十四-iOS签名机制

158 阅读16分钟

一 加密解密
二 单项散列函数
三 数字签名
四 证书
五 iOS签名机制
一 加密解密

加密是将明文信息改变为难以读取的密文内容,使之不可读的过程。解密是通过特殊的对象,将密文还原为正常可读的内容的过程。而在这个过程中,我们所使用的方法,就是加密解密算法。 加解密示例图 说到加解密算法的时候,不得不提一个重要的概念「对称与非对称」。什么是对称加密算法?什么是非对称加密算法?简单的说,对称加密就是加密和解密使用的都是同一套密钥;反之,如果加密和解密使用的不是同一个密钥,即为非对称加密算法,也称公开密钥加密,广泛用于信息传输。

1.1对称加密算法

加密和解密时使用的是同一个密钥

对称加密 常见的对称密码算法有: DES:Data Encryption Standard)是最常见的对称密码算法,DES是一种将64bit明文加密成64bit密文的对称密码算法,密钥长度是56bit 规格上来说,密钥长度是64bit,但每隔7bit会设置一个用于错误检查的bit,因此密钥长度实质上是56bit 由于DES每次只能加密64bit的数据,遇到比较大的数据,需要对DES加密进行迭代(反复) 目前已经可以在短时间内被破解,所以不建议使用 3DES:3DES,将DES重复3次所得到的一种密码算法,也叫做3重DES 目前还被一些银行等机构使用,但处理速度不高,安全性逐渐暴露出问题 AES:取代DES成为新标准的一种对称密码算法 AES的密钥长度有128、192、256bit三种 在2000年时选择Rijindael算法作为AES的实现 目前AES,已经逐步取代DES、3DES,成为首选的对称密码算法

一般来说,我们也不应该去使用任何自制的密码算法,而是应该使用AES,它经过了全世界密码学家所进行的高品质验证工作 ,对称加密虽然加解密速度快但是通过它的原理我们可知,它一定有一个密钥配送问题,如果你不把你的密钥给别人,别人用什么加密消息呢。 为了便于学习,我们设计4个虚拟人物 Alice、Bob:互相通信 Eve:窃听者 Mallory:主动攻击者 这里假设,Alice将使用对称密码加密过的消息发给了Bob 只有将密钥发送给Bob,Bob才能完成解密 在发送密钥过程中,可能会被Eve窃取密钥,最后Eve也能完成解密,这就很不安全了。那么如何解决这个问题呢,那么下面我们就该非对称加密上场了

1.2 非对称加密

公钥密码中,密钥分为加密密钥、解密密钥2种,它们并不是同一个密钥 公钥密码也被称为非对称密码(Asymmetric Cryptography) 在公钥密码中 加密密钥,一般是公开的,因此该密钥称为公钥(public key) 解密密钥,由消息接收者自己保管的,不能公开,因此也称为私钥(private key) 公钥和私钥是一 一对应的,是不能单独生成的,一对公钥和密钥统称为密钥对(key pair)

  • 由公钥加密的密文,必须使用与该公钥对应的私钥才能解密
  • 由私钥加密的密文,必须使用与该私钥对应的公钥才能解密

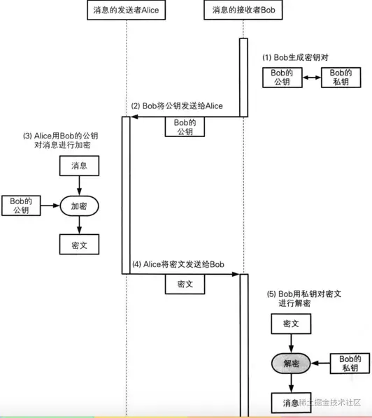
那么我们来看一下公钥密码是如何来解决密码配送问题的 公钥密码发送信息 1 Bob生成一个公钥一个密钥 2 Bob将公钥发送给Alice,密钥自己保存 3 Alice用Bob的公钥对消息加密 4 Alice将加密的消息发送给Bob 5 Bob用自己的私钥解密消息。 这其中如果有第三者窃听,只有第2步和第4步能够监听数据,由于Bob公钥是公开的谁都可以获取,那么第二步也不用担心被谁获取,第4步如果数据被第三者截获,那么他看到的也是加密后的数据,由于他没有Bob的私钥,那么他也无法知道消息的真实内容。而且他即使篡改密文消息也无任何意义。

