人工智能导论复习

607 阅读9分钟

知识表示

  1. 状态空间法就是用来表示问题及其搜索过程的一种方法。它是人工智能中最基本的形式化方法,用“状态”和“算符”来表示问题。
  2. 问题约束法:已知问题的描述,通过一系列变换把此问题变为一个子问题集合;这些子问题的解可以直接得到,从而解决了初始问题。 问题归约法的组成部分 (1)一个初始问题描述; (2)一套把问题变换为子问题的操作符; (3)一套本原问题描述。(本原问题:不能再分解或变换且直接可解的子问题) 问题归约的本质 从目标(要解决的问题)出发逆向推理,建立子问题以及子问题的子问题,直到最后把初始问题归约为一个本原问题集合。

模糊推理

模糊集

模糊集上的运算主要有:包含、交、并、补等等。

  1. 包含运算 定义2.14 设A,B∈F(U),若对任意u∈U,都有 μB(u)≤μA(u) 成立,则称A包含B。
  2. 交、并、补运算 定义2.15 设A,B∈F(U),以下为扎德算子

Pasted image 20230614174539.png 例2.9 设U={u1,u2,u3}, A=0.3/u1+0.8/u2+0.6/u3 B=0.6/u1+0.4/u2+0.7/u3 则: A∩B=(0.3∧0.6)/u1+(0.8∧0.4)/u2+(0.6∧0.7)/u3 =0.3/u1+0.4/u2+0.6/u3 A∪B=(0.3∨0.6)/u1+(0.8∨0.4)/u2+(0.6∨0.7)/u3 =0.6/u1+0.8/u2+0.7/u3 ¬A=(1-0.3)/u1+(1-0.8)/u2+(1-0.6)/u3 =0.7/u1+0.2/u2+0.4/u3

模糊关系与合成

一般地说,当U和V都是有限论域时,其模糊关系R可用一个模糊矩阵表示。 U={u1,u2,…,um} V={v1,v2,…,vn} 则U×V上的模糊关系为 Pasted image 20230614180509.png

  1. 模糊关系的合成 定义2.23 设R1与R2分别是U×V与V×W上的两个模糊关系,则R1与R2的合成是指从U到W的一个模糊关系,记为 R1°R2 其隶属函数为 Pasted image 20230614180601.png

Pasted image 20230614180940.png

Pasted image 20230614181113.png

Pasted image 20230614181127.png

Pasted image 20230614181241.png

Pasted image 20230614181301.png

遗传算法

概述

遗传算法GA把问题的解表示成“染色体”,在算法中即是以一定方式编码的串。并且,在执行遗传算法之前,给出一群“染色体”,也即假设解。然后,把这些假设解置于问题的“环境”中,并按适者生存的原则,从中选择出较适应环境的“染色体”进行复制,再通过交叉,变异过程择出较适应环境的“染色体”进行复制产生更适应环境的新一代“染色体”群。这样,一代一代地进化,最后就会收敛到最适应环境的一个“染色体”上,它就是问题的最优解。

question

  1. 简述遗传算法的步骤:    遗传算法是一种启发式优化算法,模拟了生物进化中的自然选择和遗传机制。它通过迭代的方式搜索最优解。

   步骤如下:

   1. 初始化种群:创建一个初始的个体群体,每个个体都是一个解的候选者,可以使用随机生成的方法。

   2. 评估适应度:根据问题的评价标准,对每个个体进行适应度评估,确定其解的质量。

   3. 选择操作:根据适应度评估结果,选择一部分优秀的个体作为父代。

   4. 交叉操作:从父代中选取一对个体,通过某种方式交换基因信息,生成新的后代个体。

   5. 变异操作:对新生成的后代个体进行基因变异,引入新的基因组合,增加种群的多样性。

   6. 重复步骤2至步骤5,直到达到停止条件(例如达到最大迭代次数或找到满足要求的解)。

   7. 返回最优解或满足要求的解。

  1. 利用遗传算法求解区间[0,31]上的二次函数y=x2的最大值。 Pasted image 20230615090024.png

原问题可转化为在区间[0, 31]中搜索能使y取最大值的点a的问题。那么,[0, 31] 中的点x就是个体, 函数值f(x)恰好就可以作为x的适应度,区间[0, 31]就是一个(解)空间 。这样, 只要能给出个体x的适当染色体编码, 该问题就可以用遗传算法来解决。 (1) 设定种群规模,编码染色体,产生初始种群。 将种群规模设定为4;用5位二进制数编码染色体(32=(11111)B);取下列个体组成初始种群S1(随机生成): s1= 13 (01101), s2= 24 (11000) s3= 8 (01000), s4= 19 (10011)

(2) 定义适应度函数, 取适应度函数:f (x)=x2

(3) 计算各代种群中的各个体的适应度, 并对其染色体进行遗传操作,直到适应度最高的个体(即31(11111))出现为止。

首先计算种群S1中各个体 s1= 13(01101), s2= 24(11000)
s3= 8(01000), s4= 19(10011) 的适应度f (si) 。 容易求得 f (s1) = f(13) = 132 = 169 f (s2) = f(24) = 242 = 576 f (s3) = f(8) = 82 = 64 f (s4) = f(19) = 192 = 361

