Python贝叶斯回归分析住房负担能力数据集|附代码数据

399 阅读7分钟

原文链接:tecdat.cn/?p=11664

最近我们被客户要求撰写关于贝叶斯回归的研究报告,包括一些图形和统计输出。

我想研究如何使用pymc3在贝叶斯框架内进行线性回归。根据从数据中学到的知识进行推断

图片

 贝叶斯规则是什么? 

本质上,我们必须将已经知道的知识与世界上的事实相结合。

这里有一个例子。

假设存在这种罕见疾病,每10,000人中就有1人随机感染这种疾病。换句话说,有0.01%的机会患上这种疾病。幸运的是,有一项测试可以99%的正确识别出患有这种疾病的人,如果没有这种疾病,它也可以正确地说出您99%没有患这种疾病。您参加了测试,结果为阳性。您有多少几率实际患上该病?

好吧,让我们从逻辑上考虑一下。我们知道,每10,000人中就有1人患此病。假设有10,000人。他们中的9,999人没有疾病,但其中1%的人会得到阳性结果。因此,即使只有1人实际患有这种疾病,也有约101人获得了阳性结果。这意味着即使结果为阳性,您也只有101分之一的几率实际患上该病(或大约1%的几率)。

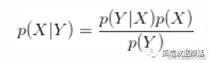
数学描述  :

图片

看起来很简单。实际上,这很简单。该公式仅需要一些概率分布的知识。但是实际上,右边的分母通常意味着我们将要计算很多真正的计算重积分。因此,贝叶斯统计被放弃了很多年。从某种意义上讲,它自然而然地脱离了概率论。如果我们只有擅长计算大量数字的东西,那么这类问题就可以解决。

计算机确实非常快地进行计算贝叶斯回归。

代码

这是进行贝叶斯回归所需的知识。通常,我们想到这样的回归:

图片

e是正态分布的误差。 

因此,我们假设:

图片

与先验:

图片

因此,如果我们拥有X和Y的数据,则可以进行贝叶斯线性回归。

 代码 

我们要使用的数据集是《  住房调查:2013年住房负担能力数据 》数据集。 

我们感兴趣的是住房负担如何随着年龄而变化。AGE1包含户主的年龄。BURDEN是一个变量,它告诉我们住房费用相对于收入有多大。为简单起见,我们仅关注这两个变量。我们想知道的是,随着年龄的增长,住房负担会变得更容易吗?特别是,我们想知道斜率系数是否为负,并且由于我们处于贝叶斯框架中,因此该概率为负的概率是多少?

因此,我们将导入所需的库和数据。进行一些数据清理。

df=pd.read_csv('2013n.txt',sep=',')
df=df[df['BURDEN']>0]
df=df[df['AGE1']>0]

现在,让我们构建上面讨论的模型。让我们做一个散点图,看看数据是什么样子。

plt.scatter(df['AGE1'],df['BURDEN'])
plt.show()

结果如下:

图片


点击标题查阅往期内容

图片

R语言用贝叶斯层次模型进行空间数据分析

图片

左右滑动查看更多

图片

01

图片

02

图片

03

图片

04

图片

住房负担很容易超过收入的10倍。

这是构建和运行模型的代码:

pm.traceplot(trace)
plt.show()

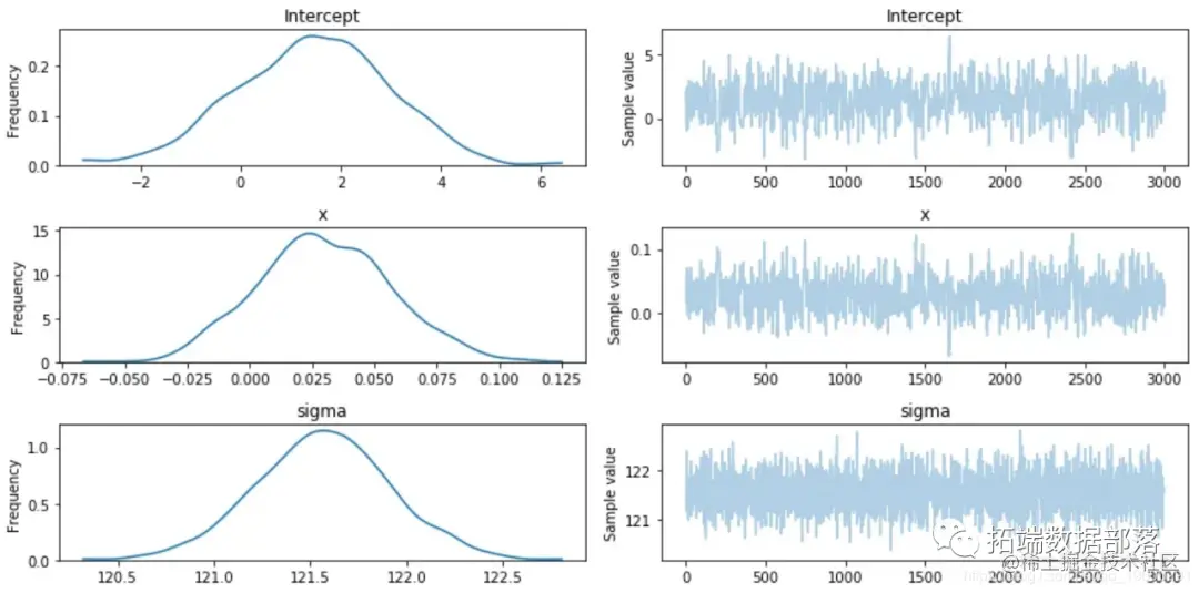
**看起来与我们上面的模型完全一样,不同之处在于我们还有一个正态分布的截距beta。现在我们的模型已经训练好了,我们可以继续做一些推论工作。
**

