【蓝桥杯历年真题合集】蓝桥杯2019初赛

88 阅读5分钟

✅🎡个人主页:程序猿追

✅🎡系列专栏:算法合集

✅🎡目前状态:创建Java学习之路(零基础到就业实战)系列,目前更新到JAVAWEB开发

✅🎡作者简介:大家好,我是程序猿追,全栈领域新星创作者,算法爱好者,常在作者周榜排名前30,某不知名的 ACMer

✅🎡推荐一款刷题面试找工作三不误的网站——牛客网

✅🎡个人名言:不积跬步无以至千里,趁年轻,使劲拼,给未来的自己一个交代!

 数列求值

给定数列1, 1, 1, 3, 5, 9, 17, …,从第4 项开始,每项都是前3 项的和。求
第20190324 项的最后4 位数字。

#include <iostream>

using namespace std;

int main()
{
    int a = 5, b = 9, c = 17, t;
  
    for(int i = 8; i <= 20190324; i ++)
    {
        t = (a + b + c) % 10000;
        a = b;
        b = c;
        c = t;
    }
    cout << t << endl;
    return 0;
}

 迷宫

下图给出了一个迷宫的平面图,其中标记为 11 的为障碍,标记为 00 的为可以通行的地方。

010000
000100
001001
110000

迷宫的入口为左上角,出口为右下角,在迷宫中,只能从一个位置走到这 个它的上、下、左、右四个方向之一。

对于上面的迷宫,从入口开始,可以按 DRRURRDDDR 的顺序通过迷宫, 一共 10 步。其中 D、U、L、R 分别表示向下、向上、向左、向右走。 对于下面这个更复杂的迷宫(3030 行 5050 列),请找出一种通过迷宫的方式,其使用的步数最少,在步数最少的前提下,请找出字典序最小的一个作为答案。

请注意在字典序中 D<L<R<U。

01010101001011001001010110010110100100001000101010
00001000100000101010010000100000001001100110100101
01111011010010001000001101001011100011000000010000
01000000001010100011010000101000001010101011001011
00011111000000101000010010100010100000101100000000
11001000110101000010101100011010011010101011110111
00011011010101001001001010000001000101001110000000
10100000101000100110101010111110011000010000111010
00111000001010100001100010000001000101001100001001
11000110100001110010001001010101010101010001101000
00010000100100000101001010101110100010101010000101
11100100101001001000010000010101010100100100010100
00000010000000101011001111010001100000101010100011
10101010011100001000011000010110011110110100001000
10101010100001101010100101000010100000111011101001
10000000101100010000101100101101001011100000000100
10101001000000010100100001000100000100011110101001
00101001010101101001010100011010101101110000110101
11001010000100001100000010100101000001000111000010
00001000110000110101101000000100101001001000011101
10100101000101000000001110110010110101101010100001
00101000010000110101010000100010001001000100010101
10100001000110010001000010101001010101011111010010
00000100101000000110010100101001000001000000000010
11010000001001110111001001000011101001011011101000
00000110100010001000100000001000011101000000110011
10101000101000100010001111100010101001010000001000
10000010100101001010110000000100101010001011101000
00111100001000010000000110111000000001000000001011
10000001100111010111010001000110111010101101111000

运行限制

  • 最大运行时间:1s
  • 最大运行内存: 256M
#include <bits/stdc++.h>

#define INF 0x3f3f3f3f

using namespace std;
typedef long long LL;

const char d[4]= {'D','L','R','U'};
const int dr[4]= {1,0,0,-1};
const int dc[4]= {0,-1,1,0};
string mapp[32];
int sum=0;

struct node {
    int x,y;
    string ans;
    node (int x=0, int y=0, string ans=""):x(x),y(y),ans(ans) {
    }
};

queue<node> q;

