LeetCode算法刷题:链表篇

203 阅读6分钟

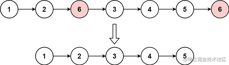
1. 移除链表元素(简单)

给你一个链表的头节点 head 和一个整数 val ,请你删除链表中所有满足 Node.val == val 的节点,并返回 新的头节点 。

示例 1:

输入: head = [1,2,6,3,4,5,6], val = 6
输出: [1,2,3,4,5]

示例 2:

输入: head = [], val = 1
输出: []

示例 3:

输入: head = [7,7,7,7], val = 7
输出: []

思路

使用前哨兵迭代链表

形如以下方式:

let prev = new NodeList(-1, head) // 前哨兵
while (prev.next) { // prev.next即为当前节点
  if (prev.next.val === 7) {
    // ....
  }
  prev = prev.next
}

当前节点即为prev.next,当值满足条件时让前置节点的next指向当前节点的next即可,即prev.next = prev.next.next,否则通过prev = prev.next迭代下一个节点

JS

var removeElements = function(head, val) {
  let ret = new ListNode(-1, head)
  let prev = ret 
  while(prev.next){
    if (prev.next.val === val) {
      prev.next = prev.next.next
      continue
    }
    prev = prev.next
  }
  return ret.next
}

Golang

func removeElements(head *ListNode, val int) *ListNode {
  var ret = &ListNode{-1, head}
  var prev = ret 
  for prev.Next != nil {
    if (prev.Next.Val == val) {
      prev.Next = prev.Next.Next
      continue
    }
    prev = prev.Next
  }
  return ret.Next
}

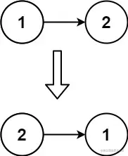
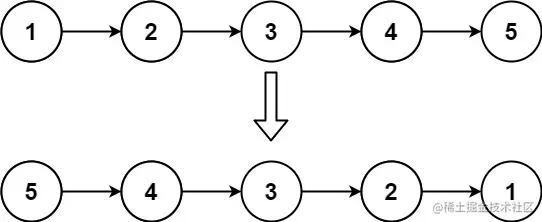
2. 反转链表(简单)

给你单链表的头节点 head ,请你反转链表,并返回反转后的链表。

示例 1:

输入: head = [1,2,3,4,5]
输出: [5,4,3,2,1]

示例 2:

输入: head = [1,2]
输出: [2,1]

示例 3:

输入: head = []
输出: []

思路

  1. 使用双指针,即cur指针和prev指针
  2. 使用,利用先进后出这一特性
  3. 使用递归,递归到最后一个节点时终止,通过cur.next.next = cur改变指向

JS

双指针

var reverseList = function(head) {
  if (!head || !head.next) return head

  let prev = null
  let temp = null
  while (head) {
    temp = head.next
    head.next = prev
    prev = head
    head = temp
  }
  return prev
}

var reverseList = function(head) {
  if (!head || !head.next) return head
  
  let stack = []
  for (let cur = head; cur; cur = cur.next) stack.push(cur) // 入栈

  let ret = stack.pop()
  let cur = ret 
  while(stack.length) { // 出栈
    cur.next = stack.pop()
    cur = cur.next
  }
  cur.next = null
  return ret
}

递归

var reverseList = function(head) {
  if (!head || !head.next) return head
  
  let h = reverseList(head.next)
  head.next.next = head
  head.next = null
  return h
}

Golang

双指针

func reverseList(head *ListNode) *ListNode {
  if (head == nil || head.Next == nil) {
    return head
  }

  var prev *ListNode
  var temp *ListNode
  
  for head != nil {
    temp = head.Next
    head.Next = prev
    prev = head
    head = temp
  }
  return prev
}

// todo

递归

func reverseList(head *ListNode) *ListNode {
  if (head == nil || head.Next == nil) {
    return head
  }

  var h = reverseList(head.Next)
  head.Next.Next = head
  head.Next = nil
  return h
}

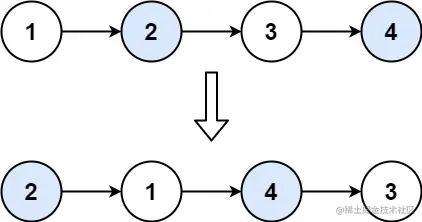
3. 两两交换链表中的节点(中等)

给你一个链表,两两交换其中相邻的节点,并返回交换后链表的头节点。你必须在不修改节点内部的值的情况下完成本题(即,只能进行节点交换)。

示例 1:

输入: head = [1,2,3,4]
输出: [2,1,4,3]

示例 2:

输入: head = []
输出: []

