Redis

148 阅读1小时+

什么是Redis

Redis 是一种基于内存的非关系性数据库,对数据的读写操作都是在内存中完成,因此读写速度非常快,常用于缓存,消息队列、分布式锁等场景

Redis 提供了多种数据类型来支持不同的业务场景,比如 String(字符串)、Hash(哈希)、 List (列表)、Set(集合)、Zset(有序集合)、Bitmaps(位图)、HyperLogLog(基数统计)、GEO(地理信息)、Stream(流),并且对数据类型的操作都是原子性的,因为执行命令由单线程负责的,不存在并发竞争的问题。

除此之外,Redis 还支持事务 、持久化、Lua 脚本、多种集群方案(主从复制模式、哨兵模式、切片机群模式)、发布/订阅模式,内存淘汰机制、过期删除机制等等。

Redis 和 Memcached 有什么区别?

很多人都说用 Redis 作为缓存,但是 Memcached 也是基于内存的数据库,为什么不选择它作为缓存呢?要解答这个问题,我们就要弄清楚 Redis 和 Memcached 的区别。 Redis 与 Memcached 共同点

  1. 都是基于内存的数据库,一般都用来当做缓存使用。
  2. 都有过期策略。
  3. 两者的性能都非常高。

Redis 与 Memcached 区别

  • Redis 支持的数据类型更丰富(String、Hash、List、Set、ZSet),而 Memcached 只支持最简单的 key-value 数据类型;
  • Redis 支持数据的持久化,可以将内存中的数据保持在磁盘中,重启的时候可以再次加载进行使用,而 Memcached 没有持久化功能,数据全部存在内存之中,Memcached 重启或者挂掉后,数据就没了;
  • Redis 原生支持集群模式,Memcached 没有原生的集群模式,需要依靠客户端来实现往集群中分片写入数据;
  • Redis 支持发布订阅模型、Lua 脚本、事务等功能,而 Memcached 不支持

为什么使用Redis来作为MySQL的缓存

因为Redis具备高性能和高并发2种特性

  1. 高性能:

    假如用户第一次访问 MySQL 中的某些数据。这个过程会比较慢,因为是从硬盘上读取的。将该用户访问的数据缓存在 Redis 中,这样下一次再访问这些数据的时候就可以直接从缓存中获取了,操作 Redis 缓存就是直接操作内存,所以速度相当快。

  2. 高并发:

    单台设备的 Redis 的 QPS(Query Per Second,每秒钟处理完请求的次数) 是 MySQL 的 10 倍,Redis 单机的 QPS 能轻松破 10w,而 MySQL 单机的 QPS 很难破 1w。

    所以,直接访问 Redis 能够承受的请求是远远大于直接访问 MySQL 的,所以我们可以考虑把数据库中的部分数据转移到缓存中去,这样用户的一部分请求会直接到缓存这里而不用经过数据库

Redis 可以用来做什么

  1. 记录帖子的点赞数、评论数和点击数 (hash)。
  2. 记录用户的帖子 ID 列表 (排序),便于快速显示用户的帖子列表 (zset)。
  3. 记录帖子的标题、摘要、作者和封面信息,用于列表页展示 (hash)。
  4. 记录帖子的点赞用户 ID 列表,评论 ID 列表,用于显示和去重计数 (zset)。
  5. 缓存近期热帖内容 (帖子内容空间占用比较大),减少数据库压力 (hash)。
  6. 记录帖子的相关文章 ID,根据内容推荐相关帖子 (list)。
  7. 如果帖子 ID 是整数自增的,可以使用 Redis 来分配帖子 ID(计数器)。
  8. 收藏集和帖子之间的关系 (zset)。
  9. 记录热榜帖子 ID 列表,总热榜和分类热榜 (zset)。
  10. 缓存用户行为历史,进行恶意行为过滤 (zset,hash)。

Redis为啥把数据都存到内存中

  1. 内存对于读写操作来说是随机访问的,而硬盘则需要进行寻址和旋转。因此,内存存储可以大大减少访问时间,提高数据读写效率。
  2. Redis将所有数据放在内存中,避免了磁盘IO的开销,因此可以更快地处理大量的数据请求。
  3. Redis还提供了一些可以在内存中直接操作数据结构的功能,例如哈希表和有序集合。这些功能进一步增加了Redis的性能和灵活性。

Redis数据类型

常见的5种数据结构及其使用场景

  1. String(字符串)
    • 缓存对象、常规计数、分布式锁、共享 session 信息等
  2. hash(哈希)
    • 缓存对象、购物车等
    • 记录帖子的点赞数、评论数和点击数
    • 记录帖子的标题、摘要、作者和封面信息,用于列表页展示
    • 缓存近期热帖内容 (帖子内容空间占用比较大),减少数据库压力
    • 缓存用户行为历史,进行恶意行为过滤
  3. list(列表):
    • 消息队列(但是有两个问题:1. 生产者需要自行实现全局唯一 ID;2. 不能以消费组形式消费数据)等。
    • 记录帖子的相关文章 ID,根据内容推荐相关帖子
  4. Set(集合)
    • 聚合计算(并集、交集、差集)场景,比如点赞、共同关注、抽奖活动等。
  5. ZSet(有序集合)
    • 排序场景,比如排行榜、电话和姓名排序等。
    • 记录用户的帖子 ID 列表 (排序),便于快速显示用户的帖子列表
    • 记录帖子的点赞用户 ID 列表,评论 ID 列表,用于显示和去重计数
    • 收藏集和帖子之间的关系
    • 记录热榜帖子 ID 列表,总热榜和分类热榜

img

后来添加的4种数据结构及其使用场景

  1. BitMap
    • 二值状态统计的场景,比如签到、判断用户登陆状态、连续签到用户总数等;
  2. HyperLogLog
    • 海量数据基数统计的场景,比如百万级网页 UV 计数等;
  3. GEO
    • 存储地理位置信息的场景,比如滴滴叫车;
  4. Stream
    • 消息队列,相比于基于 List 类型实现的消息队列,有这两个特有的特性:自动生成全局唯一消息ID,支持以消费组形式消费数据。

String

图片转存失败,建议将图片保存下来直接上传

String 是最基本的 key-value 结构,key 是唯一标识,value 是具体的值,value其实不仅是字符串, 也可以是数字(整数或浮点数)。String最大可存储512MB

内部实现

String 类型的底层的数据结构实现主要是 SDS(简单动态字符串)。

SDS相比于C字符串的优势在于

  • SDS 不仅可以保存文本数据,还可以保存二进制数据。因为 SDS 使用 len 属性的值而不是空字符来判断字符串是否结束,并且 SDS 的所有 API 都会以处理二进制的方式来处理 SDS 存放在 buf[] 数组里的数据。所以 SDS 不光能存放文本数据,而且能保存图片、音频、视频、压缩文件这样的二进制数据。

  • SDS 获取字符串长度的时间复杂度是 O(1)。因为 C 语言的字符串并不记录自身长度,所以获取长度的复杂度为 O(n);而 SDS 结构里用 len 属性记录了字符串长度,所以复杂度为 O(1)。

  • Redis 的 SDS API 是安全的,拼接字符串不会造成缓冲区溢出。因为 SDS 在拼接字符串之前会检查 SDS 空间是否满足要求,如果空间不够会自动扩容,所以不会导致缓冲区溢出的问题。

  • 减少修改字符串带来的内存重分配次数:将增加N次字符串所需的内存重分配次数从必定N次到最多N次

    • SDS的空间预分配策略,如果SDS修改后长度小于1MB,那么SDSlen属性的值将与free属性的值相同,也就是说空闲空间的大小和此时非空闲空间的大小相同,此时的大小为len的大小*2 + 1byte(用于保存空字符串)
    • 如果大于1MB,那么程序不是分配len属性的值而是1MB,此时大小为len的大小+1MB(free属性的值)+1byte(保存空字符串)
  • 但是,SDS还是可以使用C语言的部分函数的,比如说拼接,可以拼接一个C语言字符串+SDS

String的内部编码有啥

  1. int

    • 用来存储数字

    img

  2. embstr:字符申的长度小于等于 32 字节(redis 2.+版本)

    img

  3. raw:字符申的长度大于 32 字节(redis 2.+版本)

    img

embstr与raw的不同点

embstr 编码和 raw 编码的边界在 redis 不同版本中是不一样的:

  • redis 2.+ 是 32 字节
  • redis 3.0-4.0 是 39 字节
  • redis 5.0 是 44 字节

embstr是连续的内存空间,raw的SDS和redisObject是分开的。

embstr的优点(对应也是raw的缺点):

  • embstr编码将创建字符串对象所需的内存分配次数从 raw 编码的两次降低为一次;
  • 释放 embstr编码的字符串对象同样只需要调用一次内存释放函数;
  • 因为embstr编码的字符串对象的所有数据都保存在一块连续的内存里面可以更好的利用 CPU 缓存提升性能。

embstr的缺点(对应也是raw的优点):

  • 如果字符串的长度增加需要重新分配内存时,整个redisObject和sds都需要重新分配空间,所以embstr编码的字符串对象实际上是只读的,redis没有为embstr编码的字符串对象编写任何相应的修改程序。当我们对embstr编码的字符串对象执行任何修改命令(例如append)时,程序会先将对象的编码从embstr转换成raw,然后再执行修改命令。

应用场景

缓存对象

  • 直接缓存整个对象的 JSON,命令例子: SET user:1 '{"name":"xiaolin", "age":18}'
  • 采用将 key 进行分离为 user:ID:属性,采用 MSET 存储,用 MGET 获取各属性值,命令例子: MSET user:1:name xiaolin user:1:age 18 user:2:name xiaomei user:2:age 20

常规计数

因为 Redis 处理命令是单线程,所以执行命令的过程是原子的。因此 String 数据类型适合计数场景,比如计算访问次数、点赞、转发、库存数量等等。

分布式锁

SET 命令有个 NX 参数可以实现「key不存在才插入」,可以用它来实现分布式锁:

  • 如果 key 不存在,则显示插入成功,可以用来表示加锁成功;
  • 如果 key 存在,则会显示插入失败,可以用来表示加锁失败。

一般而言,还会对分布式锁加上过期时间,分布式锁的命令如下:

SET lock_key unique_value NX PX 10000
  • lock_key 就是 key 键;
  • unique_value 是客户端生成的唯一的标识;
  • NX 代表只在 lock_key 不存在时,才对 lock_key 进行设置操作;
  • PX 10000 表示设置 lock_key 的过期时间为 10s,这是为了避免客户端发生异常而无法释放锁。

而解锁的过程就是将 lock_key 键删除,但不能乱删,要保证执行操作的客户端就是加锁的客户端。所以,解锁的时候,我们要先判断锁的 unique_value 是否为加锁客户端,是的话,才将 lock_key 键删除。

可以看到,解锁是有两个操作,这时就需要 Lua 脚本来保证解锁的原子性,因为 Redis 在执行 Lua 脚本时,可以以原子性的方式执行,保证了锁释放操作的原子性。

// 释放锁时,先比较 unique_value 是否相等,避免锁的误释放
if redis.call("get",KEYS[1]) == ARGV[1] then
    return redis.call("del",KEYS[1])
else
    return 0
end

这样一来,就通过使用 SET 命令和 Lua 脚本在 Redis 单节点上完成了分布式锁的加锁和解锁

共享 Session 信息

通常我们在开发后台管理系统时,会使用 Session 来保存用户的会话(登录)状态,这些 Session 信息会被保存在服务器端,但这只适用于单系统应用,如果是分布式系统此模式将不再适用。

例如用户一的 Session 信息被存储在服务器一,但第二次访问时用户一被分配到服务器二,这个时候服务器并没有用户一的 Session 信息,就会出现需要重复登录的问题,问题在于分布式系统每次会把请求随机分配到不同的服务器。

分布式系统单独存储 Session 流程图:

img

因此,我们需要借助 Redis 对这些 Session 信息进行统一的存储和管理,这样无论请求发送到那台服务器,服务器都会去同一个 Redis 获取相关的 Session 信息,这样就解决了分布式系统下 Session 存储的问题。

分布式系统使用同一个 Redis 存储 Session 流程图:

img

List

图片转存失败,建议将图片保存下来直接上传

List 列表是简单的字符串列表,按照插入顺序排序,可以从头部或尾部向 List 列表添加元素。

列表的最大长度为 2^32 - 1,也即每个列表支持超过 40 亿个元素。

内部实现

底层数据结构是双向链表或者压缩列表

  • 如果列表的元素个数小于 512 个(默认值,可由 list-max-ziplist-entries 配置),列表每个元素的值都小于 64 字节(默认值,可由 list-max-ziplist-value 配置),Redis 会使用压缩列表作为 List 类型的底层数据结构;
  • 如果列表的元素不满足上面的条件,Redis 会使用双向链表作为 List 类型的底层数据结构;