虽然非对称加密解决了密钥配送问题,但是它的加解密速度较慢,下面我们总结一下对称和非对称加密的优缺点:

加解密算法优点缺点
对称加密加密解密速度比较快不能很好地解决密钥配送问题
非对称加密加密解密速度比较慢能很好地解决密钥配送问题
无论对称还是非对称加密看起来都不是那么完美,那么有没有一种,又快又安全的加密方案呢。呵呵 ,有的,直接把对称和非对称优点结合一块不就行了么
1.3 混合密码系统

混合密码系统,是将对称密码和公钥密码的优势相结合的方法 1 它解决了公钥密码速度慢的问题 2 并通过公钥密码解决了对称密码的密钥配送问题

网络上的密码通信所用的SSL/TLS都运用了混合密码系统

1.3.1 混合密码-加密

加密

会话密钥(session key)

为本次通信随机生成的临时密钥 作为对称密码的密钥,用于加密消息,提高速度

加密步骤(发送消息)

首先,消息发送者要拥有消息接收者的公钥 生成会话密钥,作为对称密码的密钥,加密消息 用消息接收者的公钥,加密会话密钥 将前2步生成的加密结果,一并发给消息接收者

发送出去的内容包括

用会话密钥加密的消息(加密方法:对称密码) 用公钥加密的会话密钥(加密方法:公钥密码)

1.3.2 混合密码-解密

解密

解密步骤(收到消息)

1 消息接收者用自己的私钥解密出会话密钥 2 再用第1步解密出来的会话密钥,解密消息

总结流程: Alice >>>>> Bob 发送过程,加密过程 1.Bob先生成一对公钥、私钥 2.Bob把公钥共享给Alice 3.Alice随机生成一个会话密钥(临时密钥) 4.Alice用会话密钥加密需要发送的消息(使用的是对称密码加密) 5.Alice用Bob的公钥加密会话密钥(使用的是公钥密码加密,也就是非对称密码加密) 6.Alice把第4、5步的加密结果,一并发送给Bob

接收过程,解密过程 1.Bob利用自己的私钥解密会话密钥(使用的是公钥密码解密,也就是非对称密码解密) 2.Bob利用会话密钥解密发送过来的消息(使用的是对称密码解密)

上面的加密算法解决了数据传输的安全问题,那么数据的完整性是没法验证的,就是我这个数据有没有被改过,因为公钥大家都能获取,如果有中间人拦截了消息,并改动了内容。那么我们如何验证这个消息有没有变动呢,那么就牵扯到下面这项技术了。

二 单项散列函数

单向散列函数,又称单向Hash函数、杂凑函数,就是把任意长的输入消息串变化成固定长的输出串且由输出串难以得到输入串的一种函数。这个输出串称为该消息的散列值。一般用于产生消息摘要密钥加密等

2.1 单项散列函数的特点

  • 根据任意长度的消息,计算出固定长度的散列值
  • 计算速度快,能快速计算出散列值
  • 消息不同,散列值也不同
  • 具备单向性

单向散列函数,又被称为消息摘要函数(message digest function),哈希函数输出的散列值,也被称为消息摘要(message digest)、指纹(fingerprint)

2.2 常见的几种单项散列函数

MD4、MD5 产生128bit的散列值,MD就是Message Digest的缩写,目前已经不安全 Mac终端上默认可以使用md5命令

SHA-1 产生160bit的散列值,目前已经不安全

SHA-2 SHA-256、SHA-384、SHA-512,散列值长度分别是256bit、384bit、512bit

SHA-3 全新标准

2.3 单项散列函数如何防篡改的

不同的数据生成的散列值是不一样的,只要你对一个文件改动过,那么它的散列值就会发生变化,要想确定我们的数据有没有发生变化,只要对比两次散列值相不相同就可以了,我们常常做的登录功能,在保存用户密码的时候就采用单项散列函数生成的值来进行保存,防止第三方人员串改密码。

