引言
本文介绍自动求导的基础知识——计算图。
计算图
我们知道,反向传播是模型训练的途径。而反向传播是基于求导的,有没有想过像Keras和PyTorch这种工具是如何做到自动求导的。答案就是计算图,只要掌握了计算图的知识,我们就能自己开发一个自动求导工具。
计算图是一种描述函数的工具,可以可视化为有向图结构。其中节点为Tensor(向量/张量),有向边为操作。
在深度学习中比较常见的例子是类似
y=f(g(h(x)))u=h(x)v=g(u)y=f(v)

x可以看成是输入,y可以看成是输出,中间经过了3次变换。
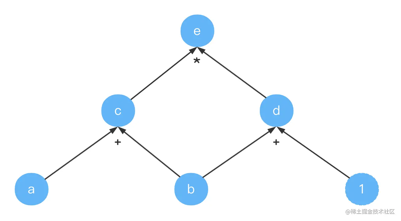
有时我们的函数有多个参数(比如乘法就有两个参数),假设我们要计算e=(a+b)∗(b+1),它的计算图如下:

这里令c=a+b;d=b+1,为了完整性,也画出了常量1。
有了这个计算图,我们就就可以很容易的计算出e的值。比如令a=2,b=1

当然,我们这么辛苦的画出这个图,主要不是为了沿着箭头方向进行计算的。而是为了求导,也就是计算梯度。
计算图上的梯度
回顾一下链式法则


我们重点来看下多路径的链式法则,即上面说的全导数。
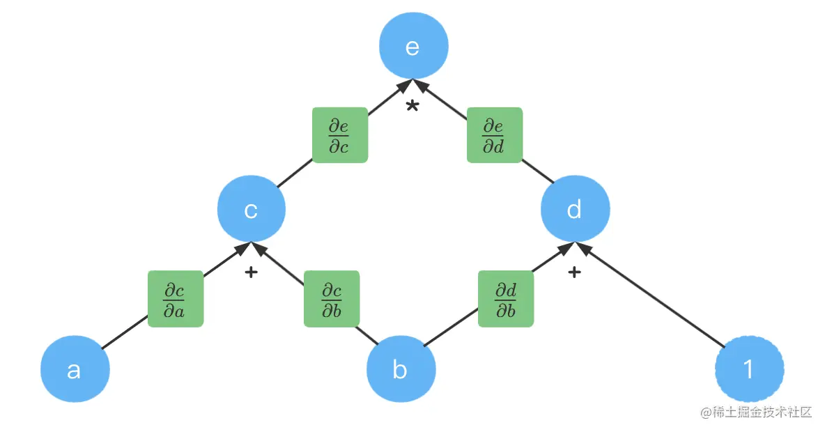
我们要计算e=(a+b)∗(b+1)中∂e/∂b。
c=a+b;d=b+1。
类似上图中的t,b也影响了两个因子。因此有
∂b∂e=∂c∂e⋅∂b∂c+∂d∂e⋅∂b∂d
要计算偏导数,我们先把每个箭头的偏导数计算出来。

我们先填入计算出来的式子:

根据e=c∗dc=a+bd=b+1以及求导公式不难得到上面的结果。
此时,要计算∂e/∂b,只需要找出所有从b到e到路径,然后把相同路径上的值相乘,不同路径上的值相加(连线相乘,分线相加)。
就可以得到:∂e/∂b=1∗(b+1)+1∗(a+b)
此时,代入a=2,b=1。
先计算出b+1=2,再计算a+b=3,所以∂e/∂b=1∗2+1∗3=5
反向模式
如果要同时计算e对a和b的偏导数,我们需要反向模式(Reverse mode)来同时计算它们。

反向就是从顶点开始,这里从e开始,也从梯度等于1开始。
从顶点到b,通过有两条路径,如山古同橙色箭头所示。达到c时的梯度为1∗2=2;到达d时的梯度为1∗3=3。
c和d到b的梯度都是1。根据相同路径相乘,不同路径相加。到b到梯度为2+3=5。

此时,计算e到a的就简单了,我们已经知道了e到c到梯度为2,由于e到a只有一条路径,因此直接相乘得∂e/∂a=2∗1=2。
如果你的函数只有一个输出,由需要同时计算大量的不同值的偏导数时,用反向模式就比较快。
而这恰恰非常适合于我们计算损失函数的梯度,因为损失函数的输出就是一个标量。
总结
我们已经了解了计算图的基础知识,下篇文章就来看一下常见操作的计算图。