示例 3:

输入: head = [1]
输出: [1]

思路

使用 前哨兵三指针

分别保存第一个节点、第二个节点、第三个节点,然后指定前哨兵的 next 为第二个节点, next.next 为第一个节点, next.next.next 为第三个节点,以此类推迭代下去,直至当前节点无下一个节点或下下一个节点

JS

var swapPairs = function(head) {
  let ret = cur = new ListNode(-1, head)
  
  while (cur.next && cur.next.next) {
    let temp1 = cur.next
    let temp2 = cur.next.next
    let temp3 = cur.next.next.next
    cur.next = temp2
    cur.next.next = temp1
    cur.next.next.next = temp3
    cur = cur.next.next
  }
  return ret.next
}

Golang

func swapPairs(head *ListNode) *ListNode {
  cur := &ListNode{-1, head}
  ret := cur
  for cur.Next != nil && cur.Next.Next != nil {
    temp1 := cur.Next
    temp2 := cur.Next.Next
    temp3 := cur.Next.Next.Next
    cur.Next = temp2
    cur.Next.Next = temp1
    cur.Next.Next.Next = temp3
    cur = cur.Next.Next
  }
  return ret.Next
}

4. 删除链表的倒数第 N 个结点(中等)

给你一个链表,删除链表的倒数第 n 个结点,并且返回链表的头结点。

示例 1:

输入: head = [1,2,3,4,5], n = 2
输出: [1,2,3,5]

示例 2:

输入: head = [1], n = 1
输出: []

示例 3:

输入: head = [1,2], n = 1
输出: [1]

思路

使用 前哨兵快慢指针

先让 快指针n 步, 然后快慢针同时走,直至快指针到终点时终止,此时 慢指针 所处位置即为待删除节点的 前置节点

JS

var removeNthFromEnd = function(head, n) {
  let ret = new ListNode(-1, head)
  let f = ret
  let s = ret

  while (n--) f = f.next
  while (f.next) {
    s = s.next
    f = f.next
  }
  s.next = s.next.next
  return ret.next
}

Golang

func removeNthFromEnd(head *ListNode, n int) *ListNode {
  ret := &ListNode{-1, head}
  s, f := ret, ret
  for n != 0 {
    f = f.Next
    n--
  }
  for f.Next != nil {
    f = f.Next
    s = s.Next
  }
  s.Next = s.Next.Next
  return ret.Next
}

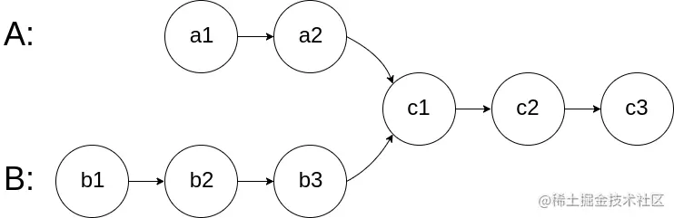
5. 链表相交(简单)

给你两个单链表的头节点 headA 和 headB ,请你找出并返回两个单链表相交的起始节点。如果两个链表没有交点,返回 null 。

图示两个链表在节点 c1 开始相交:

题目数据 保证 整个链式结构中不存在环。

注意,函数返回结果后,链表必须 保持其原始结构 。

 

示例 1:

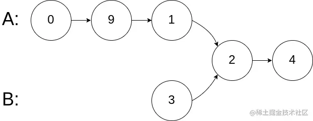
输入: intersectVal = 8, listA = [4,1,8,4,5], listB = [5,0,1,8,4,5], skipA = 2, skipB = 3
输出: Intersected at '8'
解释: 相交节点的值为 8 (注意,如果两个链表相交则不能为 0)。
从各自的表头开始算起,链表 A 为 [4,1,8,4,5],链表 B 为 [5,0,1,8,4,5]。
在 A 中,相交节点前有 2 个节点;在 B 中,相交节点前有 3 个节点。

示例 2:

输入: intersectVal = 2, listA = [0,9,1,2,4], listB = [3,2,4], skipA = 3, skipB = 1
输出: Intersected at '2'
解释: 相交节点的值为 2 (注意,如果两个链表相交则不能为 0)。
从各自的表头开始算起,链表 A 为 [0,9,1,2,4],链表 B 为 [3,2,4]。
在 A 中,相交节点前有 3 个节点;在 B 中,相交节点前有 1 个节点。

示例 3:

