tf-idf 文本特征表示

91 阅读1分钟

概念

image.png

image.png

image.png

余弦相似度

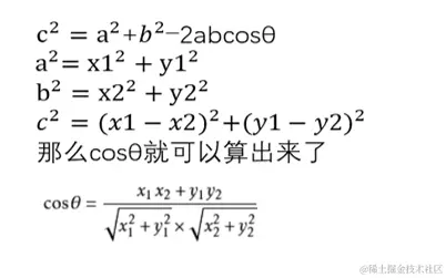
● 我们以二维向量为例,计算向量(x1,y1)与向量(x2,y2)的余弦相似度。

image.png 我们可以得到公式:

image.png

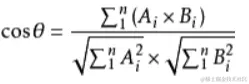
● 当我们把这个概念推广到多维

image.png

余弦值的范围在[-1,1]之间,值越趋近于1,代表两个向量的方向越接近;越趋近于-1, 他们的方向越相反;接近于0,表示两个向量近乎于正交。