删除链表的倒数第n个结点

85 阅读1分钟

题目

给你一个链表,删除链表的倒数第 n 个结点,并且返回链表的头结点。

进阶:你能尝试使用一趟扫描实现吗?

示例 1:

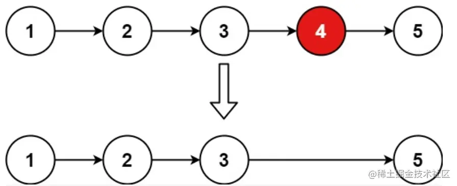
19.删除链表的倒数第N个节点

输入:head = [1,2,3,4,5], n = 2 输出:[1,2,3,5] 示例 2:

输入:head = [1], n = 1 输出:[] 示例 3:

输入:head = [1,2], n = 1 输出:[1]

来源

力扣题目链接 代码随想录: 链表

class ListNode {
    constructor(val, next) {
        this.val = (val === undefined ? 0 : val)
        this.next = (next === null ? null : next)
    }
}
​
function removeNthFromEnd(head, n) {
    //定义虚拟头结点
    let dummyHead = new ListNode(0, head)
    //定义一个快慢指针 fast,slow,初始值为dummy
    let slow = dummyHead
    let fast = dummyHead
    //fast 首先走n+1步,为啥?因为只有这样同时移动的时候slow才能指向删除结点的上一个结点(方便删除操作)
    while (n--) {
        //虚拟头结点前进N个结点时,fastNode.next可推断不为空
        fast = fast.next
    }
    //slow和fast同时再走,此时fast走到末尾, 正好完全,slow走好走到要删除节点的前面, slow的下一个节点就要删除的节点
    //遍历直至fastNode.next = null, 即尾部节点。 此时slowNode指向倒数第n个节点。
    while (fast.next !== null) {
        fast = fast.next
        slow = slow.next
    }
    //开始删除结点
    slow.next = slow.next.next;
    //fast和slow同时移动,直到fast移动到链表的末尾
    //删除slow下一个节点
    return dummyHead.next;
}