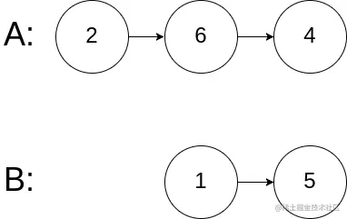
输入: intersectVal = 0, listA = [2,6,4], listB = [1,5], skipA = 3, skipB = 2
输出: null
解释: 从各自的表头开始算起,链表 A 为 [2,6,4],链表 B 为 [1,5]。
由于这两个链表不相交,所以 intersectVal 必须为 0,而 skipA 和 skipB 可以是任意值。
这两个链表不相交,因此返回 null

思路

  1. 使用 双指针,计算两个链表长度,让长的先走完多出的节点,然后两个节点同时走,如相交则会有共同的节点
  2. 使用 set 记录A链表的所有节点,然后迭代B链表,看是否有相同节点

JS

双指针

var getIntersectionNode = function (headA, headB) {
  let step = 0
  let curA = headA
  let curB = headB
  for (; curA; step++) curA = curA.next
  for (; curB; step--) curB = curB.next

  curA = step > 0 ? headA : headB
  curB = step > 0 ? headB : headA
  step = Math.abs(step)
  while (step--) curA = curA.next
  for (; curA; curA = curA.next, curB = curB.next) {
    if (curA === curB) return curA
  }
    
  return null
}

set

var getIntersectionNode = function(headA, headB) {
  let set = new Set()
  while(headA) {
    set.add(headA)
    headA = headA.next
  }
  while(headB){
    if(set.has(headB)) return headB
    headB = headB.next
  }
  return null
}

Golang

func getIntersectionNode(headA, headB *ListNode) *ListNode {
  var curA, curB, step = headA, headB, 0
  for curA != nil {
    curA = curA.Next
    step++
  }  
  for curB != nil {
    curB = curB.Next
    step--
  }
  curA, curB = headA, headB
  for step > 0 {
    curA = curA.Next
    step--
  }
  for step < 0 {
    curB = curB.Next
    step++
  }
  for curA != curB {
    curA = curA.Next
    curB = curB.Next
  }
  return curA
}

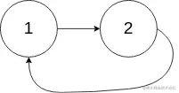
6. 环形链表 II(困难)

给定一个链表的头节点  head ,返回链表开始入环的第一个节点。 如果链表无环,则返回 null

如果链表中有某个节点,可以通过连续跟踪 next 指针再次到达,则链表中存在环。 为了表示给定链表中的环,评测系统内部使用整数 pos 来表示链表尾连接到链表中的位置(索引从 0 开始)。如果 pos 是 -1,则在该链表中没有环。注意:pos 不作为参数进行传递,仅仅是为了标识链表的实际情况。

不允许修改 链表。

示例 1:

输入: head = [3,2,0,-4], pos = 1
输出: 返回索引为 1 的链表节点
解释: 链表中有一个环,其尾部连接到第二个节点。

示例 2:

输入: head = [1,2], pos = 0
输出: 返回索引为 0 的链表节点
解释: 链表中有一个环,其尾部连接到第一个节点。

示例 3:

输入: head = [1], pos = -1
输出: 返回 null
解释: 链表中没有环。

思路

  1. 使用 快慢指针

首先,快指针 f 每次走两步,慢指针 s 每次走一步,当二者相遇时,s 回到原点(若不相遇的话,则证明没有环)

之后, fs 每次都走一步,直到两者相遇时,此时相遇点即为入环节点

证明如下:设头节点到入环点长度为 x,环长度为 y+zysf 的第一次相遇点

第一次相遇时:s = x+y , f = x+y+n(y+z) => x+y+n(y+z) = 2x+2y => x+y = n(y+z) => x = n(y+z)-y

f 再走 x 步时:f = x+y+n(y+z) + x = x+2n(y+z) ,此时正好停留在入环点

  1. 使用 set

迭代链表的同时记录已访问过的节点,若有环的话,那么必定会再次访问入环点

JS

var detectCycle = function (head) {
  if (!head || !head.next || !head.next.next) return null
  
  let f = s = head
  while (f.next && f.next.next) {
    f= f.next.next
    s = s.next
    if (s == f) {
      s = head
      while (s != f) {
        s = s.next
        f = f.next
      }
      return s
    }
  }
  return null
}

Golang

func detectCycle(head *ListNode) *ListNode {
  if head == nil || head.Next == nil || head.Next.Next == nil {
     return nil
  }

  f, s := head, head
  for f.Next != nil && f.Next.Next != nil {
    f = f.Next.Next
    s = s.Next
    if s == f {
      s = head
      for s != f {
        s = s.Next
        f = f.Next
      }
      return s
    }
  }
  return nil
}