Metropolis Hastings采样和贝叶斯泊松回归Poisson模型|附代码数据

133 阅读8分钟

全文下载链接:tecdat.cn/?p=23524

最近我们被客户要求撰写关于采样的研究报告,包括一些图形和统计输出。

在本文中,我想向你展示如何使用R的Metropolis采样从贝叶斯Poisson回归模型中采样。

图片

Metropolis-Hastings算法

Metropolis-Hastings抽样算法是一类马尔科夫链蒙特卡洛(MCMC)方法,其主要思想是生成一个马尔科夫链图片使其平稳分布为目标分布。这种算法最常见的应用之一是在贝叶斯统计中从后验密度中取样,这也是本文的目标。

该算法规定对于一个给定的状态Xt,如何生成下一个状态 图片 有一个候选点Y,它是从一个提议分布 图片,中生成的,根据决策标准被接受,所以链条在时间t+1时移动到状态Y,即Xt+1=Y或被拒绝,所以链条在时间t+1时保持在状态Xt,即Xt+1=Xt。

Metropolis 采样

在Metropolis算法中,提议分布是对称的,也就是说,提议分布  图片满足图片 

,所以Metropolis采样器产生马尔科夫链的过程如下。

  1. 选择一个提议分布图片. 在选择它之前,了解这个函数中的理想特征。
  2. 从提议分布g中生成X0。
  3. 重复进行,直到链收敛到一个平稳的分布。
  • 从 图片生成Y.
  • 从Uniform(0, 1)中生成U。
  • 如果 图片, 接受Y并设置Xt+1=Y,否则设置Xt+1=Xt。这意味着候选点Y被大概率地接受图片.
  • 递增t.

贝叶斯方法

正如我之前提到的,我们要从定义为泊松回归模型的贝叶斯中取样。

图片

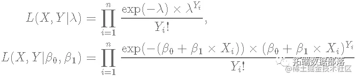
对于贝叶斯分析中的参数估计,我们需要找到感兴趣的模型的似然函数,在这种情况下,从泊松回归模型中找到。

图片

现在我们必须为每个参数β0和β1指定一个先验分布。我们将对这两个参数使用无信息的正态分布,β0∼N(0,100)和β1∼N(0,100) 。

图片

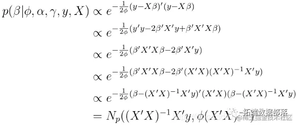
最后,我们将后验分布定义为先验分布和似然分布的乘积。

图片

使用Metropolis采样器时,后验分布将是目标分布。

计算方法

这里你将学习如何使用R语言的Metropolis采样器从参数β0和β1的后验分布中采样。

数据

首先,我们从上面介绍的泊松回归模型生成数据。

<- 1000 #  样本大小<- 2 # 参数的数量<- runif(n,-2,2) # 生成自变量的值
beta <- runif(J,-2,2) #生成参数的值<- rpois(n, lambda = lambda) # 生成因变量的值

似然函数

现在我们定义似然函数。在这种情况下,我们将使用这个函数的对数,这是强烈建议的,以避免在运行算法时出现数字问题。

LikelihoodFunction <- function(param){
        beta0 <- param[1] 
        beta1 <- param[2] 
        lambda <- exp(beta1*+ beta0)
        # 对数似然函数
        loglikelihoods <- sum(dpois(y, lambda = lambda, log=T)) 
        return(loglikelihoods)
}

先验分布

接下来我们定义参数β0和β1的先验分布。与似然函数一样,我们将使用先验分布的对数。

        beta0prior <- dnorm(beta0, 0, sqrt(100), log=TRUE)
        beta1prior <- dnorm(beta1, 0, sqrt(100), log=TRUE)
        return(beta0prior + beta1prior) #先验分布的对数

后验分布

由于我们是用对数工作的,我们把后验分布定义为似然函数的对数与先验分布的对数之和。记住,这个函数是我们的目标函数f(.),我们要从中取样。

提议函数

最后,我们定义提议分布g(.|Xt)。由于我们将使用Metropolis采样器,提议分布必须是对称的,并且取决于链的当前状态,因此我们将使用正态分布,其平均值等于当前状态下的参数值。


点击标题查阅往期内容

图片

R语言中的block Gibbs吉布斯采样贝叶斯多元线性回归

图片

左右滑动查看更多

图片

01

图片

02

图片

03

图片

04

图片

Metropolis 采样器

最后,我们编写代码,帮助我们执行Metropolis采样器。在这种情况下,由于我们使用的是对数,我们必须将候选点Y被接受的概率定义为。

图片

        # 创建一个数组来保存链的值
        chain[1, ] <- startvalue # 定义链的起始值
        for (i in 1:iterations){
                # 从提议函数生成Y
                Y <- ProposalFunction(chain[i, ]) 
                # 候选点被接受的概率
                                           PosteriorFunction(chain[i, ]))
                # 接受或拒绝Y的决策标准 
                if (runif(1) < probability) {
                        chain[i+1, ] <- Y
                }else{ 
                        chain[i+1, ] <- chain[i, ]

