m基于ICP和网格拉普拉斯变形算法的三维模型配准matlab仿真

140 阅读4分钟

1.算法仿真效果

matlab2022a仿真结果如下:

1.png

2.png

3.png

4.png  

2.算法涉及理论知识概要

         步骤一,搜索需要变形的坐标点,类似于论文中的变形控制点,只不过这里是自动的,而不是手动去控制。

 

         步骤二,根据需要变形的控制点,对面进行处理,因为我们的数据除了点坐标外还有面,因此选择了处理的点之后,还需对面进行处理

 

         步骤三,进行变形,通过计算权值W后实现拉普拉斯变形实现最后的对齐,

 

        为了缩小点云之间的旋转和平移错位,使得精 确配准不致趋向错误的方向,需要进行点云初始配 准。本文利用点云主方向贴合法实现自动初始配 准,具有方便快捷精确的效果。

        每个点云都存在一个空间上的主方向,这个主方 向可由计算点云中所有点的特征向量得到,根据特征 向量还可以得到与主方向垂直的两个次方向。由此 可建立一个以点云重心为原点,点云主方向以及次方 向为坐标轴的一个参考坐标系。这样,对于相似度大 的两个点云,只要把两个参考坐标系调整到一致,即 可以实现点云配准。

 

      ICP算法是当前应用最广的点云配准算法。ICP算法虽然基本能够满足点云配准在精度上的要求,但算法本身计算效率不高,花费时间太多,特别 是对于实际测量中的海量数据无法直接使用。因此 需要对其进行改进,提高计算效率。ICP算法的时间代价是O(NPNX)。在实际测量 中,当数据量很大时(例如几十万甚至几百万个点), 所花费的时间将是惊人的。如果能够减少时间代价

到O(NP),并且同时保证配准精度的话,就能应用于 实际测量的模型之中。由于ICP算法中主要是求最 近点集的算法花费时间比较多,如果能够把这个步骤 的时间代价减少到O(NP),即可达到目的。然后利用k-dtree寻找这些特征点在参考点云 中的最近点,通过这些步骤可以减少算法的时间代价.

 

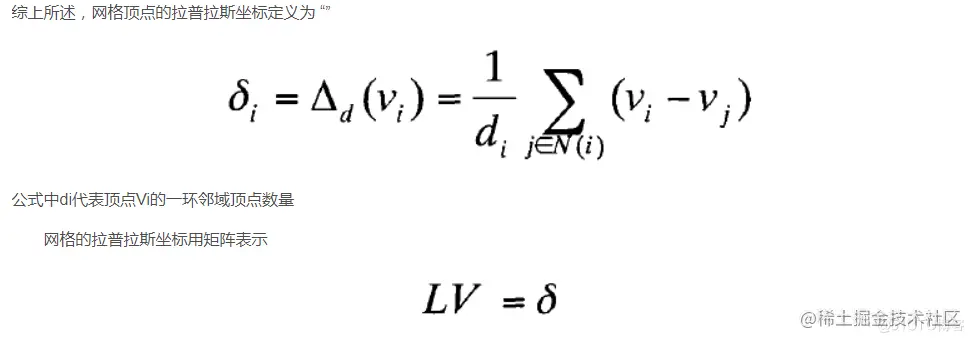
       拉普拉斯坐标是一个相当简单的概念,对于一个三角网格模型M=(V,E,F),V为顶点集,E为边集,F为三角面片集。V(v1,…vn)中每一个点的坐标表示都是笛卡尔坐标,下图(源自论文Laplacian Mesh Processing)和公式定义了拉普拉斯坐标的表示,点vi的笛卡尔坐标减去所有vi的相邻点vj的笛卡尔坐标的平均值,di表示vi的相邻点的个数。

         拉普拉斯网格变形是CAGD中比较重要也是比较基础的一个技术。所以要学习三维重建相关的知识。这个拉普拉斯操作是比较基础也是一个重要的入门操作。在3维数据处理中Surface Editing操作首先要保证的就是编辑之后网格的几何特征不能发生变化。打个比喻你不能在编辑人脸的时候编辑完了眼睛跑到嘴那里了。这样的编辑就是没有效果的。在保留几何细节的情况下使用微分坐标来进行编码和解码相关的网格模型。

 

50222d5a6c41fe41db682d08ecf0c9fd_watermark,size_14,text_QDUxQ1RP5Y2a5a6i,color_FFFFFF,t_100,g_se,x_10,y_10,shadow_20,type_ZmFuZ3poZW5naGVpdGk=.png

eb06b40cd44293d2c8fc7557b611f056_watermark,size_14,text_QDUxQ1RP5Y2a5a6i,color_FFFFFF,t_100,g_se,x_10,y_10,shadow_20,type_ZmFuZ3poZW5naGVpdGk=.png  

然后通过网格的拉普拉斯坐标求解为稀疏线性方程组便可以得到形变后的网格顶点。

 

3.MATLAB核心程序 `[Datasetsource0,Datasettarget0]=func_sel_same_nums(target,source);

 

if ISICP == 2

    targetV     = target;

    sourceV     = Reallignedsource;

    targetF     = ftarget;

    sourceF     = fsource;

    Iter        = 10;

    tic;

    %拉普拉斯算法部分,可以通过多次运行,修复错误的部分

    [targetF,targetV,sourceF,sourceV,errors1] = func_Laplacian3Dmesh(targetV,sourceV,targetF,sourceF,Iter);

 

    errors = sort([errors1],'descend');

 

    dt2 = toc;

 

    figure(1);

    subplot(223);

    trisurf(targetF,targetV(:,1),targetV(:,2),targetV(:,3),'facecolor','r','Edgecolor','none');

    axis off;

    hold on

    lighting phong;

    set(gca,'DataAspectRatio',[1 1 1],'PlotBoxAspectRatio',[1 1 1]);

    trisurf(sourceF,sourceV(:,1),sourceV(:,2),sourceV(:,3),'facecolor','g','Edgecolor','none');

    light

    view([132,42]);

 

 

    figure(1);

    subplot(224);

    trisurf(sourceF,sourceV(:,1),sourceV(:,2),sourceV(:,3),'facecolor','g','Edgecolor','none');

    light

    title('网格拉普拉斯变形对模型进行非刚性变形');

    lighting phong;

    set(gca,'DataAspectRatio',[1 1 1],'PlotBoxAspectRatio',[1 1 1]);

 

    view([132,42]);  

 

 

    figure(3);

    plot(errors,'-bs',...

    'LineWidth',1,...

    'MarkerSize',6,...

    'MarkerEdgeColor','k',...

    'MarkerFaceColor',[0.9,0.0,0.0]);

    xlabel('迭代次数');

    ylabel('迭代误差');

    grid on

 

end`