AI 工具整理

2,971 阅读4分钟

AI工具整理

基于 AI 的画图能力,有人让它创建大量的“填色本

花费: 免费版只有 25 generations,后面再用就需要升级付费版

Use Midjourney to generate and publish coloring books - AiTuts

使用步骤

How to run Meta's LLaMA on your computer (Windows, Linux tutorial) - AiTuts

不仅可以使用 ChatGPT 的模型,也可以使用好几个其他的大语言模型

poe.com/

浏览器 翻译插件

fanyi.caiyunapp.com/#/

帮助我快速总结视频内容,再来决定是否要看

chrome.google.com/webstore/de…

image.png

通过 AI 辅助你来读论文

typeset.io/

www.chatpdf.com/

没有创作灵感?让 AI 给些建议

www.notion.so/product/ai

画图工具

Midjourney、Dall-E 2 这样的画图工具

有效的提示语

chrome.google.com/webstore/de…

代码

调用openai 处理文本


import openai
import os

openai.api_key = os.environ.get("OPENAI_API_KEY")
COMPLETION_MODEL = "text-davinci-003"


prompt = """
Consideration product : 工厂现货PVC充气青蛙夜市地摊热卖充气玩具发光蛙儿童水上玩具

1. Compose human readable product title used on Amazon in english within 20 words.
2. Write 5 selling points for the products in Amazon.
3. Evaluate a price range for this product in U.S.
4. 使用中文 介绍一下

Output the result in json format with three properties called title, selling_points and price_range and chinese
"""

def get_response(prompt):
    completions = openai.Completion.create (
        engine=COMPLETION_MODEL,
        prompt=prompt,
        max_tokens=512,
        n=1,
        stop=None,
        temperature=0.0,        
    )
    message = completions.choices[0].text
    return message

print(get_response(prompt)) 

返回

{
    "title": "PVC Inflatable Glow Frog Night Market Hot Selling Inflatable Toy for Kids Water Toy",
    "selling_points": [
        "Made of durable PVC material",
        "Inflatable design for easy storage and transport",
        "Glow in the dark for added fun",
        "Perfect for pool parties and beach trips",
        "Great gift for kids"
    ],
    "price_range": "$10 - $20",
    "chinese": "这款PVC充气青蛙夜市地摊热卖充气玩具发光蛙儿童水上玩具,采用耐用的PVC材料制成,充气设计,便于存放和运输,夜晚发光,添加更多乐趣,适合游泳池派对和海滩旅行,是孩子们的礼物。"
}

Process finished with exit code 0

openai 还能做

  1. 理解你的语义去生成文本
  2. 翻译
  3. 利用 AI 自己有的知识给商品定价
  4. 根据我们的要求把我们想要的结果,通过一个 JSON 结构化地返回给我们

openai的例子

platform.openai.com/examples

openai的api接口,简单归纳就是两类:complete(给予答案)和embedding(文本input转化为向量)

“情感分析”问题,是指我们根据一段文字,去判断它的态度是正面的还是负面的

传统的解决方案就是把它当成是一个分类问题,也就是先拿一部分评论数据,人工标注一下这些评论是正面还是负面的。如果有个用户说“这家餐馆真好吃”,那么就标注成“正面情感”。如果有个用户说“这个手机质量不好”,那么就把对应的评论标注成负面的。

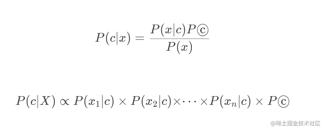
我们把标注好的数据,喂给一个机器学习模型,训练出一组参数。然后把剩下的没有人工标注过的数据也拿给训练好的模型计算一下。模型就会给你一个分数或者概率,告诉你这一段评论的感情是正面的,还是负面的。可以用来做情感分析的模型有很多,这些算法背后都是基于某一个数学模型。比如,很多教科书里,就会教你用朴素贝叶斯算法来进行垃圾邮件分类。朴素贝叶斯的模型,就是简单地统计每个单词和好评差评之间的条件概率。一般来说,如果一个词语在差评里出现的概率比好评里高得多,那这个词语所在的评论,就更有可能是一个差评。

image.png

传统方法的挑战:

特征工程与模型调参但这些传统的机器学习算法,想要取得好的效果,还是颇有门槛的。除了要知道有哪些算法可以用,还有两方面的工作非常依赖经验。

特征工程

特征工程的方式有很多,比如去除停用词,也就是“的地得”这样的词语,去掉过于低频的词语,比如一些偶尔出现的专有名词。或者对于有些词语特征采用 TF-IDF(词频 - 逆文档频率)这样的统计特征,还有在英语里面对不同时态的单词统一换成现在时。

不同的特征工程方式,在不同的问题上效果不一样,比如我们做情感分析,可能就需要保留标点符号,因为像“!”这样的符号往往蕴含着强烈的情感特征。但是,这些种种细微的技巧,让我们在想要解决一个简单的情感分析问题时,也需要撰写大量文本处理的代码,还要了解针对当前特定场景的技巧,这非常依赖工程师的经验。

机器学习相关经验

需要将数据集切分成训练(Training)、验证(Validation)、测试(Test)三组数据,然后通过 AUC 或者混淆矩阵(Confusion Matrix)来衡量效果。如果数据量不够多,为了训练效果的稳定性,可能需要采用 K-Fold 的方式来进行训练。