双指针(一)

103 阅读7分钟

环形链表

力扣题目链接

题目描述:

给你一个链表的头节点 head ,判断链表中是否有环。

如果链表中有某个节点,可以通过连续跟踪 next 指针再次到达,则链表中存在环。 为了表示给定链表中的环,评测系统内部使用整数 pos 来表示链表尾连接到链表中的位置(索引从 0 开始)。注意:pos 不作为参数进行传递 。仅仅是为了标识链表的实际情况。

如果链表中存在环 ,则返回 true 。 否则,返回 false 。

示例1:

输入:head = [3,2,0,-4], pos = 1
输出:true
解释:链表中有一个环,其尾部连接到第二个节点。

示例2:

输入:head = [1,2], pos = 0
输出:true
解释:链表中有一个环,其尾部连接到第一个节点。

示例3:

输入:head = [1], pos = -1
输出:false
解释:链表中没有环。

提示:

  • 链表中节点的数目范围是 [0, 104]
  • -105 <= Node.val <= 105
  • pos-1 或者链表中的一个 有效索引 。

解题思路:

使用快慢指针,让慢指针每次移动一个节点,让快指针每次移动两个节点,如果他们能够相遇则说明有环,如果不能相遇则没有环。

/**
 * Definition for singly-linked list.
 * function ListNode(val) {
 *     this.val = val;
 *     this.next = null;
 * }
 */

/**
 * @param {ListNode} head
 * @return {boolean}
 */
var hasCycle = function(head) {
  //如果是空或者只有一个节点则直接返回false
  if (head === null || head.next === null) {
    return false
  }

    var fastList = head.next;
    var slowList = head;

    //当快指针为空或者快指针的下一个节点为空时结束循环
    while(fastList !== null && fastList.next !== null) {
      console.log(fastList.val);
      if(fastList === slowList) {
        return true
      }
      fastList = fastList.next.next;
      slowList = slowList.next
    }
    return false;
};

环形链表II

力扣题目链接

题目描述:

给定一个链表的头节点 head ,返回链表开始入环的第一个节点。 如果链表无环,则返回 null

如果链表中有某个节点,可以通过连续跟踪 next 指针再次到达,则链表中存在环。 为了表示给定链表中的环,评测系统内部使用整数 pos 来表示链表尾连接到链表中的位置(索引从 0 开始)。如果 pos-1,则在该链表中没有环。注意:pos 不作为参数进行传递,仅仅是为了标识链表的实际情况。

不允许修改 链表。

示例1:

输入:head = [3,2,0,-4], pos = 1
输出:返回索引为 1 的链表节点
解释:链表中有一个环,其尾部连接到第二个节点。

示例2:

输入:head = [1,2], pos = 0
输出:返回索引为 0 的链表节点
解释:链表中有一个环,其尾部连接到第一个节点。

示例3:

输入:head = [1], pos = -1
输出:返回 null
解释:链表中没有环。

提示:

  • 链表中节点的数目范围在范围 [0, 104] 内
  • -105 <= Node.val <= 105
  • pos 的值为 -1 或者链表中的一个有效索引

解题思路:

方法一:给每个节点添加一个属性

由于JavaScript语言的特性,我们可以随时给每一个对象添加一个属性,我们在遍历链表时给每一个对象都添加一个属性,如果是循环链表则在遇到进入循环的第一个节点时已经有了该属性就可以直接返回该节点

 var detectCycle = function(head) {
    if (head === null || head.next === null) {
      return null
    }

    while (head.next !== null) {
      if (head.t === 2) {
        return head;
      }

      head.t = 2;
      head = head.next;
    }

    return null
};

方法二:快慢双指针

我们使用两个指针,fastslow。它们起始都位于链表的头部。随后,slow 指针每次向后移动一个位置,而 fast 指针向后移动两个位置。如果链表中存在环,则 fast 指针最终将再次与 slow 指针在环中相遇。

[外链图片转存失败,源站可能有防盗链机制,建议将图片保存下来直接上传(img-KT82odRS-1658107409936)(../../images/环形链表II题解.jpeg)]