void bfs() {
    node u(0,0,"");
    mapp[0][0]='1';
    q.push(u);
    while(!q.empty()) {
        node u=q.front();
        q.pop();
        if(u.x==29 && u.y==49) {
            //cout<<sum<<endl;
            cout<<u.ans;
            break;
        }        
        for(int i=0; i<4; i++) {
            int newx = u.x + dr[i],newy = u.y + dc[i];
            if(newx<0 || newx>=30 || newy<0 || newy>=50 || mapp[newx][newy]=='1') continue;
            mapp[newx][newy]='1';//标记
            node v(newx, newy, u.ans+d[i]);
            q.push(v); 
        }
    }
}

int main() {
    for(int i=0; i<30; i++)
    cin>>mapp[i];
    bfs();
    return 0;
}

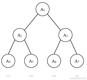
完全二叉树的权值

给定一棵包含N 个节点的完全二叉树,树上每个节点都有一个权值,按从
上到下、从左到右的顺序依次是A1, A2, AN,如下图所示:



现在小明要把相同深度的节点的权值加在一起,他想知道哪个深度的节点
权值之和最大?如果有多个深度的权值和同为最大,请你输出其中最小的深度。
注:根的深度是1。

输入格式

第一行包含一个整数N。
第二行包含N 个整数A1, A2, AN
对于所有评测用例,1<=N<=100000, -100000<=Ai<=100000。

输出格式

输出一个整数代表答案。

输入样例

7
1 6 5 4 3 2 1

输出样例

2
#include<bits/stdc++.h>
using namespace std;

int sum[10008] = {0};

int main()
{
    int n;
    int w;
    int ans;
    int maxn = 0;
    cin >> n;
    for(int i = 1; i <= n; i++)
    {
        cin >> w;
        int d = ceil(log(i+1)/log(2));
        sum[d] += w;
    }
    
    for(int i = 1; i < 10008; i++)
    {
        if(sum[i] > maxn)
        {
            maxn = sum[i];
            ans = i;
        }
    }
    cout << ans;
    return 0;
}

 组队

作为篮球队教练,你需要从以下名单中选出 11 号位至 55 号位各一名球员,组成球队的首发阵容。

每位球员担任 11 号位至 55 号位时的评分如下表所示。请你计算首发阵容 11 号位至 55 号位的评分之和最大可能是多少?

运行限制

  • 最大运行时间:1s
  • 最大运行内存: 128M
#include <iostream>
using namespace std;
int main()
{
  cout<<98+99+98+98+97;//人脑神经计算法
  return 0;
}

年号字串

小明用字母A 对应数字1,B 对应2,以此类推,用Z 对应26。对于27以上的数字
小明用两位或更长位的字符串来对应,例如AA 对应27,AB 对应28,AZ 对应52,LQ 对应329。
请问2019 对应的字符串是什么?

#include<bits/stdc++.h>
using namespace std;

int sum[10008] = {0};

int main()
{
    printf("BYQ")
    return 0;
}

数的分解

把2019分解成3个各不相同的正整数之和,并且要求每个正整数都不包含数字2和4,一共有多少种不同的分解方法?
注意交换3个整数的顺序被视为同一种方法,例如1000+1001+18 和1001+1000+18 被视为同一种。

#include <iostream>
#include <string>
using namespace std;
int main(void)
{
  int sum=0,i,j,k;
  for(i=1;i<673;i++)
  {
    for(j=i+1;j<2019;j++)
    {
      k=2019-i-j;
      string a=to_string(i);
      string b=to_string(j);
      string c=to_string(k);
      if(a.find("2")==-1&&a.find("4")==-1&&b.find("2")==-1&&b.find("4")==-1&&c.find("2")==-1&&c.find("4")==-1)
        if(j<k)
          sum++;
    }
  }
  cout<<sum;
  return 0;
}

特别数的和

小明对数位中含有2、0、1、9 的数字很感兴趣(不包括前导0)
在1到40中这样的数包括1、2、9、10 至32、39 和40,共28 个,他们的和是574。
请问,在1到n 中,所有这样的数的和是多少?

