2016-12-14 git分支管理(二)---合并

96 阅读3分钟

(自己的老博客搬运)createdAt:2016-12-14 20:35:43


前言

本来没想到分支能写这么长的。。于是就拆成两篇了~想看另一篇的可以 戳这里 git分支管理(一)---创建、提交、切换

指针机制

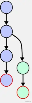
git 的每个commit都是一个节点,每条分支都有一个head指针指向该分支最新的节点。 比如下图有紫色分支和绿色分支,每个圆圈是一个commit节点,红色外框的圆圈是该分支的head指针指向的节点。

  • 紫色是master分支,绿色是dev分支

head.png

两种合并方式

  • Fast Forward --ff

这是一种当其中一个分支没有新节点时的默认的合并方式(以下简称FF)

(就是你不必加--ff这个参数,如果可以用这种方式合并git自然会用这种方式的)

git merge dev
# 当前在master分支下,执行此命令会默认进行fast forward 合并
# 将dev合并到master
# 合并之后提交线变成一条线,两个分支的head是同一个节点

fast.png

  • Not Fast Forward --no-ff

no-ff.png

git merge --no-ff dev
# 新建一个节点!
# 合并之后依旧可以从提交线中清晰地看出不同分支的commit历史
# dev分支的head没有变哦
  • 执行完这个指令会进入vim,让你输入新节点要commit的信息

  • 作为一个刚会用vim没多久的小白。。贴一下vim基本用法好了~~

  • 输入i之后允许输入;输入结束后按Esc:wq保存并退出vim

  • 两者比较

    最主要的差别其实就是提交线图不同:FF是一条线,noFF是多条线。

    NoFF的优点很强势~

    比如项目开发过程中,一般都是用master放比较稳定的代码,而在另外创建一个分支上写代码,测试好了再合并到master上。可能会有不同的功能点用不同的分支啊,或者不同的开发者用不同的分支之类的。如果是NoFF合并,就可以用git可视化工具清晰地看到各个分支的详细情况,便于追踪。

    比如下图是我上学期的一个大作业。我们团队四个人的提交线的部分(一个master和每人一个分支)~

commit_graph.png

而如果是FF合并就惨了。。都在一条线上。。很难找的~

不过要是很小型的项目的话用FF会省事一点喽,就不用每次合并都搞一个新节点出来~ 自己视情况权衡利弊吧 ^ ^

  • 总结

    写这篇博客之前查了好多资料,好多人说FF合并,分支删掉之后会丢失分支信息,我当时还以为是节点会丢失~ 然而亲测并没有。

    所以猜测那些人指的应该是会丢失分支的独立性吧(就是都混在一起看不出谁是谁啦> <)~

    我还试了一下,两个分支如果相对于分离点都有新节点(就像本文的第一张图),但是改动的代码没有冲突,git会不会默认使用FF合并。

    亲测不会。而且我还试着加--ff参数强制FF合并,也还是执行了NoFF合并~

    就这些吧~等哪天研究一下git提交冲突的再来发文~~

PS:为了测试各种情况,快看我今天github上activity程度哈哈哈~创我历史新高~~~

github_activity.png


参考: