直播产品行业解决方案|商业化变现模型

1,872 阅读18分钟

摘要

在过去几年的直播行业创业风口期中,直播的用户关注度疯狂增长,但用户质量却参差不齐。随着用户新鲜感一过,流失率变得相当严重,各大平台都在竭尽全力防御。然而,留住“凑热闹”的非直播受众用户并不是最关键的问题,而是要找到适合真实直播受众用户的商业化道路,才能保证行业的稳定繁荣。因此,我们需要探索有效的商业化模式,以确保产品的长期发展。

一、社交直播产品概述

泛娱乐社交直播产品是指以社交直播为基础,结合娱乐元素和游戏化设计的社交娱乐产品。它的产品形态以互动性、社交性为主要特点。其核心功能包括:实时直播、互动交流、打赏送礼、游戏竞技、娱乐节目等。通过直播平台,让用户可以观看和参与娱乐直播节目、游戏竞技等,与主播和其他观众进行互动、交流和竞赛,并可以通过打赏、送礼等形式支持喜爱的主播或者获取奖励。

泛娱乐社交行业行业图谱包含应用层、技术层和硬件层三个层面。以直播语聊产品为主要代表,其技术层面的表现直接决定了用户体验和产品的商业化能力,技术层的重要性体现在:直播流畅度、社交互动、安全性等方面。头部的音视频厂商有:腾讯云(cloud.tencent.com/),即构科技(www.zego.im/ ),阿里云(www.alibabacloud.com/zh )等。

社交直播市场竞争激烈,主要头部平台为快手、抖音、YY和斗鱼。新兴社交直播产品如B站、映客也在逐步崛起。传统视频平台也开始加入到社交直播领域。当前市场格局呈现出头部垄断的趋势,未来竞争将更加激烈,整个行业将会更加多元化和细分化。

二、社交直播产品商业化模式

社交直播产品想要在激烈的市场竞争中脱颖而出并取得成功,确保产品的稳定发展、用户需求的满足以及公司的盈利和生存。商业化是必经之路且至关重要。

直播语聊产品的商业化模式主要包括广告收入、付费会员、虚拟礼物收入、主播带货四种主要方式。

1. 广告收入模式:直播平台通过向广告主出售广告位来获取收入。这种模式适用于用户量庞大、品牌知名度高的直播平台,例如斗鱼TV、虎牙直播等。

优点

• 广告费用是稳定的收入来源;

• 用户可以通过宣传品牌获取一定的收益,增加用户的参与度和粘性;

• 平台可以从广告费用中获得一定的分成比例,增加收益;

缺点

• 广告过多,可能会影响用户体验

终-社交直播产品商业化-5月原创983.png

2. 打赏模式: 在社交直播产品中,观众可以通过虚拟礼物或者真实货币的形式向主播进行打赏,直播平台从中抽取一定的手续费作为平台的收入来源。这种模式适用于用户黏性高、社交氛围浓厚的直播平台,例如Bilibili、快手等。

优点

• 用户购买虚拟礼物可以表达对主播的喜欢和支持,增加用户的参与度和粘性;

• 主播可以通过销售虚拟礼物获得一定的收益,提高其创作积极性;

• 平台可以从礼物销售中获得一定的分成比例,增加收益。

缺点

• 礼物销售的收益受到主播号召力、用户活跃度等因素的影响,不稳定。

• 用户付费意愿有限

终-社交直播产品商业化-5月原创1233.png

3. 付费订阅模式: 直播平台为用户提供付费订阅服务,用户可以通过付费订阅来获取更多的特权与福利。这种模式适用于内容质量较高、用户需求较为明确的直播平台,例如斗鱼TV、YY语音等。

优点

• 用户可以通过订阅获取更多的专属内容,提高用户的参与度和粘性;

• 主播可以通过订阅收费获得一定的稳定收益,提高其创作积极性;

• 平台可以从订阅费用中获得一定的分成比例,增加收益,订阅模式收入较为稳定。

缺点

• 需要平台不断更新内容保持用户粘性

• 用户付费意愿有限

终-社交直播产品商业化-5月原创1457.png

4、主播带货商业模式: 主播带货是近年来比较热门的商业化模式。主播可以在直播中介绍和展示商品,用户可以直接在线购买。直播平台从中获取一定的收益。这种模式需要直播平台提供优质的商品资源和主播资源,以吸引用户购买商品。

优点:

• 主播可以直接向用户推荐商品,增加用户购买的决策性和信任感;

• 主播可以通过销售商品获得一定的收益,提高其创作积极性;

• 平台可以从商品销售中获得一定的分成比例,增加收益。

缺点:

主播带货需要有一定的专业知识和技巧,需要投入一定的时间和精力;
商品销售的收益受到主播的号召力、用户活跃度等因素的影响,不稳定。

终-社交直播产品商业化-5月原创1724.png

三、打赏模式是实时社交最重要的变现模式

打赏和虚拟礼物模式是目前社交直播产品的主要盈利方式之一。 在实时社交的场景下,打赏和虚拟礼物模式具有得天独厚的优势。打赏的价值模型本质上是通过提供陪伴、社交和荷尔蒙等方面的价值来换取收益。通过打赏和虚拟礼物,观众可以与主播建立更加紧密的联系,从而为直播平台带来更多的收入。同时,打赏也能激发主播的积极性和创造力,推动用户与主播之间的互动和社交。

根据TME的年报数据显示,虚拟礼物和打赏的收入占比最大。网易云音乐的直播业务收入同比增长了近3倍,其中,虚拟礼物和打赏的收入占比也非常高,这再次证明了打赏和虚拟礼物是直播产品的主要盈利模式之一。Soul,一款新兴的音乐社交直播应用,其打赏和虚拟礼物商业模式也是主要的盈利方式,其月收入已经超过了1亿元人民币,其中,虚拟礼物和打赏的收入占比超过了60%。

四、直播语聊产品变现模式的痛点和解决方案

在整个直播语聊产品的用户路径中,商业化模式是贯穿始终的,涉及到产品开发、用户增长、盈利模式等方方面面。直播语聊产品的用户路径包括用户注册、关注其他用户、参与语聊房间、送礼和打赏、分享和邀请等多个方面。用户可以快速找到自己感兴趣的房间和主播并参与其中,实现与其他用户的互动和交流。

直播产品的用户路径: 用户注册登陆-浏览或搜索主播或房间-加入语聊房聊天互动-购买虚拟礼物进行打赏-分享房间-参与其他活动和任务-结束

终-社交直播产品商业化-5月原创2346.png

直播语聊产品商业化的业务模型包括流量获取、用户承接、社交沉淀和付费转化。随着竞争日益激烈,每个环节都存在痛点难点。

• 流量获取:社交行业的买量成本持续上涨,但用户成本超过30元

• 用户承接:缺乏优质内容的实时场景让用户玩不起来,导致新用户流失。

• 社交沉淀:缺乏丰富玩法的社交场景让用户无法产生有效的互动,导致退出率高和留存率低。

• 付费转化:公会为代表的头部PGC占据了超过80%,PGC分成高导致平台成本大。

在直播语聊产品的商业化过程中,需要综合考虑并制定科学合理的商业化策略,以攻克痛点并实现商业化成功。下面针对四个环节的痛点给到优化策略建议,产品有相关业务流程问题的可参考优化。

业务模式描述痛点优化策略
流量获取通过投放等渠道拉新社交行业的买量成本持续上涨,但用户成本超过30元选择合适的推广渠道,如社交媒体、行业媒体、搜索引擎优化等,来提高产品的曝光度和用户访问量。此外,对于新用户可以提供一些优惠、礼品等刺激措施,吸引用户下载、注册、使用产品。
用户承接新用户进入app实时承接的内容或玩法 缺乏优质内容的实时场景让用户玩不起来,导致新用户流失提供更好的内容和服务来提高用户的满意度和粘性。例如,提供更多元化的内容、更丰富的互动功能、更个性化的服务等。同时,可以通过用户调研、数据分析等手段,了解用户的需求和反馈,及时优化产品。
社交沉淀通过产品的社交功能的设计和推广引导用户建立社交行为。缺乏丰富玩法的社交场景让用户无法产生有效的互动,导致退出率高和留存率低。提供更多的社交场景和功能,如社交小组、社交游戏、社交活动等,来增强用户的社交互动和粘性。此外,可以通过用户数据分析,了解用户的社交行为和习惯,针对性地推出更符合用户需求的社交场景和功能。
付费转化通过关系链、PK、概率游戏引导用户抽奖打赏获得利润公会为代表的头部PGC占据了超过80%,PGC分成高导致平台成本大提供更有价值的付费服务和虚拟商品,如精品课程、独家权益、虚拟礼品等,来提高用户的付费意愿和满意度。此外,可以采用灵活的收费策略,如会员制度、按需付费等,以满足不同用户的需求和消费习惯

