图解LeetCode——199. 二叉树的右视图

110 阅读2分钟

一、题目

给定一个二叉树的 根节点 root,想象自己站在它的右侧,按照从顶部到底部的顺序,返回从右侧所能看到的节点值。

二、示例

2.1> 示例 1:

输入】 [1,2,3,null,5,null,4]
输出】 [1,3,4]

2.2> 示例 2:

输入】 [1,null,3]
输出】 [1,3]

2.3> 示例 3:

输入】 []
输出】 []

提示:

  • 二叉树的节点个数的范围是 [0,100]
  • -100 <= Node.val <= 100 

三、解题思路

根据题目描述,我们要构建一个给定二叉树的右侧视图。即,假设我们站在整棵二查收的最右侧,向二叉树看去,能看到的每层一个节点分别是什么。那么也可以将其理解为,求解出每一层节点中最右侧的那个节点。那么针对这道题,我们可以采用两种常见的解题方式,即:层序遍历和深度优先遍历。那么层序遍历我们在之前的图解中介绍过了,核心解题思路就是两点:

思路1】创建Deque双向队列结构,来暂存节点。
思路2】每次遍历前,都要先获取Deque中节点的个数num,表示某层所存在的节点个数,然后只遍历num个节点。

然后获取每层最后一个节点存储到ArrayList中即可。此处就不赘述了。

那么除了层序遍历,我们也可以采用深度优先遍历方式进行题解。那么主要的解题思路也是有两点:

思路1】针对每次递归调用都传入level层号;
思路2】通过ArrayList的size()是否等于level,来判断某一层是否找到了右视图节点;如果等于,则表示之前没有找到右视图节点,然后调用add方法将当前节点保存到ArrayList即可。

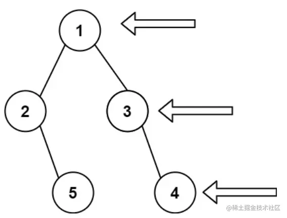
以上就是本题的解题思路,为了便于大家理解,我们以二叉树为[1,2,3,null,4]为例,看一下具体的处理过程。请见下图所示;

四、代码实现

class Solution {
    List<Integer> result = new ArrayList();
    public List<Integer> rightSideView(TreeNode root) {
        dfs(root, 0);
        return result;
    }
    public void dfs(TreeNode node, Integer level) {
        if (node == null) return;
        if (result.size() == level) result.add(node.val);
        dfs(node.right, level + 1);
        dfs(node.left, level + 1);
    }
}

今天的文章内容就这些了:

写作不易,笔者几个小时甚至数天完成的一篇文章,只愿换来您几秒钟的 点赞 & 分享

更多技术干货,欢迎大家关注公众号“爪哇缪斯” ~ \(^o^)/ ~ 「干货分享,每天更新」