二叉搜索树中的插入操作

101 阅读1分钟

题目描述

给定二叉搜索树(BST)的根节点 root 和要插入树中的值 value ,将值插入二叉搜索树。 返回插入后二叉搜索树的根节点。 输入数据 保证 ,新值和原始二叉搜索树中的任意节点值都不同。

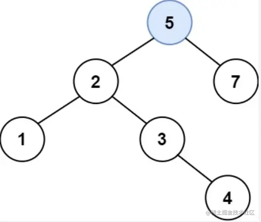
注意,可能存在多种有效的插入方式,只要树在插入后仍保持为二叉搜索树即可。 你可以返回 任意有效的结果 。 示例 1:

image.png

输入: root = [4,2,7,1,3], val = 5
输出: [4,2,7,1,3,5]
解释: 另一个满足题目要求可以通过的树是:

image.png

思路

  1. 虽然有多种插入方式,但我们可以充分利用二叉搜索树的特性,我们在它的叶子节点上做插入操作

代码

    /**
     * Definition for a binary tree node.
     * class TreeNode {
     *     val: number
     *     left: TreeNode | null
     *     right: TreeNode | null
     *     constructor(val?: number, left?: TreeNode | null, right?: TreeNode | null) {
     *         this.val = (val===undefined ? 0 : val)
     *         this.left = (left===undefined ? null : left)
     *         this.right = (right===undefined ? null : right)
     *     }
     * }
     */

    function insertIntoBST(root: TreeNode | null, val: number): TreeNode | null {
        //如果root为空,上一个root便是我们要进行插入操作的root
        if(root==null){
            return new TreeNode(val);
        }

        //根据二叉搜索树的特性进行判断
        // 左
        if(root.val>val){
            root.left=insertIntoBST(root.left,val);
        }
      

        //右
        if(root.val<val){
            root.right=insertIntoBST(root.right,val);
        }
        
        
        // 返回节点
        return root;
    };

image.png

总结

在叶子节点上做插入操作,不会改变二叉搜索树的结构。这样本题便不至于那么复杂。当然本题还有其他的解法。如有错误之处,欢迎大家留言指出,谢谢大家了。 image.png