深度学习入门系列(四):一文看懂波士顿房价预测(BOSTON_HOUSING)

1,750 阅读10分钟

BOSTON_HOUSING

这次我们要解决的问题是预测波士顿的房价。跟之前的问题不同的是,之前的问题我们预测的结果集都是有限的,比如是数字 0 ~ 9 中的哪一个,评论是正面还是负面,新闻是 46 个品类里的哪一个品类。这种结果集有限的问题被称为分类问题。最终需要预测是哪一个分类。但是这次预测波士顿房价的问题不一样,这次需要预测的是房价,结果是一个连续的值。这类问题被称为回归问题

我们使用的数据集是 20 世纪 70 年代的波士顿房价信息数据。数据量比较少,只有 506 个,分为 404 个训练样本,102 个测试样本。与之前的问题不一样的是,输入数据的每个特征的取值范围都不一样。有的是 (0,1),有的是 (0,100),还有的是 (1,12)。

1、数据集

加载数据

from keras.datasets import boston_housing

(train_data,train_targets),(test_data,test_targets) = boston_housing.load_data()
2023-06-10 23:08:26.024462: I tensorflow/core/platform/cpu_feature_guard.cc:193] This TensorFlow binary is optimized with oneAPI Deep Neural Network Library (oneDNN) to use the following CPU instructions in performance-critical operations:  AVX2 FMA
To enable them in other operations, rebuild TensorFlow with the appropriate compiler flags.

我们先看下测试数据的格式

print(train_data.shape)
print(train_data[0])
print(train_targets.shape)
print(train_targets[0])
(404, 13)
[  1.23247   0.        8.14      0.        0.538     6.142    91.7   3.9769    4.      307.       21.      396.9      18.72   ]
(404,)
15.2

可以看到,我们一共有 404 条训练数据,每一条训练数据又有 13 个特征。输出的标签是房屋价格的中位数,单位是:千美元。比如第一条数据的房屋价格就是 15200 美元。从上面的输出里也可以看到,训练数据的特征取值范围差距非常大。这时因为这些特征代表的含义不同,比如人均犯罪率、每个住宅的平均房间数、高速公路可达性等。所以对应的取值范围也完全不同。

2、数据处理

因为训练数据的特征取值范围不同,如果直接输入到神经网络中,学习会变得困难很多,所以需要先对数据进行标准化处理。

标准化的过程很简单,拿一条数据来说。首先对这 13 个特征求平均数,所有特征都减去平均数,再除以这 13 个特征的标准差(方差的算术平方根) 这样就得到了标准化后的特征了。用 Numpy 很容易实现 标准化

mean = train_data.mean(axis = 0)
train_data -= mean

std = train_data.std(axis=0)
train_data /= std

test_data -= mean
test_data /= std


print(train_data.shape)
print(train_data[0])
(404, 13)
[-0.27224633 -0.48361547 -0.43576161 -0.25683275 -0.1652266  -0.1764426  0.81306188  0.1166983  -0.62624905 -0.59517003  1.14850044  0.44807713  0.8252202 ]

标准化后的数据都是介于 (-1,1) 之间的数值了。

3、构建神经网络

由于数据量比较少,所以我们构建了一个 3 层的神经网络,前两层有 64 个神经单元,最后一层要输出一个具体的数值(房价),所以只有一个神经单元。

BOSTON_HOUSING_01.png

from keras import models
from keras import layers

def bulid_model():
    model = models.Sequential()
    model.add(layers.Dense(64,activation='relu',input_shape=(13,)))
    model.add(layers.Dense(64,activation='relu'))
    model.add(layers.Dense(1))

    # 编译网络
    model.compile(optimizer='rmsprop',loss='mse',metrics=['mae'])
    return model

神经网络的最后一层只有一个神经单元,并且没有激活函数,这是标量回归的典型设置。因为设置了激活函数后,就会限制输出的范围。这次我们使用了一个新的损失函数 mse,即均方误差。计算的是预测值和目标值之间误差的平方。这是回归问题常用的损失函数。我们还使用了一个新的监控指标,mae,即平均绝对误差。它是预测值与目标值之差的绝对值。比如,mae= 1.5 说明预测值与目标值差 1.5。因为我们房价的单位是 千美元,也就是说我们预测的房间与实际的房价差 1500 美元。

4、K折交叉验证

因为数据量比少,导致我们的验证集非常小。因此,验证分数会有很大的波动,无法对模型进行可靠的评估。在这种情况下可以使用 K折交叉验证的方法。

这种方法是将数据划分为 K 个分区(通常是 4 或者 5 个)。然后实例化 K 个相同的模型,在 K - 1 个分区上训练,在剩下的一个分区上验证,最后取 K 个模型的验证分数的平均值。

