合并二叉树

136 阅读1分钟

题目描述

给你两棵二叉树: root1 和 root2 。

想象一下,当你将其中一棵覆盖到另一棵之上时,两棵树上的一些节点将会重叠(而另一些不会)。你需要将这两棵树合并成一棵新二叉树。合并的规则是:如果两个节点重叠,那么将这两个节点的值相加作为合并后节点的新值;否则,不为 null 的节点将直接作为新二叉树的节点。

返回合并后的二叉树。

注意: 合并过程必须从两个树的根节点开始。

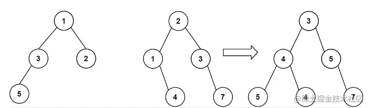
示例 1:

image.png

输入: root1 = [1,3,2,5], root2 = [2,1,3,null,4,null,7]
输出: [3,4,5,5,4,null,7]

示例2:

输入: root1 = [1], root2 = [1,2]
输出: [2,2]

思路

  1. 确定遍历顺序,前中后序都可以,这里我使用的遍历顺序是前序遍历
  2. 采用递归的思路实现:
  • 参数:root1和root2
  • 终止条件,root1==null ——> 返回root2;root2==null ——>return root1;
  1. 单层递归逻辑:
  • root1,root2不等于null,新二叉树的根节点:root=root1+root2
  • root.left=xxx(root1.left,root2.left)
  • root.right=xxx(root1.right,root2.right)
  • return root;

代码


/**
 * Definition for a binary tree node.
 * class TreeNode {
 *     val: number
 *     left: TreeNode | null
 *     right: TreeNode | null
 *     constructor(val?: number, left?: TreeNode | null, right?: TreeNode | null) {
 *         this.val = (val===undefined ? 0 : val)
 *         this.left = (left===undefined ? null : left)
 *         this.right = (right===undefined ? null : right)
 *     }
 * }
 */

// 前序遍历
function mergeTrees(root1: TreeNode | null, root2: TreeNode | null): TreeNode | null {
    // 终止条件
    if(root1==null) return root2;
    if(root2==null) return root1;

    // 单层循环逻辑
    let root=new TreeNode(root1.val+root2.val);
    root.left=mergeTrees(root1.left,root2.left);
    root.right=mergeTrees(root1.right,root2.right);

    return root;
};

image.png

总结

以上便是:合并二叉树的思路,如有错误之处,欢迎大家留言指出。