但是在 Redis 3.2 版本之后,List 数据类型底层数据结构就只由 quicklist 实现了,替代了双向链表和压缩列表

应用场景

消息队列

消息队列在存取消息时,必须要满足三个需求,分别是消息保序、处理重复的消息和保证消息可靠性

Redis 的 List 和 Stream 两种数据类型,就可以满足消息队列的这三个需求。

  1. 消息报序

List 本身就是按先进先出的顺序对数据进行存取的,所以,如果使用 List 作为消息队列保存消息的话,就已经能满足消息保序的需求了。

List 可以使用 LPUSH + RPOP (或者反过来,RPUSH+LPOP)命令实现消息队列。

img

  • 生产者使用 LPUSH key value[value...] 将消息插入到队列的头部,如果 key 不存在则会创建一个空的队列再插入消息。
  • 消费者使用 RPOP key 依次读取队列的消息,先进先出。

不过,在消费者读取数据时,有一个潜在的性能风险点。

在生产者往 List 中写入数据时,List 并不会主动地通知消费者有新消息写入,如果消费者想要及时处理消息,就需要在程序中不停地调用 RPOP 命令(比如使用一个while(1)循环)。如果有新消息写入,RPOP命令就会返回结果,否则,RPOP命令返回空值,再继续循环。

所以,即使没有新消息写入List,消费者也要不停地调用 RPOP 命令,这就会导致消费者程序的 CPU 一直消耗在执行 RPOP 命令上,带来不必要的性能损失。

为了解决这个问题,Redis提供了 BRPOP 命令。BRPOP命令也称为阻塞式读取,客户端在没有读到队列数据时,自动阻塞,直到有新的数据写入队列,再开始读取新数据。和消费者程序自己不停地调用RPOP命令相比,这种方式能节省CPU开销。

img

  1. 处理重复消息

2个需求

  • 每个消息都有一个全局的 ID。
  • 消费者要记录已经处理过的消息的 ID。当收到一条消息后,消费者程序就可以对比收到的消息 ID 和记录的已处理过的消息 ID,来判断当前收到的消息有没有经过处理。如果已经处理过,那么,消费者程序就不再进行处理了。

但是 List 并不会为每个消息生成 ID 号,所以我们需要自行为每个消息生成一个全局唯一ID,生成之后,我们在用 LPUSH 命令把消息插入 List 时,需要在消息中包含这个全局唯一 ID。

例如,我们执行以下命令,就把一条全局 ID 为 111000102、库存量为 99 的消息插入了消息队列:

> LPUSH mq "111000102:stock:99"
(integer) 1
  1. 保证消息可靠性

为了留存消息,List 类型提供了 BRPOPLPUSH 命令,这个命令的作用是让消费者程序从一个 List 中读取消息,同时,Redis 会把这个消息再插入到另一个 List(可以叫作备份 List)留存

这样一来,如果消费者程序读了消息但没能正常处理,等它重启后,就可以从备份 List 中重新读取消息并进行处理了。

好了,到这里可以知道基于 List 类型的消息队列,满足消息队列的三大需求(消息保序、处理重复的消息和保证消息可靠性)。

  • 消息保序:使用 LPUSH + RPOP;
  • 阻塞读取:使用 BRPOP;
  • 重复消息处理:生产者自行实现全局唯一 ID;
  • 消息的可靠性:使用 BRPOPLPUSH

缺陷:

  • List 不支持多个消费者消费同一条消息,因为一旦消费者拉取一条消息后,这条消息就从 List 中删除了,无法被其它消费者再次消费。
  • 要实现一条消息可以被多个消费者消费,那么就要将多个消费者组成一个消费组,使得多个消费者可以消费同一条消息,但是 List 类型并不支持消费组的实现

这就要说起 Redis 从 5.0 版本开始提供的 Stream 数据类型了,Stream 同样能够满足消息队列的三大需求,而且它还支持「消费组」形式的消息读取。

Hash

Hash 是一个键值对(key - value)集合,其中 value 的形式如: value=[{field1,value1},...{fieldN,valueN}]。Hash 特别适合用于存储对象。

Hash 与 String 对象的区别如下图所示:

img

内部实现

底层数据结构是压缩列表或者哈希表

  • 如果哈希类型元素个数小于 512 个(默认值,可由 hash-max-ziplist-entries 配置),所有值小于 64 字节(默认值,可由 hash-max-ziplist-value 配置)的话,Redis 会使用压缩列表作为 Hash 类型的底层数据结构;
  • 如果哈希类型元素不满足上面条件,Redis 会使用哈希表作为 Hash 类型的底层数据结构。

在 Redis 7.0 中,压缩列表数据结构已经废弃了,交由 listpack 数据结构来实现了

应用场景

缓存对象

在介绍 String 类型的应用场景时有所介绍,String + Json也是存储对象的一种方式,那么存储对象时,到底用 String + json 还是用 Hash 呢?

一般对象用 String + Json 存储,对象中某些频繁变化的属性可以考虑抽出来用 Hash 类型存储。

购物车

以用户 id 为 key,商品 id 为 field,商品数量为 value,恰好构成了购物车的3个要素,如下图所示。

img

涉及的命令如下:

  • 添加商品:HSET cart:{用户id} {商品id} 1
  • 添加数量:HINCRBY cart:{用户id} {商品id} 1
  • 商品总数:HLEN cart:{用户id}
  • 删除商品:HDEL cart:{用户id} {商品id}
  • 获取购物车所有商品:HGETALL cart:{用户id}

当前仅仅是将商品ID存储到了Redis 中,在回显商品具体信息的时候,还需要拿着商品 id 查询一次数据库,获取完整的商品的信息

Set

图片转存失败,建议将图片保存下来直接上传

Set 类型是一个无序并唯一的键值集合,它的存储顺序不会按照插入的先后顺序进行存储。

一个集合最多可以存储 2^32-1 个元素。概念和数学中个的集合基本类似,可以交集,并集,差集等等,所以 Set 类型除了支持集合内的增删改查,同时还支持多个集合取交集、并集、差集。

Set 类型和 List 类型的区别如下:

  • List 可以存储重复元素,Set 只能存储非重复元素;
  • List 是按照元素的先后顺序存储元素的,而 Set 则是无序方式存储元素的

内部实现

Set 类型的底层数据结构是由哈希表或整数集合实现的:

  • 如果集合中的元素都是整数且元素个数小于 512 (默认值,set-maxintset-entries配置)个,Redis 会使用整数集合作为 Set 类型的底层数据结构;
  • 如果集合中的元素不满足上面条件,则 Redis 使用哈希表作为 Set 类型的底层数据结构。

应用场景

集合的主要几个特性,无序、不可重复、支持并交差等操作。

因此 Set 类型比较适合用来数据去重和保障数据的唯一性,还可以用来统计多个集合的交集、错集和并集等,当我们存储的数据是无序并且需要去重的情况下,比较适合使用集合类型进行存储。

但是要提醒你一下,这里有一个潜在的风险。Set 的差集、并集和交集的计算复杂度较高,在数据量较大的情况下,如果直接执行这些计算,会导致 Redis 实例阻塞

在主从集群中,为了避免主库因为 Set 做聚合计算(交集、差集、并集)时导致主库被阻塞,我们可以选择一个从库完成聚合统计,或者把数据返回给客户端,由客户端来完成聚合统计。

点赞

Set 类型可以保证一个用户只能点一个赞,这里举例子一个场景,key 是文章id,value 是用户id。

uid:1uid:2uid:3 三个用户分别对 article:1 文章点赞了。

# uid:1 用户对文章 article:1 点赞

> SADD article:1 uid:1
(integer) 1

# uid:2 用户对文章 article:1 点赞

> SADD article:1 uid:2
(integer) 1

# uid:3 用户对文章 article:1 点赞

> SADD article:1 uid:3
(integer) 1

uid:1 取消了对 article:1 文章点赞。

> SREM article:1 uid:1
(integer) 1

获取 article:1 文章所有点赞用户 :

> SMEMBERS article:1
1) "uid:3"
2) "uid:2"

获取 article:1 文章的点赞用户数量:

> SCARD article:1
(integer) 2

判断用户 uid:1 是否对文章 article:1 点赞了:

> SISMEMBER article:1 uid:1
(integer) 0  # 返回0说明没点赞,返回1则说明点赞了

共同关注

Set 类型支持交集运算,所以可以用来计算共同关注的好友、公众号等。

key 可以是用户id,value 则是已关注的公众号的id。

uid:1 用户关注公众号 id 为 5、6、7、8、9,uid:2 用户关注公众号 id 为 7、8、9、10、11。

# uid:1 用户关注公众号 id 为 5、6、7、8、9

> SADD uid:1 5 6 7 8 9
(integer) 5

# uid:2  用户关注公众号 id 为 7、8、9、10、11

> SADD uid:2 7 8 9 10 11
(integer) 5

uid:1uid:2 共同关注的公众号:

# 获取共同关注

> SINTER uid:1 uid:2
1) "7"
2) "8"
3) "9"

uid:2 推荐 uid:1 关注的公众号:

> SDIFF uid:1 uid:2
1) "5"
2) "6"

验证某个公众号是否同时被 uid:1uid:2 关注:

> SISMEMBER uid:1 5
(integer) 1 # 返回0,说明关注了

> SISMEMBER uid:2 5
(integer) 0 # 返回0,说明没关注

抽奖活动

存储某活动中中奖的用户名 ,Set 类型因为有去重功能,可以保证同一个用户不会中奖两次。

key为抽奖活动名,value为员工名称,把所有员工名称放入抽奖箱 :

>SADD lucky Tom Jerry John Sean Marry Lindy Sary Mark
(integer) 5

如果允许重复中奖,可以使用 SRANDMEMBER 命令。

# 抽取 1 个一等奖:

> SRANDMEMBER lucky 1
1) "Tom"

# 抽取 2 个二等奖:

> SRANDMEMBER lucky 2
1) "Mark"
2) "Jerry"

# 抽取 3 个三等奖:

> SRANDMEMBER lucky 3
1) "Sary"
2) "Tom"
3) "Jerry"

如果不允许重复中奖,可以使用 SPOP 命令。

# 抽取一等奖1个

> SPOP lucky 1
1) "Sary"

# 抽取二等奖2个

> SPOP lucky 2
1) "Jerry"
2) "Mark"

# 抽取三等奖3个

> SPOP lucky 3
1) "John"
2) "Sean"
3) "Lindy"

ZSet

Zset 类型(有序集合类型)相比于 Set 类型多了一个排序属性 score(分值),对于有序集合 ZSet 来说,每个存储元素相当于有两个值组成的,一个是有序集合的元素值,一个是排序值。

有序集合保留了集合不能有重复成员的特性(分值可以重复),但不同的是,有序集合中的元素可以排序。

img

内部实现

Zset 类型的底层数据结构是由压缩列表或跳表实现的:

  • 如果有序集合的元素个数小于 128 个,并且每个元素的值小于 64 字节时,Redis 会使用压缩列表作为 Zset 类型的底层数据结构;
  • 如果有序集合的元素不满足上面的条件,Redis 会使用跳表作为 Zset 类型的底层数据结构;

在 Redis 7.0 中,压缩列表数据结构已经废弃了,交由 listpack 数据结构来实现了。

应用场景

Zset 类型(Sorted Set,有序集合) 可以根据元素的权重来排序,我们可以自己来决定每个元素的权重值。比如说,我们可以根据元素插入 Sorted Set 的时间确定权重值,先插入的元素权重小,后插入的元素权重大。

在面对需要展示最新列表、排行榜等场景时,如果数据更新频繁或者需要分页显示,可以优先考虑使用 Sorted Set。

排行榜

有序集合比较典型的使用场景就是排行榜。例如学生成绩的排名榜、游戏积分排行榜、视频播放排名、电商系统中商品的销量排名等。

我们以博文点赞排名为例,小林发表了五篇博文,分别获得赞为 200、40、100、50、150。

# arcticle:1 文章获得了200个赞

> ZADD user:xiaolin:ranking 200 arcticle:1
(integer) 1

# arcticle:2 文章获得了40个赞

> ZADD user:xiaolin:ranking 40 arcticle:2
(integer) 1

# arcticle:3 文章获得了100个赞

> ZADD user:xiaolin:ranking 100 arcticle:3
(integer) 1

# arcticle:4 文章获得了50个赞

> ZADD user:xiaolin:ranking 50 arcticle:4
(integer) 1

# arcticle:5 文章获得了150个赞

> ZADD user:xiaolin:ranking 150 arcticle:5
(integer) 1

文章 arcticle:4 新增一个赞,可以使用 ZINCRBY 命令(为有序集合key中元素member的分值加上increment):

> ZINCRBY user:xiaolin:ranking 1 arcticle:4
"51"

查看某篇文章的赞数,可以使用 ZSCORE 命令(返回有序集合key中元素个数):

