新冠“二阳”规模到底有多大?什么时候结束?

4,291 阅读8分钟

进入4月份以来,不少网友反映身边陆续出现了“二阳”的朋友。4月22日,中国疾控中心公布了全国新型冠状病毒感染最新情况,数据显示2023年4月20日的阳性率达到了1.7%。在5月22日召开的“2023大湾区科学论坛生物医药与健康分论坛”上,钟南山院士透露,基于传染病传播模型SEIRS模型预测,今年的第二波疫情高峰将在6月底发生。

全国报告人群新型冠状病毒核酸检测阳性数及阳性率变化趋势

新冠“二阳”规模到底有多大?目前还仍然是个未知数。想要了解“二阳”的规模,基本靠朋友圈和微信群等互联网“田野调研”。为了能全面客观的了解各地区新冠“二阳”感染水平,我们通过大数据进行了分析,希望大家能窥一斑而知全豹。

先上结论,通过搜索引擎指数构建疫情标准指数,计算出“二阳”起始时间为5月3日,“二阳”累积感染比例约27%(杭州23%、成都 20%、南京16%、北京11%、苏州9%、上海和武汉7%),“二阳”这一波将持续时间62天,在7月初结束。XBB系列毒株已经进入爆发期,快速增长,但目前主要流行株为BA.5.2和BF.7及其亚型分支。

分析思路

在去年年末的文章《大数据看全国疫情生活,北京、武汉已过疫情拐点》中,我们详细比较和论证了搜索引擎指数与官方数据的拟合关系,以及疫情起点的计算方法,详细内容可以通过传送门查看。

大数据看全国疫情生活,北京、武汉已过疫情拐点

很多国家和地区政策放开后的首轮疫情,新冠肺炎新增病例的趋势与搜索引擎“发烧”指数基本拟合。以日本为例,自2022年开始彻底“躺平”,疫情快速爆发,搜索引擎“发烧”指数也快速上升,时间基本同步。

根据美国约翰斯·霍普金斯大学 (JHU) 数据

日本新增新冠肺炎病例统计

根据谷歌趋势 (Google Trends) 数据

“発熱 外来”指数在日本地区的趋势

在此,我们加入中国疾控中心和百度指数去年首轮疫情数据进行对比验证,发现数据也是非常拟合的。

中国CDC报告人群新型冠状病毒核酸检测阳性数

和百度“发烧”指数在中国的趋势

因此,通过互联网大数据指数拟合各国家和地区人工统计病例,仍然是一个相对有效的分析方法。当然,没有一种测算分析方法是完美的,囿于当下缺乏真实统计数据,尽量通过数据得到“二阳”全貌才是目的。

“二阳”时间起点

在计算首轮疫情起点时,我们将某一个地区某一天发烧指数高于过去7天均值25%的那一天作为疫情起点。

根据此方法,计算出北京是11月19日,武汉是11月25日,上海、苏州、杭州是11月28日,成都、南京是12月5日。回过头来看这个数据,基本上与我们实际感知一致。

全国主要城市首轮疫情起点(红点为各城市疫情开始时间)

同样方法,我们计算出每个城市第二波疫情的起点,全国平均值在5月3日,其中北京、上海4月29日,苏州、杭州、南京5月2日,成都、武汉5月4日。全国主要城市“二阳”疫情起点(红点为各城市疫情开始时间)

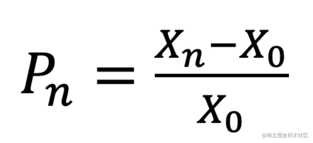
“二阳”疫情指数化

以发烧指数起点作为基准点 (X0) ,每日发烧指数 (Xn) 超出基准点的差值部分与基准点 (X0) 的比值作为标准化疫情指数(Pn)。

以全国数据为例,起始点为5月3日,X0=3182,X1=3307,P1=(X1-X0)/X0=0.04。

同理,我们可以计算出其他城市的疫情指数 P 值,计算结果如下。

据了解,“二阳”人群症状的显著程度普遍弱于“首阳”,很多小伙伴的态度也从“新冠猛于虎”转变成“不过Hello Kitty”,“二阳”人群在互联网上与“发烧”相关的搜索、声量也明显减少,因此通过发烧指数计算出的感染指数可能会比实际情况偏小。

