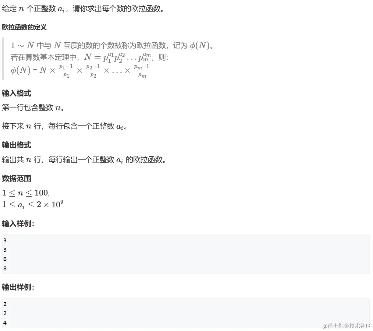
欧拉函数

172 阅读2分钟

欧拉函数

公式求欧拉函数

Snipaste_2023-04-24_16-19-42.png

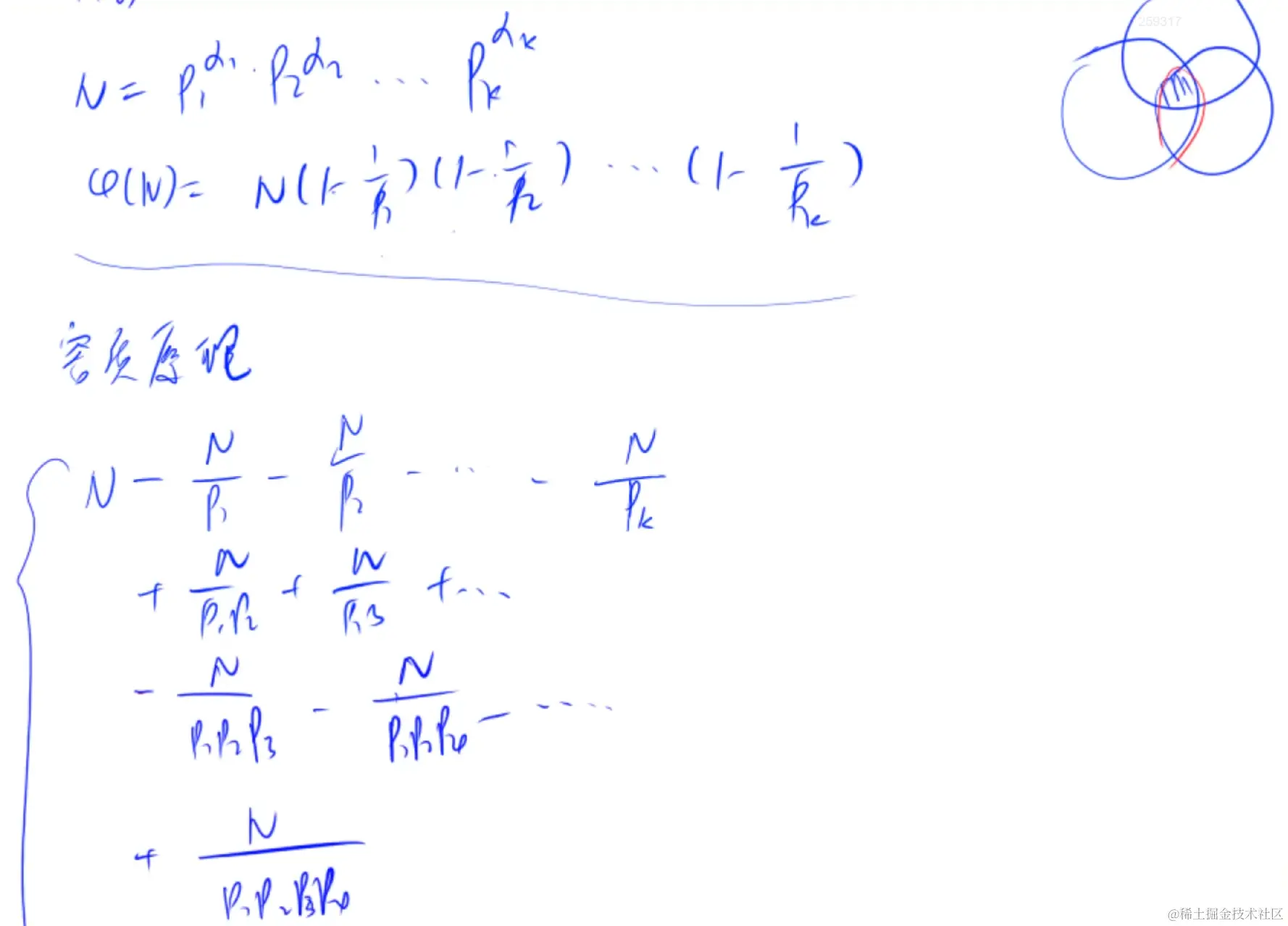
  • 证明:容斥原理
    • 首先N减去所有其质因子的倍数
    • 减完后会发现两个质因子乘积的倍数被多减去了,再加回来
    • 加回来后会发现三个质因子乘积的倍数被多加上了,再减回去
    • 就这样子一直下去就得到了上面的公式