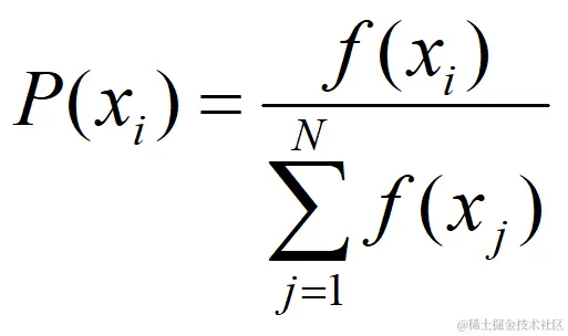
再计算种群S1中各个体的选择概率。 Pasted image 20230615090442.png

P(s1) = P(13) = 0.14 P(s2) = P(24) = 0.49 P(s3) = P(8) = 0.06 P(s4) = P(19) = 0.31

Pasted image 20230615090710.png

Pasted image 20230615090717.png

Pasted image 20230615090750.png 于是,得到群体: s1’ =11000(24), s2’ =01101(13) s3’ =11000(24), s4’ =10011(19)

交叉 设交叉率pc=100%,即S1中的全体染色体都参加交叉运算。 设s1’与s2’配对,s3’与s4’配对。分别交换后两位基因,得新染色体: s1’’=11001(25), s2’’=01100(12) s3’’=11011(27), s4’’=10000(16)

变异 设变异率pm=0.001。 这样,群体S1中共有 5×4×0.001=0.02 位基因可以变异。 0.02位显然不足1位,所以本轮遗传操作不做变异

于是,得到第二代种群S2: s1=11001(25), s2=01100(12) s3=11011(27), s4=10000(16)

继续选择、交叉、变异

返回最优解或者满足条件的解

神经网络

  1. 请简述单层感知器神经网络的结构功能特性,并采用该模型解决逻辑中的一个线性可分问题。(提示:如与、或、非等问题) 单层感知器神经网络是一种最简单的神经网络模型,由一个输入层和一个输出层组成。它的结构和功能特性如下:

    1. 结构:
      • 输入层:接收输入的特征向量。(输入层也称为感知层,每个结点只负责接收一个输入信号;)
      • 输出层:输出对应的分类结果。(输出层也称为信息处理层,每个结点均具有信息处理能力)
      • 权重:每个输入特征都有对应的权重,用于加权输入特征。
      • 偏置:每个神经元都有一个偏置,用于调节神经元的激活阈值。
      • 激活函数:常用的激活函数是阶跃函数(Step Function)或符号函数。

Pasted image 20230615093649.png 1. 功能特性: - 线性分类:单层感知器神经网络适用于解决线性可分问题,即能够通过一个超平面将不同类别的数据完全分开。 - 分类决策:神经网络根据输入特征的加权和经过激活函数后的输出结果,判断输入数据属于哪个类别。 - 学习算法:单层感知器使用感知器学习算法(Perceptron Learning Algorithm)进行权重的学习和调整,以逐渐接近最优权重。 下面以逻辑中的一个线性可分问题为例,如“与”逻辑(AND Logic),来说明单层感知器神经网络的应用过程: 1. 问题描述: - 输入:两个二进制变量(0或1)x1和x2。 - 输出:根据逻辑“与”的规则,如果x1和x2都为1,则输出为1;否则输出为0。 2. 网络结构: - 输入层:两个输入神经元,分别对应x1和x2。 - 输出层:一个输出神经元,输出结果为0或1。 - 权重:两个输入神经元对应的权重分别为w1和w2。 - 偏置:偏置为b。 3. 激活函数: - 使用阶跃函数作为激活函数,当输入加权和大于等于阈值时,输出为1;否则输出为0。 Pasted image 20230615093741.png 4. 解决过程: - 初始化权重和偏置的值。 - 对于每个输入样本 (x1, x2),计算神经元的加权和:z = x1w1 + x2w2 + b。 - 使用阶跃函数判断输出结果:y = step_function(z)。 - 根据输出与期望值的差异,调整权重和偏置的值。 - 重复上述步骤,直到网络输出与期望输出一致或达到最大迭代次数。 通过上述步骤,单层感知器神经网络可以学习并解决逻辑中的线性可分问题,如“与”逻辑、"或"逻辑等。

  1. 简述神经网络中的主要学习算法:

   神经网络是一种模拟生物神经系统的计算模型,具有学习能力。以下是神经网络中的主要学习算法:

   1. 反向传播算法(Backpropagation):反向传播是一种监督学习算法,用于训练多层前馈神经网络。它通过计算预测输出与真实输出之间的误差,然后反向传播误差,根据链式法则调整网络中的权重和偏置,以减小误差,从而提高网络的准确性。

   2. 遗传算法(Genetic Algorithm):遗传算法也可以应用于神经网络的学习。在遗传算法中,使用基因编码表示神经网络的结构和参数,通过模拟生物进化的遗传和选择过程来搜索最优解。

   3. 自适应学习率算法(Adaptive Learning Rate):自适应学习率算法通过动态调整学习率来提高训练的效果。常见的算法包括自适应学习率梯度下降(Adaptive Learning Rate Gradient Descent)、自适应矩估计(Adaptive Moment Estimation,Adam)等。

   4. 强化学习算法(Reinforcement Learning):强化学习算法用于训练智能体在与环境交互的过程中学习最优策略。常见的算法包括Q-learning、Deep Q-Network(DQN)等。