> ZSCORE user:xiaolin:ranking arcticle:4
"50"

获取小林文章赞数最多的 3 篇文章,可以使用 ZREVRANGE 命令(倒序获取有序集合 key 从start下标到stop下标的元素):

# WITHSCORES 表示把 score 也显示出来

> ZREVRANGE user:xiaolin:ranking 0 2 WITHSCORES
1) "arcticle:1"
2) "200"
3) "arcticle:5"
4) "150"
5) "arcticle:3"
6) "100"

获取小林 100 赞到 200 赞的文章,可以使用 ZRANGEBYSCORE 命令(返回有序集合中指定分数区间内的成员,分数由低到高排序):

> ZRANGEBYSCORE user:xiaolin:ranking 100 200 WITHSCORES
1) "arcticle:3"
2) "100"
3) "arcticle:5"
4) "150"
5) "arcticle:1"
6) "200"

电话,姓名排序

使用有序集合的 ZRANGEBYLEXZREVRANGEBYLEX 可以帮助我们实现电话号码或姓名的排序,我们以 ZRANGEBYLEX (返回指定成员区间内的成员,按 key 正序排列,分数必须相同)为例。

注意:不要在分数不一致的 SortSet 集合中去使用 ZRANGEBYLEX和 ZREVRANGEBYLEX 指令,因为获取的结果会不准确。

1、电话排序

我们可以将电话号码存储到 SortSet 中,然后根据需要来获取号段:

> ZADD phone 0 13100111100 0 13110114300 0 13132110901 
(integer) 3

> ZADD phone 0 13200111100 0 13210414300 0 13252110901 
(integer) 3

> ZADD phone 0 13300111100 0 13310414300 0 13352110901 
(integer) 3

获取所有号码:

> ZRANGEBYLEX phone - +
1) "13100111100"
2) "13110114300"
3) "13132110901"
4) "13200111100"
5) "13210414300"
6) "13252110901"
7) "13300111100"
8) "13310414300"
9) "13352110901"

获取 132 号段的号码:

> ZRANGEBYLEX phone [132 (133
1) "13200111100"
2) "13210414300"
3) "13252110901"

获取132、133号段的号码:

> ZRANGEBYLEX phone [132 (134
1) "13200111100"
2) "13210414300"
3) "13252110901"
4) "13300111100"
5) "13310414300"
6) "13352110901"

2、姓名排序

> zadd names 0 Toumas 0 Jake 0 Bluetuo 0 Gaodeng 0 Aimini 0 Aidehua 
(integer) 6

获取所有人的名字:

> ZRANGEBYLEX names - +
1) "Aidehua"
2) "Aimini"
3) "Bluetuo"
4) "Gaodeng"
5) "Jake"
6) "Toumas"

获取名字中大写字母A开头的所有人:

> ZRANGEBYLEX names [A (B
1) "Aidehua"
2) "Aimini"

获取名字中大写字母 C 到 Z 的所有人:

> ZRANGEBYLEX names [C [Z
1) "Gaodeng"
2) "Jake"
3) "Toumas"

BitMap

Bitmap,即位图,是一串连续的二进制数组(0和1),可以通过偏移量(offset)定位元素。BitMap通过最小的单位bit来进行0|1的设置,表示某个元素的值或者状态,时间复杂度为O(1)。

由于 bit 是计算机中最小的单位,使用它进行储存将非常节省空间,特别适合一些数据量大且使用二值统计的场景

img

内部实现

Bitmap 本身是用 String 类型作为底层数据结构实现的一种统计二值状态的数据类型。

String 类型是会保存为二进制的字节数组,所以,Redis 就把字节数组的每个 bit 位利用起来,用来表示一个元素的二值状态,你可以把 Bitmap 看作是一个 bit 数组。

应用场景

Bitmap 类型非常适合二值状态统计的场景,这里的二值状态就是指集合元素的取值就只有 0 和 1 两种,在记录海量数据时,Bitmap 能够有效地节省内存空间

签到统计

在签到打卡的场景中,我们只用记录签到(1)或未签到(0),所以它就是非常典型的二值状态。

签到统计时,每个用户一天的签到用 1 个 bit 位就能表示,一个月(假设是 31 天)的签到情况用 31 个 bit 位就可以,而一年的签到也只需要用 365 个 bit 位,根本不用太复杂的集合类型。

假设我们要统计 ID 100 的用户在 2022 年 6 月份的签到情况,就可以按照下面的步骤进行操作。

第一步,执行下面的命令,记录该用户 6 月 3 号已签到。

SETBIT uid:sign:100:202206 2 1

第二步,检查该用户 6 月 3 日是否签到。

GETBIT uid:sign:100:202206 2 

第三步,统计该用户在 6 月份的签到次数。

BITCOUNT uid:sign:100:202206

这样,我们就知道该用户在 6 月份的签到情况了。

如何统计这个月首次打卡时间呢?

Redis 提供了 BITPOS key bitValue [start] [end]指令,返回数据表示 Bitmap 中第一个值为 bitValue 的 offset 位置。

在默认情况下, 命令将检测整个位图, 用户可以通过可选的 start 参数和 end 参数指定要检测的范围。所以我们可以通过执行这条命令来获取 userID = 100 在 2022 年 6 月份首次打卡日期:

BITPOS uid:sign:100:202206 1

需要注意的是,因为 offset 从 0 开始的,所以我们需要将返回的 value + 1

判断用户是否登录

Bitmap 提供了 GETBIT、SETBIT 操作,通过一个偏移值 offset 对 bit 数组的 offset 位置的 bit 位进行读写操作,需要注意的是 offset 从 0 开始。

只需要一个 key = login_status 表示存储用户登陆状态集合数据, 将用户 ID 作为 offset,在线就设置为 1,下线设置 0。通过 GETBIT判断对应的用户是否在线。 5000 万用户只需要 6 MB 的空间。

假如我们要判断 ID = 10086 的用户的登陆情况:

第一步,执行以下指令,表示用户已登录。

SETBIT login_status 10086 1

第二步,检查该用户是否登陆,返回值 1 表示已登录。

GETBIT login_status 10086

第三步,登出,将 offset 对应的 value 设置成 0。

SETBIT login_status 10086 0

连续签到用户总数

如何统计出这连续 7 天连续打卡用户总数呢?

我们把每天的日期作为 Bitmap 的 key,userId 作为 offset,若是打卡则将 offset 位置的 bit 设置成 1。

key 对应的集合的每个 bit 位的数据则是一个用户在该日期的打卡记录。

一共有 7 个这样的 Bitmap,如果我们能对这 7 个 Bitmap 的对应的 bit 位做 『与』运算。同样的 UserID offset 都是一样的,当一个 userID 在 7 个 Bitmap 对应的 offset 位置的 bit = 1 就说明该用户 7 天连续打卡。

结果保存到一个新 Bitmap 中,我们再通过 BITCOUNT 统计 bit = 1 的个数便得到了连续打卡 7 天的用户总数了。

Redis 提供了 BITOP operation destkey key [key ...]这个指令用于对一个或者多个 key 的 Bitmap 进行位元操作。

  • operation 可以是 andORNOTXOR。当 BITOP 处理不同长度的字符串时,较短的那个字符串所缺少的部分会被看作 0 。空的 key 也被看作是包含 0 的字符串序列。

假设要统计 3 天连续打卡的用户数,则是将三个 bitmap 进行 AND 操作,并将结果保存到 destmap 中,接着对 destmap 执行 BITCOUNT 统计,如下命令:

# 与操作
BITOP AND destmap bitmap:01 bitmap:02 bitmap:03

# 统计 bit 位 =  1 的个数
BITCOUNT destmap

即使一天产生一个亿的数据,Bitmap 占用的内存也不大,大约占 12 MB 的内存(10^8/8/1024/1024),7 天的 Bitmap 的内存开销约为 84 MB。同时我们最好给 Bitmap 设置过期时间,让 Redis 删除过期的打卡数据,节省内存

HyperLogLog

所以,简单来说 HyperLogLog 提供不精确的去重计数

HyperLogLog 的优点是,在输入元素的数量或者体积非常非常大时,计算基数所需的内存空间总是固定的、并且是很小的。

在 Redis 里面,每个 HyperLogLog 键只需要花费 12 KB 内存,就可以计算接近 2^64 个不同元素的基数,和元素越多就越耗费内存的 Set 和 Hash 类型相比,HyperLogLog 就非常节省空间。

内部实现

HyperLogLog 的实现涉及到很多数学问题

应用场景

Redis HyperLogLog 优势在于只需要花费 12 KB 内存,就可以计算接近 2^64 个元素的基数,和元素越多就越耗费内存的 Set 和 Hash 类型相比,HyperLogLog 就非常节省空间。

所以,非常适合统计百万级以上的网页 UV 的场景。

在统计 UV 时,你可以用 PFADD 命令(用于向 HyperLogLog 中添加新元素)把访问页面的每个用户都添加到 HyperLogLog 中。

PFADD page1:uv user1 user2 user3 user4 user5

接下来,就可以用 PFCOUNT 命令直接获得 page1 的 UV 值了,这个命令的作用就是返回 HyperLogLog 的统计结果。

PFCOUNT page1:uv

不过,有一点需要你注意一下,HyperLogLog 的统计规则是基于概率完成的,所以它给出的统计结果是有一定误差的,标准误算率是 0.81%。

这也就意味着,你使用 HyperLogLog 统计的 UV 是 100 万,但实际的 UV 可能是 101 万。虽然误差率不算大,但是,如果你需要精确统计结果的话,最好还是继续用 Set 或 Hash 类型。

所以我们这种小网站还是用Set或者Hash就行了,本来就没多少人访问,这样一搞等等直接误差太大了

GEO

Redis GEO 是 Redis 3.2 版本新增的数据类型,主要用于存储地理位置信息,并对存储的信息进行操作。

在日常生活中,我们越来越依赖搜索“附近的餐馆”、在打车软件上叫车,这些都离不开基于位置信息服务(Location-Based Service,LBS)的应用。LBS 应用访问的数据是和人或物关联的一组经纬度信息,而且要能查询相邻的经纬度范围,GEO 就非常适合应用在 LBS 服务的场景中

内部实现

GEO 本身并没有设计新的底层数据结构,而是直接使用了 Sorted Set 集合类型。

GEO 类型使用 GeoHash 编码方法实现了经纬度到 Sorted Set 中元素权重分数的转换,这其中的两个关键机制就是「对二维地图做区间划分」和「对区间进行编码」。一组经纬度落在某个区间后,就用区间的编码值来表示,并把编码值作为 Sorted Set 元素的权重分数。

这样一来,我们就可以把经纬度保存到 Sorted Set 中,利用 Sorted Set 提供的“按权重进行有序范围查找”的特性,实现 LBS 服务中频繁使用的“搜索附近”的需求。

应用场景

滴滴叫车

这里以滴滴叫车的场景为例,介绍下具体如何使用 GEO 命令:GEOADD 和 GEORADIUS 这两个命令。

假设车辆 ID 是 33,经纬度位置是(116.034579,39.030452),我们可以用一个 GEO 集合保存所有车辆的经纬度,集合 key 是 cars:locations。

执行下面的这个命令,就可以把 ID 号为 33 的车辆的当前经纬度位置存入 GEO 集合中:

GEOADD cars:locations 116.034579 39.030452 33

当用户想要寻找自己附近的网约车时,LBS 应用就可以使用 GEORADIUS 命令。

例如,LBS 应用执行下面的命令时,Redis 会根据输入的用户的经纬度信息(116.054579,39.030452 ),查找以这个经纬度为中心的 5 公里内的车辆信息,并返回给 LBS 应用。

GEORADIUS cars:locations 116.054579 39.030452 5 km ASC COUNT 10

Stream

Redis Stream 是 Redis 5.0 版本新增加的数据类型,Redis 专门为消息队列设计的数据类型。

在 Redis 5.0 Stream 没出来之前,消息队列的实现方式都有着各自的缺陷,例如:

  • 发布订阅模式,不能持久化也就无法可靠的保存消息,并且对于离线重连的客户端不能读取历史消息的缺陷;
  • List 实现消息队列的方式不能重复消费,一个消息消费完就会被删除,而且生产者需要自行实现全局唯一 ID。

基于以上问题,Redis 5.0 便推出了 Stream 类型也是此版本最重要的功能,用于完美地实现消息队列,它支持消息的持久化、支持自动生成全局唯一 ID、支持 ack 确认消息的模式、支持消费组模式等,让消息队列更加的稳定和可靠。

常见命令

Stream 消息队列操作命令:

  • XADD:插入消息,保证有序,可以自动生成全局唯一 ID;
  • XLEN :查询消息长度;
  • XREAD:用于读取消息,可以按 ID 读取数据;
  • XDEL : 根据消息 ID 删除消息;
  • DEL :删除整个 Stream;
  • XRANGE :读取区间消息
  • XREADGROUP:按消费组形式读取消息;
  • XPENDING 和 XACK:
    • XPENDING 命令可以用来查询每个消费组内所有消费者「已读取、但尚未确认」的消息;
    • XACK 命令用于向消息队列确认消息处理已完成;

