修剪二叉搜索树

229 阅读1分钟

题目描述

给你二叉搜索树的根节点 root ,同时给定最小边界low 和最大边界 high。通过修剪二叉搜索树,使得所有节点的值在[low, high]中。修剪树 不应该 改变保留在树中的元素的相对结构 (即,如果没有被移除,原有的父代子代关系都应当保留)。 可以证明,存在 唯一的答案 。

所以结果应当返回修剪好的二叉搜索树的新的根节点。注意,根节点可能会根据给定的边界发生改变。 示例 1:

image.png

输入: root = [1,0,2], low = 1, high = 2
输出: [1,null,2]

示例 2:

image.png

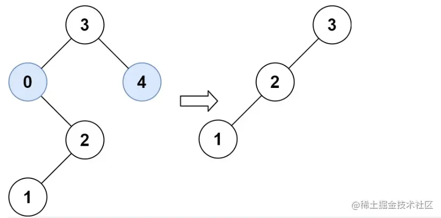
输入: root = [3,0,4,null,2,null,null,1], low = 1, high = 3
输出: [3,2,null,1]

思路

修剪二叉树一定涉及到节点的删除,对于需要删除的目标节点的子节点如何处理呢?

  • 首先要明确:子节点一定不能随着目标节点一起被删除,因为子节点中可能存在符合区间的值,这些值是不能被删除的。例如:

  • 目标节点的值 < low : 这是一棵二叉搜索树目标节点的右子树可能存在符合区间的值

  • 比如:目标节点0应该被删除,但是它的右子树中存在节点符合区间。 image.png

  • 同理可得:目标节点的值 > high : 这是一棵二叉搜索树目标节点的左子树可能存在符合区间的值

代码

/**
 * Definition for a binary tree node.
 * class TreeNode {
 *     val: number
 *     left: TreeNode | null
 *     right: TreeNode | null
 *     constructor(val?: number, left?: TreeNode | null, right?: TreeNode | null) {
 *         this.val = (val===undefined ? 0 : val)
 *         this.left = (left===undefined ? null : left)
 *         this.right = (right===undefined ? null : right)
 *     }
 * }
 */

function trimBST(root: TreeNode | null, low: number, high: number): TreeNode | null {
    // 终止条件
    if(root==null) return root;

    if(root.val>high){
        let left=trimBST(root.left,low,high)
        return left
    }
    if(root.val<low){
        let right=trimBST(root.right,low,high)
        return right
    }

    root.left=trimBST(root.left,low,high);
      root.right=trimBST(root.right,low,high);
      return root;

};

image.png

总结

修剪二叉搜索树,必须弄明白被删除节点的子节点的处理规则。如有错误之处,欢迎大家留言指出,谢谢大家了。 image.png