图解LeetCode——160. 相交链表

541 阅读4分钟

一、题目

给你两个单链表的头节点 headAheadB ,请你找出并返回两个单链表相交的起始节点。如果两个链表不存在相交节点,返回 null

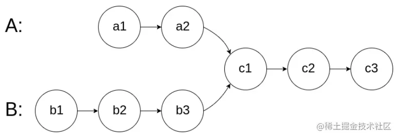
图示两个链表在节点 c1 开始相交:

题目数据 保证 整个链式结构中不存在环。注意,函数返回结果后,链表必须 保持其原始结构 。

评测系统 的输入如下(你设计的程序 不适用 此输入):

intersectVal】相交的起始节点的值。如果不存在相交节点,这一值为 0
listA】第一个链表
listB】第二个链表
skipA】在 listA 中(从头节点开始)跳到交叉节点的节点数
skipB】在 listB 中(从头节点开始)跳到交叉节点的节点数

评测系统将根据这些输入创建链式数据结构,并将两个头节点 headAheadB 传递给你的程序。如果程序能够正确返回相交节点,那么你的解决方案将被 视作正确答案

二、示例

2.1> 示例 1:

输入】intersectVal = 8, listA = [4,1,8,4,5], listB = [5,6,1,8,4,5], skipA = 2, skipB = 3
输出】Intersected at '8'
解释】相交节点的值为 8 (注意,如果两个链表相交则不能为 0)。
从各自的表头开始算起,链表 A 为 [4,1,8,4,5],链表 B 为 [5,6,1,8,4,5]。
在 A 中,相交节点前有 2 个节点;在 B 中,相交节点前有 3 个节点。
请注意相交节点的值不为 1,因为在链表 A 和链表 B 之中值为 1 的节点 (A 中第二个节点和 B 中第三个节点) 是不同的节点。换句话说,它们在内存中指向两个不同的位置,而链表 A 和链表 B 中值为 8 的节点 (A 中第三个节点,B 中第四个节点) 在内存中指向相同的位置。

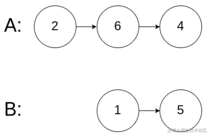
2.2> 示例 2:

输入】intersectVal = 0, listA = [2,6,4], listB = [1,5], skipA = 3, skipB = 2
输出】null
解释】从各自的表头开始算起,链表 A 为 [2,6,4],链表 B 为 [1,5]。
由于这两个链表不相交,所以 intersectVal 必须为 0,而 skipA 和 skipB 可以是任意值。
这两个链表不相交,因此返回 null 。

提示:

  • listA 中节点数目为 m
  • listB 中节点数目为 n
  • 1 <= m, n <= 3 * 10^4
  • 1 <= Node.val <= 10^5
  • 0 <= skipA <= m
  • 0 <= skipB <= n
  • 如果 listA 和 listB 没有交点,intersectVal 为 0
  • 如果 listA 和 listB 有交点,intersectVal == listA[skipA] == listB[skipB]

进阶:

你能否设计一个时间复杂度 O(m + n) 、仅用 O(1) 内存的解决方案?

三、解题思路

根据题目描述,我们要寻找两个链表的相交起始节点,那么这里我们需要明确一个问题,在链表中,怎么去定义相交这个概念?首先我们来看一下,下面的两种“相交”情况:

情况1】我们可以看到两个链表在节点6的位置处相交了,那么如果是这种链表相交的情况话,返回的结果但就是Node(6)这个节点了。
情况2】我们可以看到两个链表在节点6的位置处相交了,但是又“分叉”出了两条链表,分别是: [7, 9][8, 10, 11],这种情况其实是不能发生的。因为我们节点的数据结构是一个单向链表,即:节点中只有一个next指针,所以无法在Node(6)的后置节点中即指向Node(7)又指向Node(8)

所以,根据以上描述,我们只会关心情况1中的相交。那么“相交”的概念我们明确了之后,我们就来针对这道题,再深入的分析一下两条链表会发生哪些情况

链表相交】那么这种情况,就是我们可以获得相交节点的情况了,此处就不再赘述了。
链表不相交】这种属于是两条平行链表了,那么它们永远不会相交,所以返回null就可以了。

针对链表相交的情况,我们可以见下图所示,创建两个指针p1p2,分别指向两条链表的起止节点,我们假设无论p1还是p2都会遍历完两条链表,那么我们会发现,它们最终遍历的长度一定是相同的,即:会在某个遍历步骤下相遇;而因为我们将null也作为了一种节点,所以,当两条链表是平行的话,最终他们也都会指向null值这个虚拟节点上了。为了方便大家理解,这两种情况均在下图示例了出来,为了加深理解,请见下图所示:

四、代码实现

public class Solution {
    public ListNode getIntersectionNode(ListNode headA, ListNode headB) {
        ListNode ap = headA, bp = headB;
        while(ap != bp) {
            ap = ap == null ? headB : ap.next;
            bp = bp == null ? headA : bp.next;
        }
        return ap;
    }
}
/**
 * Definition for singly-linked list.
 * public class ListNode {
 *     int val;
 *     ListNode next;
 *     ListNode(int x) {
 *         val = x;
 *         next = null;
 *     }
 * }
 */

今天的文章内容就这些了:

写作不易,笔者几个小时甚至数天完成的一篇文章,只愿换来您几秒钟的 点赞 & 分享

更多技术干货,欢迎大家关注公众号“爪哇缪斯” ~ \(^o^)/ ~ 「干货分享,每天更新」