应用场景

消息队列

生产者通过 XADD 命令插入一条消息:

# * 表示让 Redis 为插入的数据自动生成一个全局唯一的 ID

# 往名称为 mymq 的消息队列中插入一条消息,消息的键是 name,值是 xiaolin

> XADD mymq * name xiaolin
"1654254953808-0"

插入成功后会返回全局唯一的 ID:"1654254953808-0"。消息的全局唯一 ID 由两部分组成:

  • 第一部分“1654254953808”是数据插入时,以毫秒为单位计算的当前服务器时间;
  • 第二部分表示插入消息在当前毫秒内的消息序号,这是从 0 开始编号的。例如,“1654254953808-0”就表示在“1654254953808”毫秒内的第 1 条消息。

消费者通过 XREAD 命令从消息队列中读取消息时,可以指定一个消息 ID,并从这个消息 ID 的下一条消息开始进行读取(注意是输入消息 ID 的下一条信息开始读取,不是查询输入ID的消息)。

# 从 ID 号为 1654254953807-0 的消息开始,读取后续的所有消息(示例中一共 1 条)。

> XREAD STREAMS mymq 1654254953807-0
1) 1) "mymq"
   2) 1) 1) "1654254953808-0"
         2) 1) "name"
            2) "xiaolin"

如果想要实现阻塞读(当没有数据时,阻塞住),可以调用 XRAED 时设定 BLOCK 配置项,实现类似于 BRPOP 的阻塞读取操作。

比如,下面这命令,设置了 BLOCK 10000 的配置项,10000 的单位是毫秒,表明 XREAD 在读取最新消息时,如果没有消息到来,XREAD 将阻塞 10000 毫秒(即 10 秒),然后再返回。

# 命令最后的“$”符号表示读取最新的消息

> XREAD BLOCK 10000 STREAMS mymq $
(nil)
(10.00s)

Stream 的基础方法,使用 xadd 存入消息和 xread 循环阻塞读取消息的方式可以实现简易版的消息队列,

前面这些功能List数据结构也是可以支持的,接下来是stream的特别之处

Stream 可以以使用 XGROUP 创建消费组,创建消费组之后,Stream 可以使用 XREADGROUP 命令让消费组内的消费者读取消息。

创建两个消费组,这两个消费组消费的消息队列是 mymq,都指定从第一条消息开始读取:

# 创建一个名为 group1 的消费组,0-0 表示从第一条消息开始读取。

> XGROUP CREATE mymq group1 0-0
OK

# 创建一个名为 group2 的消费组,0-0 表示从第一条消息开始读取。

> XGROUP CREATE mymq group2 0-0
OK

消费组 group1 内的消费者 consumer1 从 mymq 消息队列中读取所有消息的命令如下:

# 命令最后的参数“>”,表示从第一条尚未被消费的消息开始读取。

> XREADGROUP GROUP group1 consumer1 STREAMS mymq >
1) 1) "mymq"
   2) 1) 1) "1654254953808-0"
         2) 1) "name"
            2) "xiaolin"

消息队列中的消息一旦被消费组里的一个消费者读取了,就不能再被该消费组内的其他消费者读取了,即同一个消费组里的消费者不能消费同一条消息

比如说,我们执行完刚才的 XREADGROUP 命令后,再执行一次同样的命令,此时读到的就是空值了:

> XREADGROUP GROUP group1 consumer1 STREAMS mymq >
(nil)

但是,不同消费组的消费者可以消费同一条消息(但是有前提条件,创建消息组的时候,不同消费组指定了相同位置开始读取消息)

比如说,刚才 group1 消费组里的 consumer1 消费者消费了一条 id 为 1654254953808-0 的消息,现在用 group2 消费组里的 consumer1 消费者消费消息:

> XREADGROUP GROUP group2 consumer1 STREAMS mymq >
1) 1) "mymq"
   2) 1) 1) "1654254953808-0"
         2) 1) "name"
            2) "xiaolin"

因为我创建两组的消费组都是从第一条消息开始读取,所以可以看到第二组的消费者依然可以消费 id 为 1654254953808-0 的这一条消息。因此,不同的消费组的消费者可以消费同一条消息。

使用消费组的目的是让组内的多个消费者共同分担读取消息,所以,我们通常会让每个消费者读取部分消息,从而实现消息读取负载在多个消费者间是均衡分布的。

例如,我们执行下列命令,让 group2 中的 consumer1、2、3 各自读取一条消息。

# 让 group2 中的 consumer1 从 mymq 消息队列中消费一条消息

> XREADGROUP GROUP group2 consumer1 COUNT 1 STREAMS mymq >
1) 1) "mymq"
   2) 1) 1) "1654254953808-0"
         2) 1) "name"
            2) "xiaolin"

# 让 group2 中的 consumer2 从 mymq 消息队列中消费一条消息

> XREADGROUP GROUP group2 consumer2 COUNT 1 STREAMS mymq >
1) 1) "mymq"
   2) 1) 1) "1654256265584-0"
         2) 1) "name"
            2) "xiaolincoding"

# 让 group2 中的 consumer3 从 mymq 消息队列中消费一条消息

> XREADGROUP GROUP group2 consumer3 COUNT 1 STREAMS mymq >
1) 1) "mymq"
   2) 1) 1) "1654256271337-0"
         2) 1) "name"
            2) "Tom"

与list不同的,基于 Stream 实现的消息队列,如何保证消费者在发生故障或宕机再次重启后,仍然可以读取未处理完的消息?

Streams 会自动使用内部队列(也称为 PENDING List)留存消费组里每个消费者读取的消息,直到消费者使用 XACK 命令通知 Streams“消息已经处理完成”。

消费确认增加了消息的可靠性,一般在业务处理完成之后,需要执行 XACK 命令确认消息已经被消费完成,

如果消费者没有成功处理消息,它就不会给 Streams 发送 XACK 命令,消息仍然会留存。此时,消费者可以在重启后,用 XPENDING 命令查看已读取、但尚未确认处理完成的消息

例如,我们来查看一下 group2 中各个消费者已读取、但尚未确认的消息个数,命令如下:

127.0.0.1:6379> XPENDING mymq group2
1) (integer) 3
2) "1654254953808-0"  # 表示 group2 中所有消费者读取的消息最小 ID
3) "1654256271337-0"  # 表示 group2 中所有消费者读取的消息最大 ID
4) 1) 1) "consumer1"
      2) "1"
   2) 1) "consumer2"
      2) "1"
   3) 1) "consumer3"
      2) "1"

如果想查看某个消费者具体读取了哪些数据,可以执行下面的命令:

# 查看 group2 里 consumer2 已从 mymq 消息队列中读取了哪些消息

> XPENDING mymq group2 - + 10 consumer2
1) 1) "1654256265584-0"
   2) "consumer2"
   3) (integer) 410700
   4) (integer) 1

可以看到,consumer2 已读取的消息的 ID 是 1654256265584-0。

一旦消息 1654256265584-0 被 consumer2 处理了,consumer2 就可以使用 XACK 命令通知 Streams,然后这条消息就会被删除

> XACK mymq group2 1654256265584-0
(integer) 1

当我们再使用 XPENDING 命令查看时,就可以看到,consumer2 已经没有已读取、但尚未确认处理的消息了。

> XPENDING mymq group2 - + 10 consumer2
(empty array)

好了,基于 Stream 实现的消息队列就说到这里了,小结一下:

  • 消息保序:XADD/XREAD
  • 阻塞读取:XREAD block
  • 重复消息处理:Stream 在使用 XADD 命令,会自动生成全局唯一 ID;
  • 消息可靠性:内部使用 PENDING List 自动保存消息,使用 XPENDING 命令查看消费组已经读取但是未被确认的消息,消费者使用 XACK 确认消息;
  • 支持消费组形式消费数据

那么这种消息队列与专门的消息队列有什么区别

  1. 是否会丢消息

Redis Stream 消息队列能不能保证三个环节都不丢失数据?

  • Redis 生产者会不会丢消息?生产者会不会丢消息,取决于生产者对于异常情况的处理是否合理。 从消息被生产出来,然后提交给 MQ 的过程中,只要能正常收到 ( MQ 中间件) 的 ack 确认响应,就表示发送成功,所以只要处理好返回值和异常,如果返回异常则进行消息重发,那么这个阶段是不会出现消息丢失的。

  • Redis 消费者会不会丢消息?不会,因为 Stream ( MQ 中间件)会自动使用内部队列(也称为 PENDING List)留存消费组里每个消费者读取的消息,但是未被确认的消息。消费者可以在重启后,用 XPENDING 命令查看已读取、但尚未确认处理完成的消息。等到消费者执行完业务逻辑后,再发送消费确认 XACK 命令,也能保证消息的不丢失。

  • Redis 消息中间件会不会丢消息?

    ,Redis 在以下 2 个场景下,都会导致数据丢失:

可以看到,Redis 在队列中间件环节无法保证消息不丢。像 RabbitMQ 或 Kafka 这类专业的队列中间件,在使用时是部署一个集群,生产者在发布消息时,队列中间件通常会写「多个节点」,也就是有多个副本,这样一来,即便其中一个节点挂了,也能保证集群的数据不丢失。

2、Redis Stream 消息可堆积吗?

Redis 的数据都存储在内存中,这就意味着一旦发生消息积压,则会导致 Redis 的内存持续增长,如果超过机器内存上限,就会面临被 OOM 的风险。

所以 Redis 的 Stream 提供了可以指定队列最大长度的功能,就是为了避免这种情况发生。

当指定队列最大长度时,队列长度超过上限后,旧消息会被删除,只保留固定长度的新消息。这么来看,Stream 在消息积压时,如果指定了最大长度,还是有可能丢失消息的。

但 Kafka、RabbitMQ 专业的消息队列它们的数据都是存储在磁盘上,当消息积压时,无非就是多占用一些磁盘空间。

因此,把 Redis 当作队列来使用时,会面临的 2 个问题:

  • Redis 本身可能会丢数据;
  • 面对消息挤压,内存资源会紧张;

所以,能不能将 Redis 作为消息队列来使用,关键看你的业务场景:

  • 如果你的业务场景足够简单,对于数据丢失不敏感,而且消息积压概率比较小的情况下,把 Redis 当作队列是完全可以的。
  • 如果你的业务有海量消息,消息积压的概率比较大,并且不能接受数据丢失,那么还是用专业的消息队列中间件吧。

Redis的发布订阅为什么不可以当做消息队列

发布订阅机制存在以下缺点,都是跟丢失数据有关:

  1. 发布/订阅机制没有基于任何数据类型实现,所以不具备「数据持久化」的能力,也就是发布/订阅机制的相关操作,不会写入到 RDB 和 AOF 中,当 Redis 宕机重启,发布/订阅机制的数据也会全部丢失。
  2. 发布订阅模式是“发后既忘”的工作模式,如果有订阅者离线重连之后不能消费之前的历史消息。
  3. 当消费端有一定的消息积压时,也就是生产者发送的消息,消费者消费不过来时,如果超过 32M 或者是 60s 内持续保持在 8M 以上,消费端会被强行断开,这个参数是在配置文件中设置的,默认值是 client-output-buffer-limit pubsub 32mb 8mb 60

数据类型和底层数据结构的关系(3.0和最新版)

图片转存失败,建议将图片保存下来直接上传

Redis数据结构相关QA

对象的结构示意图

image-20230316162533170

对象结构里包含的成员变量:

  • type,标识该对象是什么类型的对象(String 对象、 List 对象、Hash 对象、Set 对象和 Zset 对象);
  • encoding,标识该对象使用了哪种底层的数据结构;
  • ptr,指向底层数据结构的指针

我画了一张 Redis 键值对数据库的全景图,你就能清晰知道 Redis 对象和数据结构的关系了:

img

SDS

简单动态字符串

为什么不使用C语言字符串

  1. C语言字符串获取长度的时间复杂度为O(N)
  2. C语言字符串以**“\0”作为结尾,所以程序读入的“\0”**会被认为是结束,所以C语言无法保存二进制数据,只能保存文本数据
  3. 字符串操作函数不高效且不安全,比如有缓冲区溢出的风险,有可能会造成程序运行终止;

