light-harvesting complex with artificial intelligence-based quantum dynamics」为题,于 2022 年 4 月 11 日发布在《Nature Communications》。

从生命诞生开始,太阳能就一直是生命的动力。通过光合作用的机制,生物体利用其天线系统中高度复杂的色素捕捉阳光,并将阳光能量以电子-空穴对(激子)的形式传递到反应中心(RC),并在其中存储为生化能量。

太阳能从天线到 RC 的传输,也称为激发能量传输(EET),以激子的形式被认为是高效的,接近单位效率。了解自然收获系统的这种高效率非常重要,因为这种了解可以潜在地应用于设计非常高效的有机太阳能电池和存储设备。

实验表明,高效的自然光捕获复合物(LHC)中的持久相干性被周围的蛋白质环境(支架)保存下来,这种相干性可能是这种高效率的原因。

研究最多的 LHC 是 Fenna-Matthews-Olsen(FMO)复合物,它存在于绿色硫细菌中。FMO 综合体的小尺寸和简单性也使其成为模拟方法的试验台。FMO 复合物是相同亚基的三聚体,其中每个亚基由附着在其蛋白质环境中的细菌叶绿素(BChl)分子(系统)组成。

光收集过程已经进行了大量的研究工作。以 FMO 为例,很容易看出系统(BChl 分子)与环境(蛋白质)不是孤立的;因此,正确模拟 FMO 应该将其视为一个开放系统,而不是孤立的系统。

此外,许多实验表明,量子效应,特别是相干性,可能在光捕获过程中发挥重要作用,甚至可能是实现高端效率的原因。包含量子效应的 EET 的时间和空间模拟可以在许多框架内完成,例如此处采用的基于映射的经典方法微扰方法和耗散量子动力学(QD)。

QD 模拟可以使用层次运动方程(HEOM)及其许多改进和扩展——准平衡传播子路径积分(QuAPI)及其变量迭代 QuAPI(iQuAPI),基于轨迹的随机运动方程(SEOM)接近多层多构型时变 Hartree(ML-MCTDH)和局部热化 Lindblad 主方程(LTLME)。

各种量子耗散动力学方法的发展源于这些方法中的每一种都有一些局限性,因此没有一种适用于所有情况的通用方法。例如,HEOM 在数值上是精确的,但在低温下计算成本非常高;SEOM 对温度没有明确的依赖性,但在长时间传播时收敛性很差;在QuAPI方法中,所有相关效应都包含在有限时间内,超过该时间的相关效应被忽略。

最重要的是,所有这些传统的量子点方法都需要逐步传播轨迹,下一步取决于前面的步骤。因此,量子点模拟是一个迭代、递归的过程。

每个时间步的计算和 QD 的递归性质都使得它在计算上相当昂贵。减轻量子点的计算成本成为一系列应用人工智能(AI)研究的目标,这受到人工智能在计算化学和化学物理中采用机器学习(ML)算法的应用进展的启发。人工智能还被应用于研究二聚体系统和 FMO 复合物中的激发能量传输。

在之前的研究中,人工智能节省的计算成本令人印象深刻,然而,其中一项研究只关注预测能量传递时间和传递效率,而不是时间和空间演化,而其他相关研究则采用了基本相同的 QD 轨迹传播的递归性质。

先前基于 AI 的 QD 的递归性质使其容易出现错误累积。在递归模拟中,之前预测的值被用作预测下一个值的输入。因此,每个时间步的预测误差都会累积,从而导致精度下降。此外,预测的递归性质不允许我们在不预测之前的值的情况下对任意时间进行预测。

另外,需要一个短时间轨迹作为种子,使用 HEOM 等传统方法生成种子,然后作为输入提供给 AI 模型,以预测下一个时间步长并最终传播长期动态。因此,即使有了 AI 模型,研究人员仍然需要花费宝贵的计算时间来使用传统方法生成短时轨迹。

图示:使用 AI-QD 训练框架中的参数准备训练数据。(来源:论文)

在最近的研究中,厦门大学的研究人员提出了一种非递归(非迭代)AI-QD 方法,用于极快地预测量子动力学,因为可以对任何时间步长进行预测,直至渐近极限,完全避免了递归轨迹传播的需要。

正如他们论文里所展示的,这可以用于大规模量子动力学模拟,例如,在设计的光伏器件中寻找有效能量转移所需的最佳条件。

换个角度来看,AI-QD 方法可以预测整个 2.5 ps 的轨迹,大约在 2.5 秒以内。2 min 在 Intel(R)Core(TM)i7-10700 CPUs @ 2.90 GHz 的单核上,独立于用于生成训练轨迹的参考方法,而与 HEOM 等传统递归方法相同的传播需要数小时,并且成本会因低温而成倍增加。

HEOM 等精确方法的成本较高,所以研究人员使用 LTLME 来广泛测试该方法(使用 LTLME 在上述计算机架构的单个 CPU 上传播整个轨迹仅需 3 min)。

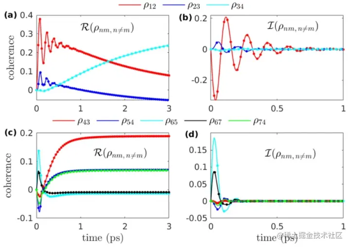
图示:作为时间函数的电子相干性。(来源:论文)

值得强调的是,AI-QD 拥有并行性,可使用多个 CPU 或 GPU 可以进一步显著加快计算速度;因为 AI-QD 对不同时间步的预测是相互独立的,不同的轨迹段可以分布在多个线程上进行独立计算。

研究人员在 FMO 复合体的示例上展示了 AI-QD 方法的可行性,但这种方法足够通用,可以在再训练后用于任何其他复合体。当然,AI-QD 方法可以如何扩展到同时描述多个 LHC 仍有待观察。

人们可以使用 LHC 哈密顿元素作为 LHC 复合体的表示,一项早期令人鼓舞的研究表明,通过使用哈密顿元素作为 ML 模型的输入,人们可以成功地描述不同哈密顿量的标量特性(能量转移时间和转移效率)。然而,悬而未决的问题仍然是这种学习动力学的方法有多成功,此外,如何规避不同复合体的哈密顿量的不同维度。

论文链接:www.nature.com/articles/s4…