五、直播语聊产品的应用场景和技术需求

在目前的市场环境下,泛娱乐社交行业的竞争非常激烈。为了吸引更多的用户,许多公司都在不断推陈出新,开发出更多有趣的场景和功能。比如,小游戏和游戏开黑等场景,让用户可以在社交的同时,享受到更多的娱乐体验。而跨房PK和1V1速配的功能,则更加强调了社交的互动性和竞争性,帮助平台获取更多收入。

类型场景特色技术诉求
秀场直播 侧重单主播直播,与观众互动不频繁,可以文字互动,观众从CDN拉流。常见场景有秀场直播,电商直播。直播内容多种多样,比如颜值,才艺,户外,带货等形式,通过加关注获取粉丝形成群体高画质保障 流畅度保障 美颜功能 内容审核 。观众音频麦位管理 观众端推拉流策略 跨房间PK 录制截图。
1V1音视频交友1v1是应用最多的场景之一,包括速配交友,私密视频连麦,普通视频通话(医疗会诊,门禁,AI机器人导购,房产,面试)等等。由于1v1是没有观众场景,一般交友类型,都是以单次付费或者会员费的形式去匹配聊天;应用在普通视频通话的场景中都是以应用型和功能性产品为主。速配秒开 计费策略 美颜功能内容审核 流名列表维护 录制截图 
多人视频直播多人视频连麦包括:线上非诚勿扰,视频交友,多主播连麦等场景。主要以主播间进行趣味话题,才艺展示,来获得粉丝打赏。线上非诚勿扰则会淘汰粉丝打赏少女嘉宾,候补女嘉宾会上位。高画质保障 流畅度保障 美颜功能 混流策略观众连麦策略 多主播位管理 录制截图 内容审核
跨房间PKPK是当前最流行的吸金玩法之一,一般包括,礼物对拼,连屏PK,mvp激战,霸屏时刻,多人pk等等主要以观众打赏为主的特色玩法,形式多种多样,展示观众助力榜单,以及获得打赏最多的主播,将会霸占整个屏幕5-10s,更加刺激主播内的观众为主播打赏。PK拉流秒开 远端视频流静音 美颜功能 混流策略CDN优先级 流名列表维护 录制截图 内容审核

六、泛娱乐社交2.0解决方案

在社交直播产品领域,优化用户体验是商业化过程中的关键要素。这不仅包括产品功能设计和运营策略设计,还包括技术体验。为了实现这些目标,公司可以将精力集中在与业务相关的产品和运营策略方面,同时将技术和方案的部分外包给专业的厂商来实现。这样可以提高产品的稳定性和可靠性,从而提高用户体验和满意度。此外,随着泛娱乐社交行业的不断发展和变化,公司还需要密切关注行业趋势和竞争对手的动态,及时调整产品和运营策略,以保持竞争优势和市场领先地位。

在泛娱乐社交行业的产业链中,技术层是非常重要的一环。技术层包括音视频处理、数据传输、云计算等技术,这些技术为直播语聊产品提供更加稳定、高效的服务和支持。例如,音视频处理技术可以保证用户在直播过程中的声音和画面质量;数据传输技术可以确保直播过程中数据的快速传输和稳定性;云计算技术可以为直播平台提供更加灵活、高效的资源管理和调度。

以音视频厂商即构科技为例(<www.zego.im/ ),即构基于7年泛娱乐行业经验,对此前的泛娱乐玩法进行升级,推出「泛娱乐社交玩法2.0方案」,将从新颖度、丰富度、个性化等不同维度助力泛娱乐企业构建差异化竞争优势,并持续在用户增长、活跃、留存等方面获得有效突破。>

之前公司直播项目有接入过即构RTC产品,接入流程便捷高效,实时音视频服务流畅稳定。大家的项目要是需要一款稳定便捷的音视频服务,可到即构官网联系相关商务(点这里<www.zego.im/ )。据即构科技官网显示,基于近二十年技术沉淀和海量用户的经验积累,提供了语聊房、秀场直播、在线KTV、社交+小游戏、一起看等10+余种泛娱乐行业解决方案,映客直播、TT语音、Soul等行业70%的头部玩家都选择接入即构,早在2019年日均音视频互动时长就已突破了60亿分钟,行业领先。作为音视频技术的头部厂商,即构不断打磨沉淀出经过市场验证的玩法和内容,帮助众多企业快速达成产品留存和营收增长。

即构泛娱乐社交2.0解决方案

目前,即构泛娱乐社交玩法2.0已经涵盖了“社交+游戏”、“社交+K歌+版权”、“虚拟直播”、“互动竞猜”、“虚拟形象”等多种解决方案,可以帮助泛娱乐企业在极短时间内上线新玩法。

社交+在线K歌解决方案(www.zego.im/solution/kt…

支持独唱、轮唱、合唱、线下OMO歌房等多种玩法,极速搭建含海量正版曲库的在线K歌房。

社交+小游戏方案(www.zego.im/solution/en…

提供直播间内的实时PVP、语音互动、桌游、秀场互动等多种小游戏类型,助力客户提高产品活跃、留存、使用时长及营收能力。

社交+avatar方案(www.zego.im/solution/me…

全新直播方式,虚拟形象替代真人出镜,打造不一样的直播体验,支持表情随动、手势识别触发特效等多种玩法。

终-社交直播产品商业化-5月原创5324.png

方案技术优势

即构音视频技术从全球节点覆盖、弱网传输优化、中低端机型优化、音质3A处理等维度提供实时互动技术服务。

场景优势技术亮点
语聊房超高保真音质音质清晰:自研3A算法音质调优,提供清晰高保真的音质体验个人化处理:支持变声、立体声、混响声音特效,游戏语音模块提供范围音效、3D音效、小队语音。
 低延迟全链路延迟优化,不同网络、机型、平台的超低延迟,可达76ms
 抗弱网性 抗弱网性,全球领先上或下行 80% 丢包下,可保持音频流畅通话上或下行 90% 丢包下,可保持70%不掉线
 防炸麦流级防炸麦,强校验业务麦位状态,推流鉴权,后台踢人逻辑
直播/多人视频画质清晰H265编码使用
 视频流畅协议优化提升弱网抗性
 秒开直播观众秒开优化、1V1、多人视频房秒开
 PK灵活强大的云端混流支持、多房间完备的信令支持
 超分辨率自研超分算法,提升X2分辨率,实测效果业内处于领先地位。

即构全链路解决方案提升直播产品营收

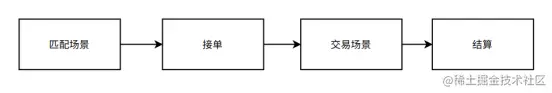
以1v1场景为例,其用户路径拆解成4个阶段:匹配-接通-交易-结算。即构针对每个环节提供了1V1场景全链路解决方案,帮助直播产品的精细化运营。减少交易折损率,实现企业总营收的增长。

终-社交直播产品商业化-5月原创5861.png

即构社交1V1场景解决方案,提升各环节转化率,提供全方位的支持,是很多泛娱乐社交行业头部产品的共同选择。

1、匹配场景:实时场景匹配转化率高。

即构多实时场景快速方案保障两端极速联通,降低推出率。

2、接单:接通率影响订单开始的转化

秒开方案使95%房间在2秒内接通,转化率提升25%。

3、交易场景:ARPU提升关键

稳定网络保障场景内基础体验,小游戏玩法提升两方时长,增加额外付费点。

4、结算:影响客户体验和复购

专项结算方案保障主播和粉丝的公平结算。

七、直播语聊产品商业化未来趋势

随着直播语聊产品市场的逐渐成熟和用户需求的不断变化,未来直播语聊产品的商业化模式也将会发生一些变化。

1)内容付费模式将会更加普及,用户可以通过直播产品获取更加高质量、专业的内容服务。
2)直播产品将会更加注重用户体验和互动,提供更多的社交互动场景,增强用户黏性。
3)直播产品将会更加注重个性化和多元化服务,提供更多不同的直播主题和形式,满足用户多样化的需求。
4)新技术的应用将会使直播产品更加智能化,例如人工智能、虚拟现实等技术的应用,将会为直播产品带来更多的创新和发展。

总的来说,直播语聊产品的商业化模式将会在不断地演变和改进,以适应用户需求和市场变化,带来更加优质、有趣和有价值的直播内容和服务。未来商业化趋势将越来越明显,直播技术服务商通过提供技术支持、数据分析、产品升级等手段,为社交直播实现商业化盈利提供更多机会。