看上图,当快指针与慢指针相遇时快指针走的节点数是是慢指针走的节点数的2倍,而多出来的一倍正好是一个环,所以慢指针从head走到相遇点的节点数刚好与环的节点数相等,假设从起始点到相遇点的节点数为m,环的节点数为k则从从head节点到起始点的距离为k-m,从相遇点继续向前再次到达起始点的节点数也为k-m所以,当快慢指针相遇之后从新定义一个节点让它指向起始节点,然后让慢指针和这个新指针同时向前移动,每次循环移动一个节点,当他俩再次相遇时则是环起点。

var detectCycle = function(head) {
  if (head === null) {
    return null;
  }
  let slowList = head;
  let fastList = head;

  while (fastList !== null) {
    slowList = slowList.next;
    if (fastList.next !== null) {
      fastList = fastList.next.next
    } else {
      return null
    }

    if (fastList === slowList) {
      let fir = head;
      while (fir !== slowList) {
        fir = fir.next;
        slowList = slowList.next
      }
      return fir;
    }
  }
  return null;
}

相交链表

力扣题目链接

题目描述:

给你两个单链表的头节点 headAheadB ,请你找出并返回两个单链表相交的起始节点。如果两个链表不 存在相交节点,返回 null

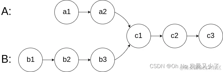
图示两个链表在节点 c1 开始相交:

[外链图片转存失败,源站可能有防盗链机制,建议将图片保存下来直接上传(img-yEgVMlJH-1658107409936)(../../images/相交链表题目描述.png)]

题目数据 保证 整个链式结构中不存在环。

注意,函数返回结果后,链表必须 保持其原始结构

解题思路:

只有当链表 headAheadB 都不为空时,两个链表才可能相交。因此首先判断链表 headAheadB 是否为空,如果其中至少有一个链表为空,则两个链表一定不相交,返回 null

当链表 headAheadB 都不为空时,创建两个指针 ab,初始时分别指向两个链表的头节点 headAheadB,然后将两个指针依次遍历两个链表的每个节点。具体做法如下:

  • 每步操作需要同时更新ab
  • 如果两个指针都不为空,则将两个指针移到下一个节点
  • 如果指针a节点为空,则将a移到headB的头节点;如果b节点为空,则将b移动到链表headB的头节点

可能会有人问这样做是怎么做到找到相同节点的,以及如果没有相交是如何返回null的,以及会不会造成死循环。

分两种情况,两个链表的长度相同和不相同。

  • 两个链表长度相同时,如果相交则返回相交点,如果不相交则会在每个链表的结尾处等于null,此时都等于null两个链表也就相等了,此时返回null
  • 两个链表长度不相等,如果相交,则在两个指针遍历完本链表以及对方链表不相等的地方之后会在相交支出相遇,如果不相交会在两个指针遍历完两个链表之后同时为null,此时返回null即可。 [外链图片转存失败,源站可能有防盗链机制,建议将图片保存下来直接上传(img-2NNAIlWS-1658107409937)(../../images/相交链表讲解.jpeg)]

可能还会有人问,为什么遍历两个链表之后两个指针一定会在交点相遇或者说,一定会在同时到达链表的尾部为null呢?

由于指针遍历两个链表,当两个链表相交时,两个链表相交的部分的长度是相同的,指针遍了一个链表之后两个指针的所走的长度都是两个不同的部分加相同的部分,所以会在相交点相遇;如果两个链表不相交两个指针最终所走的长度就是两个链表的总长度。

删除链表的倒数第 N 个结点

力扣题目链接

给你一个链表,删除链表的倒数第 n 个结点,并且返回链表的头结点。

示例1:

[外链图片转存失败,源站可能有防盗链机制,建议将图片保存下来直接上传(img-K62WESff-1658107409937)(../../images/删除链表的倒数第%20N%20个结点示例1.jpg)]

输入:head = [1,2,3,4,5], n = 2
输出:[1,2,3,5]

示例2:

输入:head = [1], n = 1
输出:[]

示例3:

输入:head = [1,2], n = 1
输出:[1]

解题思路: 利用快慢双指针,让快指针从头结点的前一个节点开始先走n个节点,然后再让慢指针从头结点的前一个节点开始与快指针同时前进当快指针的下一个节点为空时满指针的下一个节点节点结尾要删除的节点。

 var removeNthFromEnd = function(head, n) {
  var preHead = new ListNode(0,head);

  var fast = preHead;
  var slow = preHead;

  for (var i = 0;i < n;i++) {
    fast = fast.next;
  }

  while (fast.next !== null) {
    fast = fast.next;
    slow = slow.next;
  }

  slow.next = slow.next.next;
  return preHead.next;
};