计算机视觉-OpenCV-Android---特征检测与匹配之角点检测——Harris角点检测与Shi-Tomasi角点检测

195 阅读7分钟

#####本文要点总结(俩算法的联系与区别) Harris角点检测与Shi-Tomasi角点检测都是经典的角点特征提取算法, 但两者在API的使用上有出入(详见文中代码或GitHub项目);

  • Harris角点检测的API,返回/输出的是一个与输入图像大小一致的Mat对象, 这个Mat对象每一个坐标(i,j)都是对应输入图像对应坐标(i,j)像素响应值R, 要先将这个Mat对象归一化, 再循环每一个Mat数据元素,一 一 跟自己设置的阈值进行比较, 合格的再认为是角点提取出来, 进行绘制和保存;

  • Harris角点输出不同,shi-tomasi简单多了, 直接输出一个包含若干个(具体个数通过API形参设置)角点坐标的角点数组,(其数据类型是MatOfPoint ) 省略了很多步骤; 遍历这个角点数组, 绘制出每个角点即可。



####引子 - 前面两章笔记(```图像操作、基本特征检测```) 主要讲述了OpenCV中图像处理模块的主要知识与API使用;
  • 本章的笔记记录OpenCV中另外一个重要模块——feature2d模块, 该模块的主要功能检测图像的特征, 并根据特征进行对象匹配

  • 首先,关于图像的特征, 简单地说,特征就是边缘、角点、纹理等。

  • 本章会笔记特征提取、检测与匹配相关的知识与API, 包括角点特征检测、特征点检测、特征描述子提取, 以及根据特征描述子去匹配、寻找特征对象

  • 本章知识会涉及较多的数学知识与公式, 我们可以阅读一些与特征提取相关的数学知识, 比如导数与微分、多项式与高斯公式曲线拟合,三角函数,矩阵的特征值与特征向量的简单计算等基础数学知识, 以更好地掌握本章知识以及各个API参数意义与用法。



####0 角点的定义与作用 ```基本特征检测```一章中,学习了关于```边缘检测```的知识, 在```图像边缘```中,有一些```特殊的像素点值```得我们特别关注, 那就是**```图像边缘的角点```**, **这些角点更能反映出```图像中对象的整体特征```, ```基于角点周围的像素块生成特征描述子```可以```更好地表述图像特征数据```。** 本文首先笔记如何提取图像的角点特征。

####1 Harris角点检测 关于角点特征提取最经典的算法之一就是Harris角点检测

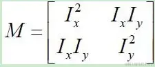
Harris角点检测基本原理是对图像求导,对每个像素点生成二阶梯度图像, 只是在卷积核使用的时候需要使用高斯核, 得到图像X与Y方向的二阶矩, 基于它们就可以得到如下Hessian矩阵

求得最大两个特征值 λ1 与 λ2,可以得到如下 角点响应值R

其中,系数K常见的取值范围为0.02~0.04。

  • 每个像素点有自己的一个响应值R, 也即有自己的一对特征值 λ1 与 λ2;
  • 全局像素则有多个R值;

根据M计算可以得到特征值 λ1、λ2,它们的值与角点的关系如下图:

Harris角点检测的API:

  • cornerHarris(Mat src, Mat dst, int blockSize, int ksize, double k) src:单通道的8位或者浮点数图像,用灰度图像; dst:输出的每个像素点的响应值,是CV_32F类型,大小与输入图像一致。 blockSize:根据特征值与特征向量计算矩阵M的大小,常见取值为2ksize Sobel:算子梯度计算,常见取值为3k:系数大小,取值范围为0.02~0.04

使用Harris角点检测函数计算得到图像角点的演示代码如下:

private void harrisCornerDemo(Mat src, Mat dst) {
  // 定义阈值T//初始化各种Mat对象
  int threshold = 100;
  Mat gray = new Mat();
  Mat response = new Mat();
  Mat response_norm = new Mat();

  // 角点检测
  Imgproc.cvtColor(src, gray, Imgproc.COLOR_BGR2GRAY);//转灰度!!!!!!
  Imgproc.cornerHarris(gray, response, 2, 3, 0.04);
  Core.normalize(response, response_norm, 0, 255, Core.NORM_MINMAX, CvType.CV_32F);//归一化

