逻辑回归与决策树回归

114 阅读2分钟

日新计划第八天

逻辑回归

逻辑回归函数:

逻辑回归分析属于概率型回归分析方法。

  • 假设在自变量xi1、xi2…xip的作用下,因变量y取值为1和0的二值变量,其取值为1的概率为pi,则可以表示为:

image.png

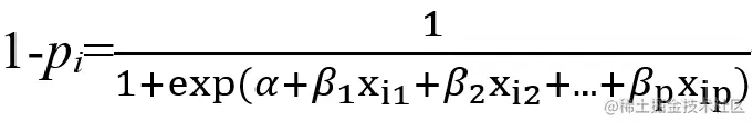
  • 相反,y取值为0的概率即:

image.png

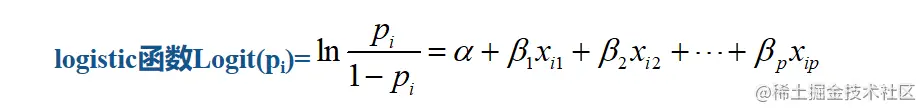
  • 对y取值为1的概率与取值为0的概率的比值取自然对数:

image.png

  • 即可得到逻辑回归函数:

image.png

优势比:

流行病学衡量危险因素作用大小的比例指标。 计算公式为:

image.png

image.png

逻辑回归例子

image.png

所以,手术时间大于5小时的感染率是手术时间小于或等于5小时的感染率的2.681倍

决策树回归:

决策树实际上是将空间用超平面进行划分的一种方法,每次分割的时候,都将当前的空间一分为二, 这样使得每一个叶子节点都是在空间中的一个不相交的区域,在进行决策的时候,会根据输入样本每一维特征的值,一步一步往下,最后使得样本落入N个区域中的一个(假设有N个叶子节点),如下图所示。

image.png 假如n个特征,每个特征有Si (i∈(1,n))个取值,则遍历所有特征,尝试该特征所有取值,对空间进行划分,直到取到特征j的取值s,使得损失函数最小,这样就得到了一个划分点。

image.png

决策树回归 —— 例子

image.png

image.png 每一次进行回归树生成时采用的训练数据r都是上次预测结果fm (x)与训练数据值yi之间的残差。这个残差会逐渐的减小。

image.png