数据防篡改的技术我们知道了,在数据传输的过程中,我们对数据生成一个散列值,和发送的数据一并发给接收者,当接收者收到这个数据的时候,它拿接收到的数据重新生成散列值,然后跟接收到的散列值进行比较,就可以判断这个数据有没有被人改过。

到此我们通过混合密码技术解决的传输数据的保密性,通过单项散列函数确定数据的一致性,但是还是没有解决中间人截获篡改的问题,因为散列函数中间人也可以重新生成一次,接下来我们就要讲数字签名了,他可以对消息发送者的真实性进行认证。

三 数字签名

数字签名(又称公钥数字签名)是只有信息的发送者才能产生的别人无法伪造的一段数字串,这段数字串同时也是对信息的发送者发送信息真实性的一个有效证明。它是一种类似写在纸上的普通的物理签名,但是使用了公钥加密领域的技术来实现的,用于鉴别数字信息的方法。一套数字签名通常定义两种互补的运算,一个用于签名,另一个用于验证。数字签名是非对称密钥加密技术数字摘要技术的应用 说白了就是用用消息发送者的私钥进行签名就是数字签名 在数字签名中,任何人都可以使用公钥验证签名 在数字签名技术中,有以下2种行为 生成签名 由消息的发送者完成,通过“签名密钥”生成

验证签名 由消息的接收者完成,通过“验证密钥”验证

数字签名由于是消息发送者的私钥进行签名,消息发送者的私钥只有他自己拥有,别人是没有的,从而我们通过私钥进行签名,别人通过消息发送者的公钥就能确定消息发送者的真实身份。 接下来我们看一下数字签名和公钥密码的对比

私钥公钥
公钥密码接收者解密时使用发送者加密是使用
数字签名签名者生成签名时使用验证着验证签名时使用
谁持有密钥个人持有只要有需要,任何人都可以持有
数字签名的过程
上图Alice将要发送的消息用自己的私钥加密,发送给Bob,Bob用Alice的公钥解密消息,这里其实有一个不好的点,就是如果Alice如果发送的消息比较大,比如发1GB的视频文件,那这个签名过程就太慢了,本身非对称加密的速度就是比较慢的,下面我们来看一个改进版的。
这里我们将要发送的消息先生成固定大小的散列值,然后再签名,这样签名文件就小的多了,然后我们将消息和签名一同发送该Bob,然后Bob再用公钥解密 对比等。下面有关数字签名的一些点进行一下说明:
1 如果有人篡改了文件内容或者签名内容,会是什么结果?
结果是:签名验证失败,证明内容会篡改

2 数字签名不能保证机密性? 数字签名的作用不是为了保证机密性,仅仅是为了能够识别内容有没有被篡改

3 数字签名的作用

  • 确认消息的完整性
  • 识别消息是否被篡改
  • 防止消息发送人否认

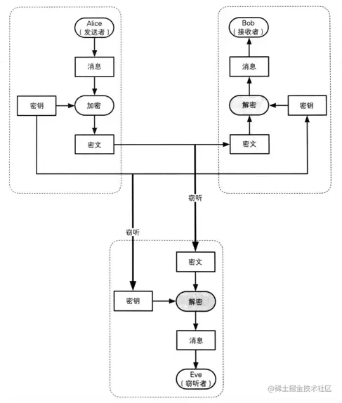
数字签名是能确定消息发送者,前提是你要确定你获取的公钥是确定是消息发送者的,如果你拿到的公钥是中间人伪造的,那么你就无法验证消息发送者的真实性了,就如下图:

A问B要公钥,M从监听到了中间,B给A发的公钥被M拦截了并保存,M把他自己的公钥给了A,A以为这个公钥是B的,A用公钥加密发消息给B,M拦截然后用自己的私钥解密,修改消息内容后,然后用保存的公钥加密把消息发送给B,B解密消息。A,和B都以为是正常通信的,但消息确实不是那个消息了,那么如何确定公钥合法,也就是如何确定这个公钥就是B的呢,接下来就是我们要讲的证书了,我们引入一个第三方权威机构来认正,说这个公钥就是B的。接下来我们来看一下。