完成运行后,会看到类似以下内容:

图片

可以看到,我们有斜率和截距的后验分布以及回归的标准偏差。

**住房负担会随着年龄的增长而减少吗?
**

是的。随着人们的建立,他们的住房成本将相对于收入下降。这将等于年龄变量的负斜率系数。运行以下代码,则可以找出斜率系数为负的确切概率。

print(np.mean([1 if obj<0 else 0 for obj in trace['x']]))

该系数为负的概率约为13.8%。

图片

点击文末 “阅读原文”

获取全文完整代码数据资料。

本文选自《Python贝叶斯回归分析住房负担能力数据集》。

点击标题查阅往期内容

课程视频|R语言bnlearn包:贝叶斯网络的构造及参数学习的原理和实例
R语言Gibbs抽样的贝叶斯简单线性回归仿真分析
python贝叶斯随机过程:马尔可夫链Markov-Chain,MC和Metropolis-Hastings,MH采样算法可视化
Python贝叶斯推断Metropolis-Hastings(M-H)MCMC采样算法的实现
Metropolis Hastings采样和贝叶斯泊松回归Poisson模型
Matlab用BUGS马尔可夫区制转换Markov switching随机波动率模型、序列蒙特卡罗SMC、M H采样分析时间序列R语言RSTAN MCMC:NUTS采样算法用LASSO 构建贝叶斯线性回归模型分析职业声望数据
R语言BUGS序列蒙特卡罗SMC、马尔可夫转换随机波动率SV模型、粒子滤波、Metropolis Hasting采样时间序列分析
R语言Metropolis Hastings采样和贝叶斯泊松回归Poisson模型
R语言贝叶斯MCMC:用rstan建立线性回归模型分析汽车数据和可视化诊断
R语言贝叶斯MCMC:GLM逻辑回归、Rstan线性回归、Metropolis Hastings与Gibbs采样算法实例
R语言贝叶斯Poisson泊松-正态分布模型分析职业足球比赛进球数
R语言用Rcpp加速Metropolis-Hastings抽样估计贝叶斯逻辑回归模型的参数
R语言逻辑回归、Naive Bayes贝叶斯、决策树、随机森林算法预测心脏病
R语言中贝叶斯网络(BN)、动态贝叶斯网络、线性模型分析错颌畸形数据
R语言中的block Gibbs吉布斯采样贝叶斯多元线性回归
Python贝叶斯回归分析住房负担能力数据集
R语言实现贝叶斯分位数回归、lasso和自适应lasso贝叶斯分位数回归分析
Python用PyMC3实现贝叶斯线性回归模型
R语言用WinBUGS 软件对学术能力测验建立层次(分层)贝叶斯模型
R语言Gibbs抽样的贝叶斯简单线性回归仿真分析
R语言和STAN,JAGS:用RSTAN,RJAG建立贝叶斯多元线性回归预测选举数据
R语言基于copula的贝叶斯分层混合模型的诊断准确性研究
R语言贝叶斯线性回归和多元线性回归构建工资预测模型
R语言贝叶斯推断与MCMC:实现Metropolis-Hastings 采样算法示例
R语言stan进行基于贝叶斯推断的回归模型
R语言中RStan贝叶斯层次模型分析示例
R语言使用Metropolis-Hastings采样算法自适应贝叶斯估计与可视化
R语言随机搜索变量选择SSVS估计贝叶斯向量自回归(BVAR)模型
WinBUGS对多元随机波动率模型:贝叶斯估计与模型比较
R语言实现MCMC中的Metropolis–Hastings算法与吉布斯采样
R语言贝叶斯推断与MCMC:实现Metropolis-Hastings 采样算法示例
R语言使用Metropolis-Hastings采样算法自适应贝叶斯估计与可视化
视频:R语言中的Stan概率编程MCMC采样的贝叶斯模型
R语言MCMC:Metropolis-Hastings采样用于回归的贝叶斯估计