  // 绘制角点
  dst.create(src.size(), src.type());
  src.copyTo(dst);
  float[] data = new float[1];//!!!!!!!!!!
  for(int j=0; j<response_norm.rows(); j++ )
  {
    for(int i=0; i<response_norm.cols(); i++ )
    {
      response_norm.get(j, i, data);
      if((int)data[0] > 100)
      {
        Imgproc.circle(dst, new Point(i, j), 5, new Scalar(0, 0, 255), 
2, 8, 0);
        Log.i("Harris Corner", "find corner point……");
      }
    }
  }
  gray.release();
  response.release();
}
  • response_norm归一化后的响应值Mat对象
  • data[0]是某个响应值; >100认为其是一个较大的响应值, 响应值大于指定阈值T(这里是100),则对应的像素点被认为是角点;
  • float[] data = new float[1] //在这里,可能有人有疑问, 数组长度只有 1 get()方法,第三个参数要求是数组, get多个像素时,传入一个多元素空数组,常规理解操作; 但当只要get一个像素,则需创建一个只有一个元素的数组!而非变量
    这种接口设计思想, 一个方法(如get())接口即可实现包含一到多个数据元素的形式参数的传入; 而没必要去准备/重载两个方法—— 一个用来接收包含单个数据元素的变量型形参, 另一个用来接收包含多个数据元素的数组型形参;没必要这样了;
    即无论是负责接收数据的形参是包含 单个数据元素 还是 多个数据元素 ,一律按 数组型形参 处理,把数据形参位定义成数组类型,接口统一设计,一套代码,一个接口即可,省时省力!
  • 上述程序首先把彩色RGB图像转换为单通道灰度图像, 然后使用Harris角点检测函数完成各个像素点上角点响应值的计算, 最后使用阈值过滤绘制那些响应值R比较大的像素点(角点)。

注意,阈值T与绘制检测得到的角点数目相关, T值越大,被过滤的响应像素点越多,留下来的就越可能是角点,反之亦然。

本章完整代码在文末GitHub里边的Feature2dMainActivity.java文件中,后续对此不再说明。

####2 Shi-Tomasi角点检测

还有一种经常使用的角点检测方法称为Shi-Tomasi角点检测, 其与Harris角点检测类似,这种方法同样是基于梯度图像发展而来的, 它是1994年由两位作者Jianbo Shi与Carlo Tomasi一起提出来的, 他们当时所发表的论文名为<>, 这也是为什么在OpenCV中使用同名函数来表示Shi-Tomasi角点检测的原因。

Shi-Tomasi角点检测与Harris角点检测唯一(指的是方法逻辑,不包括API,API的输出还不同) 不同的地方在于计算角点响应R值时使用的是如下方法:

如果R大于指定阈值T,则对应的像素点被认为是角点; 假设λ1、λ2为坐标, 则对角点的描述就是当λ1、λ2都大于阈值T=λmin的右上角时, 角点响应值满足要求的区域, 如下图:

相关的API如下:

  • goodFeaturesToTrack(Mat image, MatOfPoint corners, int maxCorners, double qualityLevel, double minDistance, Mat mask, int blockSize, boolean useHarrisDetector, double k) image:表示输入图像、类型为单通道的8位或浮点数,用灰度图像corners:输出得到角点数组,注意数据类型maxCorners:表示获取前N个最强响应R值的角点。 qualityLevel:其取值范围为0~1,这里取它与最大R值相乘,得到的值作为阈值T,低于它的都要被丢弃,       假设Rmax=1500,qualityLevel=0.01,则阈值T=15,小于15的角点都会被丢弃。

每个像素点有自己的一个响应值R,去全局像素最大的R为Rmax;

 minDistance最终返回的角点之间的最小距离,小于这个距离则的角点被丢弃。  mask:默认全部为零。  blockSize:计算矩阵M时需要的,常取值为3。  useHarrisDetector:是否使用Harris角点检测,true表示使用,若为false则使用Shi-Tomasi角点检测。  k:当使用Harris角点检测的时候才使用。

实现shi-tomasi角点检测的demo:

private void shiTomasicornerDemo(Mat src, Mat dst) {

  // 变量定义
  double k = 0.04;
  int blockSize = 3;
  double qualityLevel= 0.01;
  boolean useHarrisCorner = false;

  // 角点检测
  Mat gray = new Mat();
  Imgproc.cvtColor(src, gray, Imgproc.COLOR_BGR2GRAY);
  MatOfPoint corners = new MatOfPoint();
  Imgproc.goodFeaturesToTrack(gray, corners, 100, qualityLevel, 10, new Mat(), blockSize, useHarrisCorner, k);

  // 绘制角点
  dst.create(src.size(), src.type());
  src.copyTo(dst);
  Point[] points = corners.toArray();
  for(int i=0; i<points.length; i++) {
    Imgproc.circle(dst, points[i], 5, new Scalar(0, 0, 255), 2, 8, 0);
  }
  gray.release();
}

完整的代码可参考GitHub项目。


参考材料