SDS的架构设计

下图就是 Redis 5.0 的 SDS 的数据结构:

img

  • len,记录了字符串长度。这样获取字符串长度的时候,只需要返回这个成员变量值就行,时间复杂度只需要 O(1)。
  • alloc,分配给字符数组的空间长度。这样在修改字符串的时候,可以通过 alloc - len 计算出剩余的空间大小,可以用来判断空间是否满足修改需求,如果不满足的话,就会自动将 SDS 的空间扩展至执行修改所需的大小,然后才执行实际的修改操作,所以使用 SDS 既不需要手动修改 SDS 的空间大小,也不会出现前面所说的缓冲区溢出的问题。
  • flags,用来表示不同类型的 SDS。一共设计了 5 种类型,分别是 sdshdr5、sdshdr8、sdshdr16、sdshdr32 和 sdshdr64,后面在说明区别之处。
  • buf[],字符数组,用来保存实际数据。不仅可以保存字符串,也可以保存二进制数据。

总的来说,Redis 的 SDS 结构在原本字符数组之上,增加了三个元数据:len、alloc、flags,用来解决 C 语言字符串的缺陷。

#O(1)复杂度获取字符串长度

C 语言的字符串长度获取 strlen 函数,需要通过遍历的方式来统计字符串长度,时间复杂度是 O(N)。

而 Redis 的 SDS 结构因为加入了 len 成员变量,那么获取字符串长度的时候,直接返回这个成员变量的值就行,所以复杂度只有 O(1)

#二进制安全

因为 SDS 不需要用 “\0” 字符来标识字符串结尾了,而是有个专门的 len 成员变量来记录长度,所以可存储包含 “\0” 的数据。但是 SDS 为了兼容部分 C 语言标准库的函数, SDS 字符串结尾还是会加上 “\0” 字符。

因此, SDS 的 API 都是以处理二进制的方式来处理 SDS 存放在 buf[] 里的数据,程序不会对其中的数据做任何限制,数据写入的时候时什么样的,它被读取时就是什么样的。

通过使用二进制安全的 SDS,而不是 C 字符串,使得 Redis 不仅可以保存文本数据,也可以保存任意格式的二进制数据。

#不会发生缓冲区溢出

C 语言的字符串标准库提供的字符串操作函数,大多数(比如 strcat 追加字符串函数)都是不安全的,因为这些函数把缓冲区大小是否满足操作需求的工作交由开发者来保证,程序内部并不会判断缓冲区大小是否足够用,当发生了缓冲区溢出就有可能造成程序异常结束。

所以,Redis 的 SDS 结构里引入了 alloc 和 len 成员变量,这样 SDS API 通过 alloc - len 计算,可以算出剩余可用的空间大小,这样在对字符串做修改操作的时候,就可以由程序内部判断缓冲区大小是否足够用。

而且,当判断出缓冲区大小不够用时,Redis 会自动将扩大 SDS 的空间大小,以满足修改所需的大小。

  • 如果所需的 sds 长度小于 1 MB,那么最后的扩容是按照翻倍扩容来执行的,即 2 倍的newlen
  • 如果所需的 sds 长度超过 1 MB,那么最后的扩容长度应该是 newlen + 1MB

在扩容 SDS 空间之前,SDS API 会优先检查未使用空间是否足够,如果不够的话,API 不仅会为 SDS 分配修改所必须要的空间,还会给 SDS 分配额外的「未使用空间」。

这样的好处是,下次在操作 SDS 时,如果 SDS 空间够的话,API 就会直接使用「未使用空间」,而无须执行内存分配,有效的减少内存分配次数

所以,使用 SDS 即不需要手动修改 SDS 的空间大小,也不会出现缓冲区溢出的问题

节省内存空间

flags表示的是SDS类型,分别是 sdshdr5、sdshdr8、sdshdr16、sdshdr32 和 sdshdr64

区别就在于,它们数据结构中的 len 和 alloc 成员变量的数据类型不同

越小占用的内存越小

除了设计不同类型的结构体,Redis 在编程上还使用了专门的编译优化来节省内存空间,即在 struct 声明了 __attribute__ ((packed)) ,它的作用是:告诉编译器取消结构体在编译过程中的优化对齐,按照实际占用字节数进行对齐

在以往的定义中,有优化对齐这么一个说法,比如定义一个char和一个int,即使char占1字节,但由于int占4字节,因此char也是占了4字节,声明了 __attribute__ ((packed))后,char只占1字节,int还是占4字节,但省了3字节的空间

双向链表

typedef struct list {
    //链表头节点
    listNode *head;
    //链表尾节点
    listNode *tail;
    //节点值复制函数
    void *(*dup)(void *ptr);
    //节点值释放函数
    void (*free)(void *ptr);
    //节点值比较函数
    int (*match)(void *ptr, void *key);
    //链表节点数量
    unsigned long len;
} list;

举个例子,下面是由 list 结构和 3 个 listNode 结构组成的链表。

图片转存失败,建议将图片保存下来直接上传

链表的优势与缺陷

优点

  • listNode 链表节点的结构里带有 prev 和 next 指针,获取某个节点的前置节点或后置节点的时间复杂度只需O(1),而且这两个指针都可以指向 NULL,所以链表是无环链表
  • list 结构因为提供了表头指针 head 和表尾节点 tail,所以获取链表的表头节点和表尾节点的时间复杂度只需O(1)
  • list 结构因为提供了链表节点数量 len,所以获取链表中的节点数量的时间复杂度只需O(1)
  • listNode 链表节使用 void* 指针保存节点值,并且可以通过 list 结构的 dup、free、match 函数指针为节点设置该节点类型特定的函数,因此链表节点可以保存各种不同类型的值

缺陷

  • 链表每个节点之间的内存都是不连续的,意味着无法很好利用 CPU 缓存。能很好利用 CPU 缓存的数据结构就是数组,因为数组的内存是连续的,这样就可以充分利用 CPU 缓存来加速访问。
  • 还有一点,保存一个链表节点的值都需要一个链表节点结构头的分配,内存开销较大

Redis3.0在数据量小时使用压缩列表,节省内存空间,但是有性能问题

3.2改用quicklist和双向链表

5.0使用新的数据结构listpack

压缩列表

压缩列表是 Redis 为了节约内存而开发的,它是由连续内存块组成的顺序型数据结构,有点类似于数组。

img

压缩列表在表头有三个字段:

  • zlbytes,记录整个压缩列表占用对内存字节数;
  • zltail,记录压缩列表「尾部」节点距离起始地址由多少字节,也就是列表尾的偏移量;
  • zllen,记录压缩列表包含的节点数量;
  • zlend,标记压缩列表的结束点,固定值 0xFF(十进制255)。

在压缩列表中,如果我们要查找定位第一个元素和最后一个元素,可以通过表头三个字段(zllen)的长度直接定位,复杂度是 O(1)。而查找其他元素时,就没有这么高效了,只能逐个查找,此时的复杂度就是 O(N) 了,因此压缩列表不适合保存过多的元素

另外,压缩列表节点(entry)的构成如下:

img

压缩列表节点包含三部分内容:

  • prevlen,记录了「前一个节点」的长度,目的是为了实现从后向前遍历;
  • encoding,记录了当前节点实际数据的「类型和长度」,类型主要有两种:字符串和整数。
  • data,记录了当前节点的实际数据,类型和长度都由 encoding 决定;

其中prevlen的空间大小是按照前一个结点的长度来算的

  • 如果前一个节点的长度小于 254 字节,那么 prevlen 属性需要用 1 字节的空间来保存这个长度值;
  • 如果前一个节点的长度大于等于 254 字节,那么 prevlen 属性需要用 5 字节的空间来保存这个长度值;

encoding 属性的空间大小跟数据是字符串还是整数,以及字符串的长度有关,如下图(下图中的 content 表示的是实际数据,即本文的 data 字段):

img

  • 如果当前节点的数据是整数,则 encoding 会使用 1 字节的空间进行编码,也就是 encoding 长度为 1 字节。通过 encoding 确认了整数类型,就可以确认整数数据的实际大小了,比如如果 encoding 编码确认了数据是 int16 整数,那么 data 的长度就是 int16 的大小。
  • 如果当前节点的数据是字符串,根据字符串的长度大小,encoding 会使用 1 字节/2字节/5字节的空间进行编码,encoding 编码的前两个 bit 表示数据的类型,后续的其他 bit 标识字符串数据的实际长度,即 data 的长度

连锁更新

压缩列表新增某个元素或修改某个元素时,如果空间不不够,压缩列表占用的内存空间就需要重新分配。而当新插入的元素较大时,可能会导致后续元素的 prevlen 占用空间都发生变化,从而引起「连锁更新」问题,导致每个元素的空间都要重新分配,造成访问压缩列表性能的下降

列表中有许多250-253字节的节点,因为这些节点小于254字节,所以他们后面的prevlen只用1字节即可,但是要是有一个进行更新了,多加了几个字节,比如说第一个变为255字节了,这样子后面那个的prevlen就需要5字节进行存储,而他自己是250字节,现在又加上4字节,自己也变为254字节了,这样子第三个也要更新了,这样下去带来的影响是巨大的

这就叫做连锁更新

缺陷

锁更新一旦发生,就会导致压缩列表占用的内存空间要多次重新分配,这就会直接影响到压缩列表的访问性能

所以说,虽然压缩列表紧凑型的内存布局能节省内存开销,但是如果保存的元素数量增加了,或是元素变大了,会导致内存重新分配,最糟糕的是会有「连锁更新」的问题

因此,压缩列表只会用于保存的节点数量不多的场景,只要节点数量足够小,即使发生连锁更新,也是能接受的。

虽说如此,Redis 针对压缩列表在设计上的不足,在后来的版本中,新增设计了两种数据结构:quicklist(Redis 3.2 引入) 和 listpack(Redis 5.0 引入)。这两种数据结构的设计目标,就是尽可能地保持压缩列表节省内存的优势,同时解决压缩列表的「连锁更新」的问题。

哈希表

能以 O(1) 的复杂度快速查询数据,Redis 采用了「链式哈希」来解决哈希冲突

结构设计

typedef struct dictht {
    //哈希表数组
    dictEntry **table;
    //哈希表大小
    unsigned long size;  
    //哈希表大小掩码,用于计算索引值
    unsigned long sizemask;
    //该哈希表已有的节点数量
    unsigned long used;
} dictht;

dictEntry的结构

typedef struct dictEntry {
    //键值对中的键
    void *key;
  
    //键值对中的值
    union {
        void *val;
        uint64_t u64;
        int64_t s64;
        double d;
    } v;
    //指向下一个哈希表节点,形成链表
    struct dictEntry *next;
} dictEntry;

其中,dictEntry中的union表明有些值时可以直接存放在dictEntry中的,也可以是一个指针指向对象的值,这么做就是节约空间

哈希冲突

key1 和 key9 对应到了相同的哈希桶中,就是哈希冲突

链式哈希

给哈希值相同的节点组成一个链表,

Redis的rehash实现原理

首先,Redis使用一个哈希表来保存所有键值对

image-20230510124557811

使用渐进式rehash

  1. 给哈希表2分配更大的空间,例如是当前哈希表1的2倍
  2. 把哈希表 1 中的数据重新映射并拷贝到哈希表 2 中;
  3. 释放哈希表 1 的空间。
  4. 重新建一个哈希表,设为2,原先的2设为1

拷贝数据时,每过来一个请求就进行一个哈希桶的拷贝,这样子既能正常处理请求,又能完成拷贝

PS:查询时,会先从表1查询,没有再查表2,增加时,只会在表2进行增加

rehash触发条件

  • 当负载因子大于等于 1 ,并且 Redis 没有在执行 bgsave 命令或者 bgrewiteaof 命令,也就是没有执行 RDB 快照或没有进行 AOF 重写的时候,就会进行 rehash 操作。
  • 当负载因子大于等于 5 时,此时说明哈希冲突非常严重了,不管有没有有在执行 RDB 快照或 AOF 重写,都会强制进行 rehash 操作

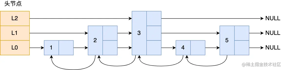
跳表

能支持平均 O(logN) 复杂度的节点查找

Zset 对象在执行数据插入或是数据更新的过程中,会依次在跳表和哈希表中插入或更新相应的数据,从而保证了跳表和哈希表中记录的信息一致。

Zset 对象能支持范围查询(如 ZRANGEBYSCORE 操作),这是因为它的数据结构设计采用了跳表,而又能以常数复杂度获取元素权重(如 ZSCORE 操作),这是因为它同时采用了哈希表进行索引。

结构设计

那跳表长什么样呢?我这里举个例子,下图展示了一个层级为 3 的跳表。

img

图中头节点有 L0~L2 三个头指针,分别指向了不同层级的节点,然后每个层级的节点都通过指针连接起来:

  • L0 层级共有 5 个节点,分别是节点1、2、3、4、5;
  • L1 层级共有 3 个节点,分别是节点 2、3、5;
  • L2 层级只有 1 个节点,也就是节点 3 。

如果我们要在链表中查找节点 4 这个元素,只能从头开始遍历链表,需要查找 4 次,而使用了跳表后,只需要查找 2 次就能定位到节点 4,因为可以在头节点直接从 L2 层级跳到节点 3,然后再往前遍历找到节点 4。