由于MCMC链具有很强的自相关,它可能产生的样本在短期内无法代表真实的基础后验分布。那么,为了减少自相关,我们可以只使用链上的每一个n个值来稀释样本。在这种情况下,我们将在算法的每20次迭代中为我们的最终链选择一个值。

startvalue <- c(0, 0) # 定义链条的起始值
#每20次迭代选择最终链的值
for (i in 1:10000){
        if (i == 1){
                cfinal[i, ] <- chain[i*20,]
        } else {
                cfinal[i, ] <- chain[i*20,]

# 删除链上的前5000个值
burnIn <- 5000

在这里,你可以看到ACF图,它给我们提供了任何序列与其滞后值的自相关值。在这种情况下,我们展示了初始MCMC链的ACF图和对两个参数的样本进行稀释后的最终链。从图中我们可以得出结论,所使用的程序实际上能够大大减少自相关。

图片

结果

在这一节中,我们介绍了由Metropolis采样器产生的链以及它对参数β0和β1的分布。参数的真实值由红线表示。

图片

图片

与glm()的比较

现在我们必须将使用Metropolis采样得到的结果与glm()函数进行比较,glm()函数用于拟合广义linera模型。

下表列出了参数的实际值和使用Metropolis采样器得到的估计值的平均值。

##       True value Mean MCMC       glm
## beta0  1.0578047 1.0769213 1.0769789
## beta1  0.8113144 0.8007347 0.8009269

结论

从结果来看,我们可以得出结论,使用Metropolis采样器和glm()函数得到的泊松回归模型的参数β0和β1的估计值非常相似,并且接近于参数的实际值。另外,必须认识到先验分布、建议分布和链的初始值的选择对结果有很大的影响,因此这种选择必须正确进行。


图片

本文摘选 R语言Metropolis Hastings采样和贝叶斯泊松回归Poisson模型 ,点击“阅读原文”获取全文完整资料。


点击标题查阅往期内容

Matlab用BUGS马尔可夫区制转换Markov switching随机波动率模型、序列蒙特卡罗SMC、M H采样分析时间序列R语言RSTAN MCMC:NUTS采样算法用LASSO 构建贝叶斯线性回归模型分析职业声望数据
R语言BUGS序列蒙特卡罗SMC、马尔可夫转换随机波动率SV模型、粒子滤波、Metropolis Hasting采样时间序列分析
R语言Metropolis Hastings采样和贝叶斯泊松回归Poisson模型
R语言贝叶斯MCMC:用rstan建立线性回归模型分析汽车数据和可视化诊断
R语言贝叶斯MCMC:GLM逻辑回归、Rstan线性回归、Metropolis Hastings与Gibbs采样算法实例
R语言贝叶斯Poisson泊松-正态分布模型分析职业足球比赛进球数
R语言用Rcpp加速Metropolis-Hastings抽样估计贝叶斯逻辑回归模型的参数
R语言逻辑回归、Naive Bayes贝叶斯、决策树、随机森林算法预测心脏病
R语言中贝叶斯网络(BN)、动态贝叶斯网络、线性模型分析错颌畸形数据
R语言中的block Gibbs吉布斯采样贝叶斯多元线性回归
Python贝叶斯回归分析住房负担能力数据集
R语言实现贝叶斯分位数回归、lasso和自适应lasso贝叶斯分位数回归分析
Python用PyMC3实现贝叶斯线性回归模型
R语言用WinBUGS 软件对学术能力测验建立层次(分层)贝叶斯模型
R语言Gibbs抽样的贝叶斯简单线性回归仿真分析
R语言和STAN,JAGS:用RSTAN,RJAG建立贝叶斯多元线性回归预测选举数据
R语言基于copula的贝叶斯分层混合模型的诊断准确性研究
R语言贝叶斯线性回归和多元线性回归构建工资预测模型
R语言贝叶斯推断与MCMC:实现Metropolis-Hastings 采样算法示例
R语言stan进行基于贝叶斯推断的回归模型
R语言中RStan贝叶斯层次模型分析示例
R语言使用Metropolis-Hastings采样算法自适应贝叶斯估计与可视化
R语言随机搜索变量选择SSVS估计贝叶斯向量自回归(BVAR)模型
WinBUGS对多元随机波动率模型:贝叶斯估计与模型比较
R语言实现MCMC中的Metropolis–Hastings算法与吉布斯采样
R语言贝叶斯推断与MCMC:实现Metropolis-Hastings 采样算法示例
R语言使用Metropolis-Hastings采样算法自适应贝叶斯估计与可视化
视频:R语言中的Stan概率编程MCMC采样的贝叶斯模型
R语言MCMC:Metropolis-Hastings采样用于回归的贝叶斯估计