Snipaste_2023-04-24_16-23-24.png

  • C++
int phi(int x)
{
    int res = x;
    for (int i = 2; i <= x / i; i ++ )
        if (x % i == 0)
        {
            //先乘可能会溢出 所以要先除
            res = res / i * (i - 1);
            while (x % i == 0) x /= i;
        }
    if (x > 1) res = res / x * (x - 1);

    return res;
}

线性筛法求欧拉函数

在线性筛法筛质数中,一共有三种情况

  1. 在遍历时直接遍历到了这个数i,这个数就是一个质数

    这个数的欧拉函数为euler[i] = i - 1

  2. 将这个质数i和之前确定的质数primes[j]的乘积t筛掉

    此时t的欧拉函数为euler[t] = primes[j] * euler[i] * ((primes[j] - 1) / primes[j])euler[t] = euler[i] * (primes[j] - 1)

  3. i % primes[j] == 0时,此时primes[j]i的最小质因数

    此时t的欧拉函数为euler[t] = primes[j] * euler[i]

  • C++
int primes[N], cnt;     // primes[]存储所有素数
int euler[N];           // 存储每个数的欧拉函数
bool st[N];         // st[x]存储x是否被筛掉


void get_eulers(int n)
{
    euler[1] = 1;
    for (int i = 2; i <= n; i ++ )
    {
        if (!st[i])
        {
            primes[cnt ++ ] = i;
            euler[i] = i - 1;
        }
        for (int j = 0; primes[j] <= n / i; j ++ )
        {
            int t = primes[j] * i;
            st[t] = true;
            if (i % primes[j] == 0)    //此时primes[j]是i的最小质因数
            {
                euler[t] = euler[i] * primes[j];
                break;
            }
            euler[t] = euler[i] * (primes[j] - 1);
        }
    }
}

练习

01 欧拉函数

  • 题目

Snipaste_2023-04-24_16-38-54.png

  • 题解
import java.io.*;
import java.util.*;

public class Main {
    public static int n;

    public static void main(String[] args) throws IOException {
        BufferedReader br = new BufferedReader(new InputStreamReader(System.in));
        PrintWriter pw = new PrintWriter(new OutputStreamWriter(System.out));
        n = Integer.parseInt(br.readLine());

        while (n-- > 0) {
            pw.println(phi(Integer.parseInt(br.readLine())));
        }
        pw.close();
        br.close();
    }

    public static int phi(int x) {
        int res = x;

        for (int i = 2; i <= x / i; i++) {
            if (x % i == 0) {
                //注意先乘可能会溢出 所以要先除
                res = res / i * (i - 1);
                while (x % i == 0) {
                    x /= i;
                }
            }
        }
        if (x > 1) {
            res = res / x * (x - 1);
        }
        return res;
    }
}

02 筛法求欧拉函数

  • 题目

Snipaste_2023-04-24_19-20-02.png

  • 题解
import java.io.*;
import java.util.*;

public class Main {
    public static final int N = 1000010;
    public static int[] euler = new int[N];  //存i的欧拉函数
    public static boolean[] st = new boolean[N]; //存i是否被筛过
    public static int[] primes = new int[N];  //存所有素数
    public static int idx, n;

    public static void main(String[] args) throws IOException {
        BufferedReader br = new BufferedReader(new InputStreamReader(System.in));
        PrintWriter pw = new PrintWriter(new OutputStreamWriter(System.out));
        n = Integer.parseInt(br.readLine());
        getEulers(n);

        long res = 0;
        for (int i = 1; i <= n; i++) {
            res += euler[i];
        }
        pw.println(res);
        pw.close();
        br.close();
    }

    public static void getEulers(int n) {
        euler[1] = 1;
        for (int i = 2; i <= n; i++) {
            if (!st[i]) {
                primes[idx++] = i;
                euler[i] = i - 1;
            }

            for (int j = 0; primes[j] <= n / i; j++) {
                int t = primes[j] * i;
                st[t] = true;
                if (i % primes[j] == 0) {    //此时primes[j]是i的最小质因数
                    euler[t] = primes[j] * euler[i];
                    break;
                }
                euler[t] = euler[i] * (primes[j] - 1);
            }
        }
    }
}