可以看到,这个查找过程就是在多个层级上跳来跳去,最后定位到元素。当数据量很大时,跳表的查找复杂度就是 O(logN)。

跳表结点的架构设计

typedef struct zskiplistNode {
    //Zset 对象的元素值
    sds ele;
    //元素权重值
    double score;
    //后向指针
    struct zskiplistNode *backward;
  
    //节点的level数组,保存每层上的前向指针和跨度
    struct zskiplistLevel {
        struct zskiplistNode *forward;
        unsigned long span;
    } level[];
} zskiplistNode;

每个跳表结点有个指向前一个结点的指针也有指向后一个结点的指针,但是指向后一个结点不一定就是后一个,说不定是后很多个,这时就用span(跨度)来表示,

跳表结构体

typedef struct zskiplist {
    struct zskiplistNode *header, *tail;
    unsigned long length;
    int level;
} zskiplist;

跳表结构里包含了:

  • 跳表的头尾节点,便于在O(1)时间复杂度内访问跳表的头节点和尾节点;
  • 跳表的长度,便于在O(1)时间复杂度获取跳表节点的数量;
  • 跳表的最大层数,便于在O(1)时间复杂度获取跳表中层高最大的那个节点的层数量

查询过程

会用跳表节点中的 SDS 类型的元素和元素的权重来进行判断,共有两个判断条件:

  • 如果当前节点的权重「小于」要查找的权重时,跳表就会访问该层上的下一个节点。称为条件1
  • 如果当前节点的权重「等于」要查找的权重时,并且当前节点的 SDS 类型数据「小于」要查找的数据时,跳表就会访问该层上的下一个节点。称为条件2

如果上面两个条件都不满足,或者下一个节点为空时,跳表就会使用目前遍历到的节点的 level 数组里的下一层指针,然后沿着下一层指针继续查找,这就相当于跳到了下一层接着查找。称为条件3

举个例子,下图有个 3 层级的跳表。

img

如果要查找「元素:abcd,权重:4」的节点,查找的过程是这样的

  • 先从头节点的最高层开始,L2 指向了「元素:abc,权重:3」节点,这个节点的权重比要查找节点的小,所以要访问该层上的下一个节点;触发条件1
  • 但是该层的下一个节点是空节点( leve[2]指向的是空节点),于是就会跳到「元素:abc,权重:3」节点的下一层去找,也就是 leve[1];触发条件3
  • 「元素:abc,权重:3」节点的 leve[1] 的下一个指针指向了「元素:abcde,权重:4」的节点,然后将其和要查找的节点比较。虽然「元素:abcde,权重:4」的节点的权重和要查找的权重相同,但是当前节点的 SDS 类型数据「大于」要查找的数据,所以会继续跳到「元素:abc,权重:3」节点的下一层去找,也就是 leve[0];触发条件3
  • 「元素:abc,权重:3」节点的 leve[0] 的上一个指针指向了「元素:abcd,权重:4」的节点,该节点正是要查找的节点,查询结束。

跳表节点层数设置

跳表的相邻两层的节点数量最理想的比例是 2:1,查找复杂度可以降低到 O(logN)

Redis是如何设置跳表结点层数的

跳表在创建节点时候,会生成范围为[0-1]的一个随机数,如果这个随机数小于 0.25(相当于概率 25%),那么层数就增加 1 层,然后继续生成下一个随机数,直到随机数的结果大于 0.25 结束,最终确定该节点的层数

其中,ZSKIPLIST_MAXLEVEL 定义的是最高的层数,Redis 7.0 定义为 32,Redis 5.0 定义为 64,Redis 3.0 定义为 32。

为什么用跳表不用平衡树

  • 从内存占用上来比较,跳表比平衡树更灵活一些。平衡树每个节点包含 2 个指针(分别指向左右子树),而跳表每个节点包含的指针数目平均为 1/(1-p),具体取决于参数 p 的大小。如果像 Redis里的实现一样,取 p=1/4,那么平均每个节点包含 1.33 个指针,比平衡树更有优势。
  • 在做范围查找的时候,跳表比平衡树操作要简单。在平衡树上,我们找到指定范围的小值之后,还需要以中序遍历的顺序继续寻找其它不超过大值的节点。如果不对平衡树进行一定的改造,这里的中序遍历并不容易实现。而在跳表上进行范围查找就非常简单,只需要在找到小值之后,对第 1 层链表进行若干步的遍历就可以实现。
  • 从算法实现难度上来比较,跳表比平衡树要简单得多。平衡树的插入和删除操作可能引发子树的调整,逻辑复杂,而跳表的插入和删除只需要修改相邻节点的指针,操作简单又快速。

整数集合

结构设计

typedef struct intset {
    //编码方式
    uint32_t encoding;
    //集合包含的元素数量
    uint32_t length;
    //保存元素的数组
    int8_t contents[];
} intset;
  • 如果 encoding 属性值为 INTSET_ENC_INT16,那么 contents 就是一个 int16_t 类型的数组,数组中每一个元素的类型都是 int16_t;
  • 如果 encoding 属性值为 INTSET_ENC_INT32,那么 contents 就是一个 int32_t 类型的数组,数组中每一个元素的类型都是 int32_t;
  • 如果 encoding 属性值为 INTSET_ENC_INT64,那么 contents 就是一个 int64_t 类型的数组,数组中每一个元素的类型都是 int64_t;

升级操作

在一个全是int_16的数组中添加一个int_32的数会怎么样,是的,会引起轰动,也就是升级

比如说数组的内容是1,2,3,这时65536也要来,本来每个人16位好好的,这下需要变为32位,

  1. 先计算需要的数组空间大小,也就是4x32 - 3 x 16 = 80
  2. 再在数组后扩充80位
  3. 将1,2,3变为32位,并且从后往前依次填充数组,PS:最后一个位置要留给新增加的元素

升级的好处

节省内存资源,只有在有大的来破坏了数组结构才需要额外内存

不支持降级操作

quicklist

Redis 3.2 的时候,List 对象的底层改由 quicklist 数据结构实现。

其实 quicklist 就是「双向链表 + 压缩列表」组合,因为一个 quicklist 就是一个链表,而链表中的每个元素又是一个压缩列表。

通过控制每个链表节点中的压缩列表的大小或者元素个数,来规避连锁更新的问题。因为压缩列表元素越少或越小,连锁更新带来的影响就越小,从而提供了更好的访问性能。

quicklist结构设计

typedef struct quicklist {
    //quicklist的链表头
    quicklistNode *head;      //quicklist的链表头
    //quicklist的链表尾
    quicklistNode *tail; 
    //所有压缩列表中的总元素个数
    unsigned long count;
    //quicklistNodes的个数
    unsigned long len;       
    ...
} quicklist;

quicklistNode结构定义

typedef struct quicklistNode {
    //前一个quicklistNode
    struct quicklistNode *prev;     //前一个quicklistNode
    //下一个quicklistNode
    struct quicklistNode *next;     //后一个quicklistNode
    //quicklistNode指向的压缩列表
    unsigned char *zl;              
    //压缩列表的的字节大小
    unsigned int sz;                
    //压缩列表的元素个数
    unsigned int count : 16;        //ziplist中的元素个数 
    ....
} quicklistNode;

quicklist 数据结构。

img

在向 quicklist 添加一个元素的时候,不会像普通的链表那样,直接新建一个链表节点。而是会检查插入位置的压缩列表是否能容纳该元素,如果能容纳就直接保存到 quicklistNode 结构里的压缩列表,如果不能容纳,才会新建一个新的 quicklistNode 结构。

quicklist 会控制 quicklistNode 结构里的压缩列表的大小或者元素个数,来规避潜在的连锁更新的风险,但是这并没有完全解决连锁更新的问题。

3.2后的quicklist(快速列表)为什么成为了list的底层数据结构

因为双向链表占用空间大,而压缩列表虽然占空间小,但是修改操作十分困难

quicklist既包含了双向链表又包含了压缩列表

listpack

Redis5.0后新增的数据结构

listpack 中每个节点不再包含前一个节点的长度了,压缩列表每个节点正因为需要保存前一个节点的长度字段,就会有连锁更新的隐患。

结构设计

listpack 结构:

img

每个 listpack 节点结构如下:

img

主要包含三个方面内容:

  • encoding,定义该元素的编码类型,会对不同长度的整数和字符串进行编码;
  • data,实际存放的数据;
  • len,encoding+data的总长度;

可以看到,listpack 没有压缩列表中记录前一个节点长度的字段了,listpack 只记录当前节点的长度,当我们向 listpack 加入一个新元素的时候,不会影响其他节点的长度字段的变化,从而避免了压缩列表的连锁更新问题

listpack为什么替代了压缩列表

不用记录前一个结点的长度,因此不用担心连锁更新问题

压缩列表的entry为什么要保存prevlen呢?listpack改成len之后不会影响功能吗?

压缩列表的 entry 保存 prevlen 是为了实现节点从后往前遍历,知道前一个节点的长度,就可以计算前一个节点的偏移量。lpDecodeBacklen函数,lpDecodeBacklen 函数就可以从当前列表项起始位置的指针开始,向左逐个字节解析,得到前一项的 entry-len 值。

Redis缓存设计

话不多说,发车!

图片

缓存更新策略有哪些

有时候,数据库中进行了数据的更新,这个时候缓存还不改变的话就会出现数据不一致问题,因此需要缓存更新策略

  1. 内存淘汰:Redis自动进行,到达设定的最大内存时,会自动剔除一些不重要的内存
  2. 超时剔除:当我们设置了ttl后,到期会自动进行剔除
  3. 主动更新:手动调用删除缓存,可以解决缓存和数据库不一致的问题

数据库缓存不一致解决方案

  1. Cache Aside Pattern(旁路缓存) 人工编码:谁更新了数据库,谁就对缓存也进行更新,称为双写方案
  2. Read/Write Through Pattern : 由系统本身完成,数据库与缓存的问题交由系统本身去处理
  3. Write Behind Caching Pattern:调用者只操作缓存,其他线程去异步处理数据库,实现最终一致

一般使用方案1。

人工编码面临的问题

  1. 删除缓存还是更新缓存
    • 删除缓存:可能突然有大量请求来到数据库,那么会造成数据库压力大
    • 更新缓存:可能中间压根就没人进行查询,无效写操作很多
  2. 如何保证缓存与数据库的操作的同时成功或失败?
    • 单体系统,将缓存与数据库操作放在一个事务
    • 分布式系统,利用TCC等分布式事务方案

应该先操作数据库,再删除缓存。要是先删除缓存的话,一个线程过来进行删除,然后另一个线程发现没有缓存就进行数据库查询并写入,然后前面的线程才把自己的缓存进行写入,也就是会造成缓存和数据库数据不一致问题

缓存穿透问题的解决思路

  • 缓存穿透 :缓存穿透是指客户端请求的数据在缓存中和数据库中都不存在,这样缓存永远不会生效,这些请求都会打到数据库。

有3种解决方案

  1. 缓存空对象:哪怕数据库中没有这个数据,我们也存入到缓存中,这样在redis中也能找到该数据了

    • 优点:实现简单,维护方便
    • 缺点:
      • 额外的内存消耗
      • 可能造成短期的不一致
  2. 布隆过滤:通过布隆过滤器判断要访问的数据是否存在,不存在直接返回,存在就打入Redis

    • 布隆过滤器由「初始值都为 0 的位图数组」和「 N 个哈希函数」两部分组成。我们在写入数据库数据时,在布隆过滤器里做个标记,这样下次查询数据是否在数据库时,只需要查询布隆过滤器,如果查询到数据没有被标记,说明不在数据库中。

    • 布隆过滤器会通过 3 个操作完成标记:

      • 第一步,使用 N 个哈希函数分别对数据做哈希计算,得到 N 个哈希值;
      • 第二步,将第一步得到的 N 个哈希值对位图数组的长度取模,得到每个哈希值在位图数组的对应位置。
      • 第三步,将每个哈希值在位图数组的对应位置的值设置为 1;
    • 举个例子:假设有一个位图数组长度为 8,哈希函数 3 个的布隆过滤器。

      1. x与三个哈希函数求值后分别为1,3,6

      2. 然后在位图数组上标记1,3,6为1

      3. 应用在查询时直接查询位图的1,3,6是否为全为1,是说明数据库大概率存在该数据,不是说明数据库一定不存在该数据,直接返回

      • 大概率存在的原因:存在哈希冲突,比如另一个y也是1,3,6,这时布隆过滤器就会误以为x在

    • 优点:内存占用较少,没有多余key
    • 缺点:
      • 实现复杂
      • 存在误判可能
  3. 非法请求的限制:当有大量恶意请求访问不存在的数据的时候,也会发生缓存穿透,因此在 API 入口处我们要判断求请求参数是否合理,请求参数是否含有非法值、请求字段是否存在,如果判断出是恶意请求就直接返回错误,避免进一步访问缓存和数据库。