BOSTON_HOUSING_02.png

import numpy as np

def fit():
    k = 4
    # 每个分区的数据个数
    num_val_samples = len(train_data)//k
    # 循环次数
    num_epochs = 100
    # 所有分数的列表
    all_scores = []

    for i in range(k):
        print("开始训练第 {} 个分区".format(i))
        # 准备验证数据
        val_data = train_data[i * num_val_samples: (i + 1) * num_val_samples]
        val_traget = train_targets[i * num_val_samples: (i + 1) * num_val_samples]

        # 准备训练数据,concatenate方法可以合并数组
        partial_train_data = np.concatenate([train_data[0:i * num_val_samples],
                                             train_data[(i + 1) * num_val_samples:]],axis = 0)

        partial_train_target = np.concatenate([train_targets[0:i * num_val_samples],
                                             train_targets[(i + 1) * num_val_samples:]],axis = 0)
        # 构建神经网络
        model = bulid_model()
        # 开始训练 verbose =0 表示不再输出训练期间的日志信息,因为训练轮次太多。
        model.fit(partial_train_data,partial_train_target,epochs=num_epochs,batch_size = 1,verbose=0)
        # 验证数据
        val_mse,val_mae = model.evaluate(val_data,val_traget,verbose=0)
        # mae 是预测值与实际值的差值
        all_scores.append(val_mae)

    print(all_scores)

#fit()

可以看到 4 个分区的平均值在2.0 到 2.7 之间,差距还是有点大。我们修改循环次数到 500 ,并且保存每轮的验证分数。

5、训练网络

# 所有分数的列表
all_scores = []
def fit_02():
    k = 4
    # 每个分区的数据个数
    num_val_samples = len(train_data)//k
    # 循环次数
    num_epochs = 500


    for i in range(k):
        print("开始训练第 {} 个分区".format(i))
        # 准备验证数据
        val_data = train_data[i * num_val_samples: (i + 1) * num_val_samples]
        val_traget = train_targets[i * num_val_samples: (i + 1) * num_val_samples]

        # 准备训练数据,concatenate方法可以合并数组
        partial_train_data = np.concatenate([train_data[0:i * num_val_samples],
                                             train_data[(i + 1) * num_val_samples:]],axis = 0)

        partial_train_target = np.concatenate([train_targets[0:i * num_val_samples],
                                             train_targets[(i + 1) * num_val_samples:]],axis = 0)
        # 构建神经网络
        model = bulid_model()
        # 开始训练 verbose =0 表示不再输出训练期间的日志信息,因为训练轮次太多。
        history = model.fit(partial_train_data,partial_train_target,epochs=num_epochs,batch_size = 1,verbose=0)
        all_scores.append(history.history['mae'])

fit_02()
开始训练第 0 个分区


2023-06-10 23:08:32.170246: I tensorflow/core/platform/cpu_feature_guard.cc:193] This TensorFlow binary is optimized with oneAPI Deep Neural Network Library (oneDNN) to use the following CPU instructions in performance-critical operations:  AVX2 FMA
To enable them in other operations, rebuild TensorFlow with the appropriate compiler flags.


开始训练第 1 个分区
开始训练第 2 个分区
开始训练第 3 个分区

我们需要计算每个折MAE的平均值。 all_scores 是一个 4 行 500 列的二维数组,每一行是 K 折的的验证分数,因为我们训练了 500 次,所以有 500 列。我们需要计算每一次循环时这 4个模型得到的验证分数的平均值,作为模型的验证分数。也就是说,每一列计算一个平均值,作为模型一次循环的验证分数。

# 每一列计算一次平均值。
average_mae_history = [np.mean( [x[i] for x in all_scores ]) for i in range(500)]

我们画图展示一下。

import matplotlib.pyplot as plt

def show(data):
    plt.plot(range(1,len(data)+1),data)
    plt.xlabel('Epochs')
    plt.ylabel('MAE')
    plt.show()

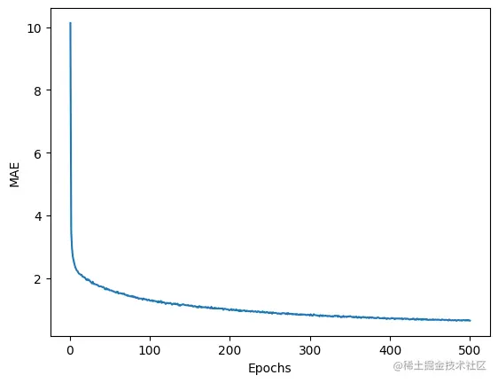
show(average_mae_history)

04_BOSTON_HOUSING_20_0.png

上面的图表示,我们的模型在每一次循环时得到的平均验证分数,一共循环了500次。

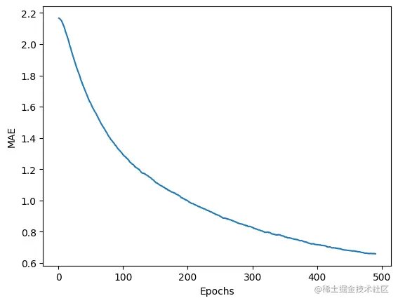
因为纵轴范围较大,很难看清规律,所以我们重新绘制下这张图

  • 删除前 10 个节点。因为他们的取值范围与其他点不同
  • 将数据点替换为前面数据点的指数移动平均值,得到平滑的曲线
def smooth_curve(points, factor=0.9):
    smoothed_points=[]
    for point in points:
        if smoothed_points:
            previous=smoothed_points[-1]
            smoothed_points.append(previous * factor+point * (1- factor))
        else:
              smoothed_points.append(point)
    return smoothed_points


smooth_mae_history=smooth_curve(average_mae_history[10:])
show(smooth_mae_history)

04_BOSTON_HOUSING_23_0.png

可以看到在接近 100 次训练时曲线已经趋于平滑了,我们重新构造模型,并在测试集上测试数据。

6、验证网络

model = bulid_model()
# 开始训练 verbose =0 表示不再输出训练期间的日志信息,因为训练轮次太多。
history = model.fit(train_data,train_targets,epochs=100,batch_size = 16,verbose=0)
test_mse_score,test_mae_socre = model.evaluate(test_data,test_targets)

4/4 [==============================] - 0s 1ms/step - loss: 17.5935 - mae: 2.5256

不出意外的话,你会得到一个 2.5左右的 mae,说明模型预测的结果与实际值相差 2500 美元。这个值每次执行都是不一样的,但是相差不应该很大。

7、神经网络内部到底在做什么

这次接触到的数学概念有点多,我们一点点来。放心,其实就是定义绕口,真正的计算逻辑很简单。

7.1 输出层

由于输入数据的取值范围差距太大,所以我们需要对输入数据进行标准化处理。流程很简单。步骤如下:

  1. 对 train_data[i] 的所有特征求平均值,得到 train_avg。
  2. train_data[i] 的所有特征都减去平均值。即 train_data[i] = train_data[i] - train_avg
  3. 再次对 train_data[i] 求方差。
  4. train_data[i] 的所有特征都除以方差的平方根(标准差)。就得到最终的结果了

train_data 的所有数据都会进行上面的一轮处理,得到最终输入到神经网络的数据。

7.2 隐藏层和输出层

隐藏层是我们之前提到过的 Dense 层。激活函数 relu 之前也说到过,这里不再赘述。而输出层是只有一个神经单元,并且没有设置激活函数,所以输出的数值也是没有限制的。

7.3 损失函数(mse)

损失函数均方误差(mse) 的公式如下:

BOSTON_HOUSING_03.png

因为我们设置的 batch_size 为 1 ,所以 公式中的 n 也等于 1。其实就是计算了下预测值与真实值的差值平方。平方操作时因为有负数。损失函数(mse)的值越小,也就要求我们的预测值与真实值越接近。也就越符合我们的预期。

因为数据量比较小,所以我们的 batch_size 为 1 ,也就是说,我们每训练一条数据,就会计算一次 mse,得到结果后就会进行一次反向传播更新神经单元里的参数。

7.4 监控指标(mae)

监控指标 平均绝对值(mae) 是预测值与目标值差的绝对值。这个指标可以让我们更加准确的知道,我们的预测值与真实值相差多少。

8、K折验证法

首先我们把训练数据 train_data 分成 K = 4 份。然后构建了 4 个相同的模型。然后分别在 4 个模型上进行训练和验证,得到结果后,求平均值。根据结果我们得出,训练 100 个循环后,就会达到比较好的效果,所以我们最后构造了一个新模型。使用完整的训练数据训练模型。并使用测试数据进行测试。整个过程如下图:

BOSTON_HOUSING_04.png

8、总结

神经网络的层:

  • Dense(密集连接层):可以用来处数值类的数据

激活函数:

  • relu: 一般配合 Dense 使用
  • softmax:用于处理多分类问题,最终输出每个分类的概率
  • sigmoid:用于处理二分类问题,最终输出 0 到 1 之间的概率值

损失函数:

  • categorical_crossentropy:用于多分类问题
  • binary_crossentropy:用于二分类问题
  • mse:常用于回归问题

优化器:

  • rmsprop

监控指标:

  • mae:常用于回归问题

经验:

  • 设置神经单元的数量时,一定要超过分类的个数,不然会出现信息瓶颈,在这一层之后的层都无法充分的学习如何区分品类。
  • 如果输入数据的特征取值范围不同,需要先对数据进行标准化处理
  • 如果训练的数据较少,可以使用 K折验证法 评估模型
  • 如果训练的数据较少,最好使用隐藏层较少的的小型网络。