“二阳”人群比例

对Pn进行累计面积求和得到S,代表本轮疫情开始n天后的人群感染指数。

得到各城市计算结果,以北京为例,2.75就是针对北京专门测算得到的疫情指数累积面积,代表截止到发稿时间北京“二阳”感染人群相对规模。

那么本轮疫情结束时,人群感染指数面积应会是多少?根据美国和韩国的感染数据可以计算出,第二波疫情的指数面积相较首轮疫情通常会很小,通常在20-30左右。

根据美国约翰斯·霍普金斯大学 (JHU) 数据

美国新增新冠肺炎病例统计

根据美国约翰斯·霍普金斯大学 (JHU) 数据

韩国新增新冠肺炎病例统计

以25作为第二波疫情结束时的指数面积,我们可以计算“二阳”人群感染比例R。

可以看出杭州和成都“二阳”人群感染比例一马当先,上海和武汉“二阳”人群比例最低。上海的小伙伴直呼“真·天选打工人”。

通过Kepler分析平台将“二阳”人群比例进行数据可视化

北京作为人口流动和密集程度最高的城市,感染比例却显著低于多数城市,这可能跟北京上一轮感染的主流毒株有关。根据中国疾控新冠病毒变异数据,总体来看,北京上一轮感染以BF.7及其亚分支为优势株,而其它省份均以BA.5.2及其亚分支为优势株。

中国CDC报告新冠病毒变异分省份情况

“二阳”什么时候结束

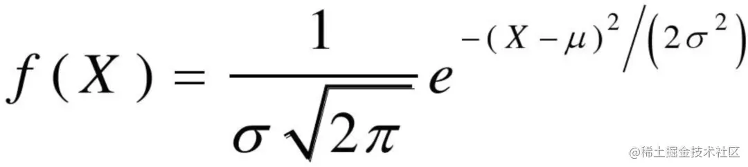
我们尝试将现有数据拟合正态分布曲线,将感染比例用概率密度表示,并使用概率密度函数进行求解,关键测算方法如下。

本轮疫情开始第0天(5月3日)的感染比例为0.01%,概率密度f(0)=0.01%;第20天(5月23日)的感染比例为27.13%,概率密度f(20)=27.13%。

假设服从标准正态分布(即标准差σ=1),可求得均值μ=31。标准正态分布概率曲线

假设本轮疫情结束时,感染比例为99.98%,那么结束时间X对应的概率密度函数为f(X)=99.98%,X=62,即本轮疫情开始后第62天结束,即7月4日,预计“二阳”在7月初结束。

“二阳”感染的是什么毒株

根据中国疾控中心截止2023年4月20日的数据,全国共报送41681例本土病例新冠病毒基因组有效序列,均为奥密克戎变异株,涵盖158个进化分支,主要流行株为BA.5.2及其亚分支(占比 66.2%)和BF.7及其亚分支(占比 29.8%)。

尽管4月中旬XBB在变异毒株占比中仅超过0.1%(XBB1.9.1新检出163例,XBB1.16检出42例,XBB.1.5检出109例),但是进入到4月下旬,XBB系列毒株已经进入爆发期,呈指数级增长,是我国所有重点关注变异毒株中检出最多的。知乎答主 @路汀博士 统计的XBB毒株检出数量

可以推测,五月初的“二阳”人群中,感染XBB的占比显著增加,但仍会以BA.5.2及其亚分支和BF.7及其亚分支为主。而进入到六月,生长优势显著的 XBB1.9.1 和 XBB1.16导致的二次感染病例数会大大增加,甚至可能引发区域性的感染小高峰。

在“五一”、“端午”假期的人群流动和聚集的加持之下,优势毒株导致的“二阳”概率也会增大,还是应该引起重视,加强必要防护。

“五一”淄博烧烤盛况

当然,看到“五一”淄博烧烤的盛况,就可以发现人们的出游欲望是挡不住的,那么,但愿我们能不痛不痒、不知不觉的度过“二阳”吧。

以上就是关于“二阳”的解读,欢迎点赞、转发、留言哦!