LeetCode热题(JS版) - 101. 对称二叉树

72 阅读1分钟

题目

给你一个二叉树的根节点 root , 检查它是否轴对称。

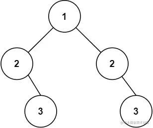
示例 1:

image.png

输入:root = \[1,2,2,3,4,4,3]
输出:true

示例 2:

image.png

输入:root = \[1,2,2,null,3,null,3]
输出:false

思路

本题采用递归的方式实现对称二叉树的判断。具体思路是比较左右子树的互为镜像关系。

代码如下:

function isSymmetric(root: TreeNode | null): boolean {
  if (!root) return true
  const check = (left: TreeNode | null, right: TreeNode | null): boolean => {
    if (!left && !right) return true
    if (!left || !right) return false
    if (left.val !== right.val) return false
    return check(left.left, right.right) && check(left.right, right.left)
  }

  return check(root.left, root.right)
}

image.png

复杂度分析

时间复杂度:O(n),其中 n 是二叉树中的节点数。在最坏情况下,需要遍历二叉树中的所有节点,因此时间复杂度为 O(n)。

空间复杂度:O(n),空间复杂度取决于递归的深度,而在最坏情况下,二叉树退化成链状结构,因此递归深度最大为 n,空间复杂度为 O(n)。