输入格式

输入一个正整数n(1<=n<=10000)

输出格式

输出一行,包含一个整数,表示满足条件的数的和。

输入样例

40
#include <iostream>

using namespace std;

bool check(int n)
{
    while(n)
    {
        int s = n % 10;
        n /= 10;
        if(s == 1 || s == 2 || s == 9 || s == 0)
        {
            return true;
            break;
        }
    }
    return false;
}
int main()
{
    int m,sum = 0;
    cin >> m;
    
    for(int i = 1 ; i <= m ;i++)
    {
        if(check(i)) sum += i;
    }
    
    cout << sum;
    
    return 0;
}

  等差数列

数学老师给小明出了一道等差数列求和的题目。但是粗心的小明忘记了一部分的数列,只记得其中N 个整数。
现在给出这N 个整数,小明想知道包含这N 个整数的最短的等差数列有几项?

输入格式

输入的第一行包含一个整数N。
第二行包含N 个整数A1.A2,..., AN。(注意A1<=AN 并不一定是按等差数列中的顺序给出)
2<=N<=100000,0<=Ai<=10^9

输出格式

输出一个整数表示答案。

输入样例

5
2 6 4 10 20

输出样例

10

数据范围与提示

包含2、6、4、10、20 的最短的等差数列是2、4、6、8、10、12、14、16、18、20。

#include <iostream>
#include <bits/stdc++.h>
 
using namespace std;
 
typedef long long ll;
 
const int N = 1e5 + 10;
int a[N];
 
int gcd(int a, int b)
{
    return b ? gcd(b, a % b) : a;
}
 
int main()
{
    int n, d = 0;
    scanf("%d",&n);
     
    for(int i = 0; i < n; i ++) scanf("%d",&a[i]);
     
    sort(a, a + n);
     
    for(int i = 0; i < n; i ++) d = gcd(d, a[i] - a[0]);
     
    if(!d) printf("%d",n);
    else printf("%d",(a[n - 1] - a[0]) / d + 1);
     
    return 0;
}
 

 后缀表达式

给定N 个加号、M 个减号以及N + M + 1 个整数A1,A2,...,AN+M+1
小明想知道在所有由这N 个加号、M 个减号以及N + M +1 个整数凑出的合法的后缀表达式中,结果最大的是哪一个?
请你输出这个最大的结果。
例如使用1 2 3 + -,则“2 3 + 1 -” 这个后缀表达式结果是4,是最大的。

输入格式

第一行包含两个整数N 和M。
第二行包含N + M + 1 个整数A1,A2,...,AN+M+1
0<=N,M<=100000,-10^9<=Ai<=10^9

输出格式

输出一个整数,代表答案。

输入样例 复制

1 1
1 2 3

输出样例 复制

4
#include <iostream>
#include <algorithm>
#include <cstring>
#include <cmath>
using namespace std;

typedef long long LL;

const int N = 100010 * 2;
int a[N];
int n, m;

int main()
{
    cin >> n >> m;
    int k = n + m + 1;
    for(int i = 0;i < k;i ++) scanf("%d",&a[i]);
    
    sort(a,a + k);  // 找最小值和最大值
    LL res = 0;
    if(!m) {
        for(int i = 0;i < k;i ++) res += a[i];
    }else {
        res = a[k - 1] - a[0];
        for(int i = 1;i < k - 1;i ++) res += abs(a[i]);
    }
    
    printf("%lld\n",res);
    return 0;
}

算法对程序员来说及其重要,语言和开发平台不断变化,但是万变不离其宗的是那些算法和理论,依稀记得我那个玩的很好的一个学长(在大二就拿到了 offer),他告诉我想找一个好的工作,那刷题一定是必不可少的

现在算法刷题平台还是蛮多的,给大家介绍一个我认为与大厂关联最深的平台——牛客网