四 证书

CA是证书的签发机构,它是公钥基础设施(Public Key Infrastructure,PKI)的核心。CA是负责签发证书、认证证书、管理已颁发证书的机关。

CA 拥有一个证书(内含公钥私钥)。网上的公众用户通过验证 CA 的签字从而信任 CA ,任何人都可以得到 CA 的证书(含公钥),用以验证它所签发的证书,密码学中的证书,全称叫公钥证书(Public-key Certificate,PKC),跟驾驶证类似 里面有姓名、邮箱等个人信息,以及此人的公钥 并由认证机构(Certificate Authority,CA)施加数字签名 简化版 图已经表示的很清楚了,消息发送者先向CA机构 注册自己的证书,那么任何拿到消息发送者的公钥都可以向CA进行验证公钥的真实性。OK IOS签名的一些前置理论我们都讲完了,接下来我们就开始讲iOS的具体签名机制了。

五 iOS签名机制

首先我们要知道iOS签名机制的作用是什么? 保证安装到用户手机上的APP都是经过Apple官方允许的

不管是真机调试,还是发布APP,开发者都需要经过一系列复杂的步骤: 1 生成CertificateSigningRequest.certSigningRequest文件 2 获得ios_development.cer\ios_distribution.cer证书文件 3 注册device、添加App ID 4 获得.mobileprovision文件

对于真机调试,现在的Xcode已经自动帮开发者做了以上操作

我们思考一下它每一步的作用是什么? .certSigningRequest、.cer、.mobileprovision文件究竟里面包含了什么?有何用处?

5.1 iOS签名流程

我们着重对这张流程图讲解一下: 1 我们在自己的电脑上生成一对公钥和私钥,操作就是我们通过钥匙串去生成CertificateSigningRequest.certSigningRequest文件 2 用我们mac上的私钥对App进行签名。 3 把我们的公钥文件上传到Apple后台 4 apple后台用它的私钥对我们的公钥进行签名 5 让我们选这设备列表 appid 权限等 6 再次对我们选着的这几项以及第四步生成的签名,再用Apple后台的私钥进行签名,生成描述文件mobileprovision 7 当我们app安装到手机或运行的时候,首先我们的手机都内置了Apple后台的公钥 8 首先那手机里的Apple后台公钥验证mobileprovision文件,完事后会拿到第六步的几个信息,接着再用apple公钥验证第四步的信息,这步验证完成它就那到了我们开发时电脑上的公钥 9 用Mac公钥对App进行签名验证。

OK这就是app签名的整个流程,下面我们肯定有疑问,他为什么要搞得这个么多步骤,感觉很复杂繁琐。 为什么搞得这个复杂,总之一句话就是:一切为了安全,为了安全的一切,下面我们假设他们这么多步骤中中间能不能省略,直接简化掉。 1 我用Mac上的私钥对app进行签名了,而且我Mac的私钥又不会给别人,应该算是很安全吧,那为什么还要到Apple后台再搞一次签名呢? 这个很简单,你用mac上的私钥签名了,那么app安装到手机上后,我怎么拿到你Mac上的公钥呢,没有公钥我怎么进行校验呢。 2 我直接用Apple后台的私钥进行签名不就行了,这回apple后台的公钥已经内置到手机上了,就不用担心公钥获取不到了吧? 但是这有个问题,你要用apple后台的是要进行签名,是不是需要你把app上传到apple后台呢,如果你是在开发阶段,总不能每次运行,都要上传一次吧,那这效率也太低了。

不过如果你不是在开发,而是将App打包发布到appstore的时候,他确实会省略一些步骤,如果APP是从AppStore下载安装的,你会发现里面是没有mobileprovision文件的 它的验证流程会简单很多,大概如下所示:

下面我们讲一下几个证书的具体作用是什么

1 生成Mac设备的公私钥

CertificateSigningRequest.certSigningRequest文件 就是Mac设备的公钥

2 获得证书

ios_development.cer、ios_distribution.cer文件 利用Apple后台的私钥,对Mac设备的公钥进行签名后的证书文件

3 生成mobileprovision

接下来我们总结下这几个文件的作用 证书作用 最后我们看一个流程图ios 是如何校验app的合法性的

最后总结下:iOS打包发布是要做那么多步骤,生成那么多文件,最终的目的就是要保存App的合法性,要想理解他每个步骤为什么要这么做,你就必须要理解上面几节的内容,到此IOS的签名机制我就讲完了。