缓存雪崩问题及解决思路

缓存雪崩是指在同一时段大量的缓存key同时失效或者Redis服务宕机,导致大量请求到达数据库,带来巨大压力。

同一时段大量的缓存key同时失效解决方案:

  • 给不同的Key的TTL添加随机值
  • 给业务添加多级缓存
  • 后台更新缓存
    • 业务线程不用自己去更新缓存,而是交给一个后台线程定时去更新缓存,而且缓存不设置过期时间,但是缓存还是有可能被redis的内存淘汰策略淘汰掉,2种方式解决
      • 后台线程不仅负责定时更新缓存,而且也负责频繁地检测缓存是否有效,检测到缓存失效了,原因可能是系统紧张而被淘汰的,于是就要马上从数据库读取数据,并更新到缓存。这种方式的检测时间间隔不能太长,太长也导致用户获取的数据是一个空值而不是真正的数据,所以检测的间隔最好是毫秒级的,但是总归是有个间隔时间,用户体验一般。
      • 在业务线程发现缓存数据失效后(缓存数据被淘汰),通过消息队列发送一条消息通知后台线程更新缓存,后台线程收到消息后,在更新缓存前可以判断缓存是否存在,存在就不执行更新缓存操作;不存在就读取数据库数据,并将数据加载到缓存。这种方式相比第一种方式缓存的更新会更及时,用户体验也比较好。
      • 因此需要做好缓存预热
  • 互斥锁
    • 在一个线程查询缓存时未命中就拿到锁,后续的线程在查询时拿不到锁的话就要休眠一小会儿,然后第一个线程在数据库查询后将结果返回到缓存,这样其他线程就能直接查询缓存中的数据了,需要给锁设置超时时间
  • 双key策略
    • 主key设置过期时间,备key不设置过期时间,当应用查询缓存时找不到主key,那就直接返回备key的数据,后续再通知后台线程重新构建主key,
  • 设置缓存不过期: 我们可以通过后台服务来更新缓存数据,从而避免因为缓存失效造成的缓存雪崩,也可以在一定程度上避免缓存并发问题

Redis故障宕机解决方案:

  • 服务熔断或请求限流机制

    • 因为 Redis 故障宕机而导致缓存雪崩问题时,我们可以启动服务熔断机制,暂停业务应用对缓存服务的访问,直接返回错误,不用再继续访问数据库,从而降低对数据库的访问压力,保证数据库系统的正常运行,然后等到 Redis 恢复正常后,再允许业务应用访问缓存服务。

      服务熔断机制是保护数据库的正常允许,但是暂停了业务应用访问缓存服系统,全部业务都无法正常工作

      为了减少对业务的影响,我们可以启用请求限流机制,只将少部分请求发送到数据库进行处理,再多的请求就在入口直接拒绝服务,等到 Redis 恢复正常并把缓存预热完后,再解除请求限流的机制。

  • 构建高可用集群

    • 服务熔断或请求限流机制是缓存雪崩发生后的应对方案,我们最好通过主从节点的方式构建 Redis 缓存高可靠集群

      如果 Redis 缓存的主节点故障宕机,从节点可以切换成为主节点,继续提供缓存服务,避免了由于 Redis 故障宕机而导致的缓存雪崩问题。

缓存击穿问题及解决思路

就是一个被高并发访问并且缓存重建业务较复杂的key突然失效了,无数的请求访问会在瞬间给数据库带来巨大的冲击。

解决方案

  1. 互斥锁:在一个线程查询缓存时未命中就拿到锁,后续的线程在查询时拿不到锁的话就要休眠一小会儿,然后第一个线程在数据库查询后将结果返回到缓存,这样其他线程就能直接查询缓存中的数据了,需要给锁设置超时时间
    • 这里我判断有锁的话需要进行方法重入,因此叫做重试机制
  2. 逻辑过期:设置过期时间并不会删除缓存,而是存在value中,当线程1判断value已经过期了,就另外开一个线程2去进行查询数据库并写入最新数据到缓存中,线程1直接返回缓存中过期的数据,这时又来个线程3,要是线程2还没执行完,那么线程3返回的也是旧数据

对比:

  1. 互斥锁:由于保证了互斥性,所以数据一致,且实现简单,因为仅仅只需要加一把锁而已,也没其他的事情需要操心,所以没有额外的内存消耗,缺点在于有锁就有死锁问题的发生,且只能串行执行性能肯定受到影响
  2. 逻辑过期:线程读取过程中不需要等待,性能好,有一个额外的线程持有锁去进行重构数据,但是在重构数据完成前,其他的线程只能返回之前的数据,且实现起来麻烦

如何设计一个缓存策略,可以动态缓存热点数据呢?

由于数据存储受限,系统并不是将所有数据都需要存放到缓存中的,而只是将其中一部分热点数据缓存起来,所以我们要设计一个热点数据动态缓存的策略。

热点数据动态缓存的策略总体思路:通过数据最新访问时间来做排名,并过滤掉不常访问的数据,只留下经常访问的数据

以电商平台场景中的例子,现在要求只缓存用户经常访问的 Top 1000 的商品。具体细节如下:

  • 先通过缓存系统做一个排序队列(比如存放 1000 个商品),系统会根据商品的访问时间,更新队列信息,越是最近访问的商品排名越靠前;
  • 同时系统会定期过滤掉队列中排名最后的 200 个商品,然后再从数据库中随机读取出 200 个商品加入队列中;
  • 这样当请求每次到达的时候,会先从队列中获取商品 ID,如果命中,就根据 ID 再从另一个缓存数据结构中读取实际的商品信息,并返回。

在 Redis 中可以用 zadd 方法和 zrange 方法来完成排序队列和获取 200 个商品的操作。

说说常见的缓存更新策略

  • Cache Aside(旁路缓存)策略;
  • Read/Write Through(读穿 / 写穿)策略;
  • Write Back(写回)策略;

实际开发中,Redis 和 MySQL 的更新策略用的是 Cache Aside,另外两种策略应用不了。

Cache Aside(旁路缓存)策略

Cache Aside(旁路缓存)策略是最常用的,应用程序直接与「数据库、缓存」交互,并负责对缓存的维护,该策略又可以细分为「读策略」和「写策略」。

写策略的步骤:

  • 先更新数据库中的数据,再删除缓存中的数据。

读策略的步骤:

  • 如果读取的数据命中了缓存,则直接返回数据;
  • 如果读取的数据没有命中缓存,则从数据库中读取数据,然后将数据写入到缓存,并且返回给用户。

注意,写策略的步骤的顺序不能倒过来,即不能先删除缓存再更新数据库,原因是在「读+写」并发的时候,会出现缓存和数据库的数据不一致性的问题。可以使用延迟双删解决

延迟双删

  • 延迟双删实现的伪代码如下:

    #删除缓存
    redis.delKey(X)
    #更新数据库
    db.update(X)
    #睡眠
    Thread.sleep(N)
    #再删除缓存
    redis.delKey(X)
    

    加了个睡眠时间,主要是为了确保请求 A 在睡眠的时候,请求 B 能够在这这一段时间完成「从数据库读取数据,再把缺失的缓存写入缓存」的操作,然后请求 A 睡眠完,再删除缓存。

    所以,请求 A 的睡眠时间就需要大于请求 B 「从数据库读取数据 + 写入缓存」的时间。

    但是具体睡眠多久其实是个玄学,很难评估出来,所以这个方案也只是尽可能保证一致性而已,而且缓存命中率会很差。极端情况下,依然也会出现缓存不一致的现象。

其实先更新数据库再删除缓存也会有数据不一致的问题,只是由于缓存的写入通常要远远快于数据库的写入所以这种概率很小罢了

先说下更新数据库并更新缓存的弊端

  1. 可能会出现类似于Java中对共享变量的线程安全问题
  2. 请求A在更新,后来的请求B也在更新,但是请求B更新速度快,先把缓存进行更新了,这时请求A再更新就会造成有误,需要加上分布式锁来保证同一时间只允许一个线程更新缓存,但其实这样性能也很低

Cache Aside 策略适合读多写少的场景,不适合写多的场景,因为当写入比较频繁时,缓存中的数据会被频繁地清理,这样会对缓存的命中率有一些影响。如果业务对缓存命中率有严格的要求,那么可以考虑两种解决方案:

  • 一种做法是在更新数据时也更新缓存,只是在更新缓存前先加一个分布式锁,因为这样在同一时间只允许一个线程更新缓存,就不会产生并发问题了。当然这么做对于写入的性能会有一些影响;
  • 另一种做法同样也是在更新数据时更新缓存,只是给缓存加一个较短的过期时间,这样即使出现缓存不一致的情况,缓存的数据也会很快过期,对业务的影响也是可以接受。

旁路缓存策略造成的缓存未命中解决方案

写步骤可以改为,更新数据库中的数据后更新缓存而不是删除缓存

但是会出现问题,线程1set age = 18,线程2 set age = 19,这时线程2不知道为啥比线程1快,于是缓存先更新为19后更新为18,这时候缓存中的数据跟数据库中的就不一致了

但在两个更新请求并发执行的时候,会出现数据不一致的问题

因此提供2种方案解决

  • 在更新缓存前先加个分布式锁,保证同一时间只运行一个请求更新缓存,就会不会产生并发问题了,当然引入了锁后,对于写入的性能就会带来影响。
  • 在更新完缓存时,给缓存加上较短的过期时间,这样即时出现缓存不一致的情况,缓存的数据也会很快过期,对业务还是能接受的。

如何解决更新数据库中的数据,再删除缓存中的数据两个都执行成功

应用要把数据 X 的值从 1 更新为 2,先成功更新了数据库,然后在 Redis 缓存中删除 X 的缓存,但是这个操作却失败了,这个时候数据库中 X 的新值为 2,Redis 中的 X 的缓存值为 1,出现了数据库和缓存数据不一致的问题。

那么,后续有访问数据 X 的请求,会先在 Redis 中查询,因为缓存并没有 诶删除,所以会缓存命中,但是读到的却是旧值 1。

其实不管是先操作数据库,还是先操作缓存,只要第二个操作失败都会出现数据一致的问题。

问题原因知道了,该怎么解决呢?有两种方法:

  • 重试机制。
  • 订阅 MySQL binlog,再操作缓存。

重试机制

我们可以引入消息队列,将第二个操作(删除缓存)要操作的数据加入到消息队列,由消费者来操作数据。

  • 如果应用删除缓存失败,可以从消息队列中重新读取数据,然后再次删除缓存,这个就是重试机制。当然,如果重试超过的一定次数,还是没有成功,我们就需要向业务层发送报错信息了。
  • 如果删除缓存成功,就要把数据从消息队列中移除,避免重复操作,否则就继续重试。

举个例子,来说明重试机制的过程。

图片

订阅 MySQL binlog,再操作缓存

先更新数据库,再删缓存」的策略的第一步是更新数据库,那么更新数据库成功,就会产生一条变更日志,记录在 binlog 里。

于是我们就可以通过订阅 binlog 日志,拿到具体要操作的数据,然后再执行缓存删除,阿里巴巴开源的 Canal 中间件就是基于这个实现的。

Canal 模拟 MySQL 主从复制的交互协议,把自己伪装成一个 MySQL 的从节点,向 MySQL 主节点发送 dump 请求,MySQL 收到请求后,就会开始推送 Binlog 给 Canal,Canal 解析 Binlog 字节流之后,转换为便于读取的结构化数据,供下游程序订阅使用。

下图是 Canal 的工作原理:

图片

所以,如果要想保证「先更新数据库,再删缓存」策略第二个操作能执行成功,我们可以使用「消息队列来重试缓存的删除」,或者「订阅 MySQL binlog 再操作缓存」,这两种方法有一个共同的特点,都是采用异步操作缓存。

Mysql订阅binlog会出现删除延迟,如何解决

  1. 重试机制

我们可以引入消息队列,将要操作的数据加入到消息队列,由消费者来操作数据。如果删除缓存失败,可以从消息队列中重新读取数据,然后再次删除缓存,这个就是重试机制。

具体实现方式为:订阅MySQL binlog,将需要更新的数据加入到消息队列中,由消费者从消息队列中读取数据并处理。如果删除缓存失败,将数据重新加入到消息队列中,等待再次尝试。当然,如果重试超过一定次数还是没有成功,就需要向业务层发送报错信息了。

  1. 级联删除

另一种解决方案是级联删除,即在删除MySQL数据时,直接向消息队列中发送一个指令,告诉消费者删除对应的Redis缓存数据。

具体实现方式为:订阅MySQL binlog,当需要删除一个数据时,先更新MySQL数据库中的数据,然后发送一个指令给消息队列,告诉消费者删除对应的Redis缓存数据。消费者收到指令后,直接删除Redis中的缓存数据。

Read/Write Through(读穿 / 写穿)策略

Read/Write Through(读穿 / 写穿)策略原则是应用程序只和缓存交互,不再和数据库交互,而是由缓存和数据库交互,相当于更新数据库的操作由缓存自己代理了。

  1. Read Through 策略
    • 先查询缓存中数据是否存在,如果存在则直接返回,如果不存在,则由缓存组件负责从数据库查询数据,并将结果写入到缓存组件,最后缓存组件将数据返回给应用。
  2. Write Through 策略
    • 当有数据更新的时候,先查询要写入的数据在缓存中是否已经存在:
      • 如果缓存中数据已经存在,则更新缓存中的数据,并且由缓存组件同步更新到数据库中,然后缓存组件告知应用程序更新完成。
      • 如果缓存中数据不存在,直接更新数据库,然后返回;

Read Through/Write Through 策略的特点是由缓存节点而非应用程序来和数据库打交道,在我们开发过程中相比 Cache Aside 策略要少见一些,原因是我们经常使用的分布式缓存组件,无论是 Memcached 还是 Redis 都不提供写入数据库和自动加载数据库中的数据的功能。而我们在使用本地缓存的时候可以考虑使用这种策略。

事想一下,不就是一个Map吗。在类初始化时,从数据库查询到数据并填充到map中去,然后后续的应用程序基于此map进行操作,没数据的话再去数据库查询

Write Back(写回)策略

Write Back(写回)策略在更新数据的时候,只更新缓存,同时将缓存数据设置为脏的,然后立马返回,并不会更新数据库。对于数据库的更新,会通过批量异步更新的方式进行。

实际上,Write Back(写回)策略也不能应用到我们常用的数据库和缓存的场景中,因为 Redis 并没有异步更新数据库的功能。

Write Back 是计算机体系结构中的设计,比如 CPU 的缓存、操作系统中文件系统的缓存都采用了 Write Back(写回)策略。

Write Back 策略特别适合写多的场景,因为发生写操作的时候, 只需要更新缓存,就立马返回了。比如,写文件的时候,实际上是写入到文件系统的缓存就返回了,并不会写磁盘。

但是带来的问题是,数据不是强一致性的,而且会有数据丢失的风险,因为缓存一般使用内存,而内存是非持久化的,所以一旦缓存机器掉电,就会造成原本缓存中的脏数据丢失。所以你会发现系统在掉电之后,之前写入的文件会有部分丢失,就是因为 Page Cache 还没有来得及刷盘造成的。

Redis单线程相关QA

Redis是单线程吗

Redis 单线程指的是「接收客户端请求->解析请求 ->进行数据读写等操作->发送数据给客户端」这个过程是由一个线程(主线程)来完成的

但是Redis并不是严格上的单线程,Redis启动后,会启动后台线程

  • Redis 在 2.6 版本,会启动 2 个后台线程,分别处理关闭文件、AOF 刷盘这两个任务;
  • Redis 在 4.0 版本之后,新增了一个新的后台线程,用来异步释放 Redis 内存,也就是 lazyfree 线程。例如执行 unlink key / flushdb async / flushall async 等命令,会把这些删除操作交给后台线程来执行,好处是不会导致 Redis 主线程卡顿。因此,当我们要删除一个大 key 的时候,不要使用 del 命令删除,因为 del 是在主线程处理的,这样会导致 Redis 主线程卡顿,因此我们应该使用 unlink 命令来异步删除大key。

将一些耗时的操作交给其他线程去执行,就不会导致主线程的阻塞,其实就相当于任务队列,在执行相关操作时,其他线程监听任务队列,一有任务就进行消费

关闭文件、AOF 刷盘、释放内存这三个任务都有各自的任务队列:

  • BIO_CLOSE_FILE,关闭文件任务队列:当队列有任务后,后台线程会调用 close(fd) ,将文件关闭;
  • BIO_AOF_FSYNC,AOF刷盘任务队列:当 AOF 日志配置成 everysec 选项后,主线程会把 AOF 写日志操作封装成一个任务,也放到队列中。当发现队列有任务后,后台线程会调用 fsync(fd),将 AOF 文件刷盘,
  • BIO_LAZY_FREE,lazy free 任务队列:当队列有任务后,后台线程会 free(obj) 释放对象 / free(dict) 删除数据库所有对象 / free(skiplist) 释放跳表对象;

Redis单线程的架构

image-20230313161346523

Redis 初始化的时候,会做下面这几件事情:

  • 首先,调用 epoll_create() 创建一个 epoll 对象和调用 socket() 创建一个服务端 socket
  • 然后,调用 bind() 绑定端口和调用 listen() 监听该 socket;
  • 然后,将调用 epoll_ctl() 将 listen socket 加入到 epoll,同时注册「连接事件」处理函数

初始化完后,主线程就进入到一个事件循环函数,主要会做以下事情:

  • 首先,先调用处理发送队列函数,看是发送队列里是否有任务,如果有发送任务,则通过 write 函数将客户端发送缓存区里的数据发送出去,如果这一轮数据没有发送完,就会注册写事件处理函数,等待 epoll_wait 发现可写后再处理 。
  • 接着,调用 epoll_wait 函数等待事件的到来:
    • 如果是连接事件到来,则会调用连接事件处理函数,该函数会做这些事情:调用 accpet 获取已连接的 socket -> 调用 epoll_ctl 将已连接的 socket 加入到 epoll -> 注册「读事件」处理函数;
    • 如果是读事件到来,则会调用读事件处理函数,该函数会做这些事情:调用 read 获取客户端发送的数据 -> 解析命令 -> 处理命令 -> 将客户端对象添加到发送队列 -> 将执行结果写到发送缓存区等待发送;
    • 如果是写事件到来,则会调用写事件处理函数,该函数会做这些事情:通过 write 函数将客户端发送缓存区里的数据发送出去,如果这一轮数据没有发送完,就会继续注册写事件处理函数,等待 epoll_wait 发现可写后再处理 。

感觉没理解啊,好烦啊

Redis作为单线程为什么这么快

  1. Redis大部分在内存上完成,而且使用了高效的数据结构
  2. 采用了linux的多路复用模型,使其在网络 IO 操作中能并发处理大量的客户端请求
  3. 采用单线程,避免了不必要的上下文切换和竞争条件,也不存在多进程或者多线程导致的切换而消耗 CPU不用去考虑各种锁的问题,不存在加锁释放锁操作,没有因为可能出现死锁而导致的性能消耗;

注意:Redis需要在非阻塞模式下才能使用多路复用模型

你说到了多路复用模型,那你谈谈什么是多路复用模型

有3种,select(window,32位机器上限是1024)、poll(linux)、epoll

多路复用机制允许内核中,同时存在多个监听套接字和已连接套接字

内核会一直监听这些套接字上的连接请求或数据请求。一旦有请求到达,就会交给 Redis 线程处理,这就实现了一个 Redis 线程处理多个IO 流的效果。

select/epoll 一旦监测到 FD(文件描述符) 上有请求到达时,就会触发相应的事件。这些事件会被放进一个事件队列,Redis 单线程对该事件队列不断进行处理。这样一来,Redis 无需一直轮询是否有请求实际发生,这就可以避免造成 CPU 资源浪费。

为了在请求到达时能通知到 Redis 线程,select/epoll 提供了基于事件的回调机制,即针对不同事件的发生,调用相应的处理函数。

这就像病人去医院瞧病。在医生实际诊断前,每个病人(等同于请求)都需要先分诊、测体温、登记等。如果这些工作都由医生来完成,医生的工作效率就会很低。所以,医院都设置了分诊台,分诊台会一直处理这些诊断前的工作(类似于 Linux 内核监听请求),然后再转交给医生做实际诊断。这样即使一个医生(相当于 Redis 单线程),效率也能提升。

Redis 6.0 之前为什么使用单线程?

  1. CPU 并不是制约 Redis 性能表现的瓶颈所在,更多情况下是受到内存大小和网络I/O的限制
  2. 多线程可能增加了系统复杂度、同时可能存在线程切换、甚至加锁解锁、死锁造成的性能损耗

Redis 6.0 之后为什么引入了多线程

对于命令的执行还是单线程,对于网络 I/O 采用多线程来处理。

Redis 官方表示,Redis 6.0 版本引入的多线程 I/O 特性对性能提升至少是一倍以上

Redis 6.0 版本支持的 I/O 多线程特性,默认情况下 I/O 多线程只针对发送响应数据(write client socket),并不会以多线程的方式处理读请求(read client socket)。要想开启多线程处理客户端读请求,就需要把 Redis.conf 配置文件中的 io-threads-do-reads 配置项设为 yes。

关于线程数的设置,官方的建议是如果为 4 核的 CPU,建议线程数设置为 2 或 3,如果为 8 核 CPU 建议线程数设置为 6,线程数一定要小于机器核数,线程数并不是越大越好。

因此, Redis 6.0 版本之后,Redis 在启动的时候,默认情况下会额外创建 6 个线程这里的线程数不包括主线程):

  • Redis-server : Redis的主线程,主要负责执行命令;
  • bio_close_file、bio_aof_fsync、bio_lazy_free:三个后台线程,分别异步处理关闭文件任务、AOF刷盘任务、释放内存任务;
  • io_thd_1、io_thd_2、io_thd_3:三个 I/O 线程,io-threads 默认是 4 ,所以会启动 3(4-1)个 I/O 多线程,用来分担 Redis 网络 I/O 的压力

Redis持久化

Redis如何保证数据不丢失

Redis 共有三种数据持久化的方式:

  • AOF 日志:每执行一条写操作命令,就把该命令以追加的方式写入到一个文件里;
  • RDB 快照:将某一时刻的内存数据,以二进制的方式写入磁盘;
  • 混合持久化方式:Redis 4.0 新增的方式,集成了 AOF 和 RDB 的优点;

AOF如何开启

在Redis.conf中进行如下配置即可

图片转存失败,建议将图片保存下来直接上传

AOF 日志是如何实现的?

先将数据写到内存中再写到AOF日志中

为什么先写内存再写日志呢

  • 避免额外的检查开销:因为如果先将写操作命令记录到 AOF 日志里,再执行该命令的话,如果当前的命令语法有问题,那么如果不进行命令语法检查,该错误的命令记录到 AOF 日志里后,Redis 在使用日志恢复数据时,就可能会出错。
  • 不会阻塞当前写操作命令的执行:因为当写操作命令执行成功后,才会将命令记录到 AOF 日志。

带来的风险

  • 数据可能会丢失: 执行写操作命令和记录日志是两个过程,那当 Redis 在还没来得及将命令写入到硬盘时,服务器发生宕机了,这个数据就会有丢失的风险。
  • 可能阻塞其他操作: 由于写操作命令执行成功后才记录到 AOF 日志,所以不会阻塞当前命令的执行,但因为 AOF 日志也是在主线程中执行,所以当 Redis 把日志文件写入磁盘的时候,还是会阻塞后续的操作无法执行。

AOF写回策略有几种咧

Redis写AOF日志的过程

  1. Redis 执行完写操作命令后,会将命令追加到 server.aof_buf 缓冲区;
  2. 然后通过 write() 系统调用,将 aof_buf 缓冲区的数据写入到 AOF 文件,此时数据并没有写入到硬盘,而是拷贝到了内核缓冲区 page cache,等待内核将数据写入硬盘;
  3. 具体内核缓冲区的数据什么时候写入到硬盘,由内核决定。

第三步有3种写回策略

  • Always,这个单词的意思是「总是」,所以它的意思是每次写操作命令执行完后,同步将 AOF 日志数据写回硬盘;
  • Everysec,这个单词的意思是「每秒」,所以它的意思是每次写操作命令执行完后,先将命令写入到 AOF 文件的内核缓冲区,然后每隔一秒将缓冲区里的内容写回到硬盘;
  • No,意味着不由 Redis 控制写回硬盘的时机,转交给操作系统控制写回的时机,也就是每次写操作命令执行完后,先将命令写入到 AOF 文件的内核缓冲区,再由操作系统决定何时将缓冲区内容写回硬盘。

这三种策略其实就是控制 fsync() 函数的调用时机,fsync() 函数的作用就是让内核直接将缓冲区内容写回硬盘

  • Always 策略就是每次写入 AOF 文件数据后,就执行 fsync() 函数;
  • Everysec 策略就会创建一个异步任务来执行 fsync() 函数;
  • No 策略就是永不执行 fsync() 函数;

AOF文件过大,会触发什么机制

AOF重写机制。

AOF 重写机制是在重写时,读取当前数据库中的所有键值对,然后将每一个键值对用一条命令记录到「新的 AOF 文件」,等到全部记录完后,就将新的 AOF 文件替换掉现有的 AOF 文件。

比如set name xksd 和set name xiaokasidi正常情况下这2条记录都会给写到AOF日志中,使用了重写机制后,只会在新的AOF日志中记录最新操作也就是set name xiaokasidi,这样子就相当于压缩了AOF文件

重写AOF日志的过程是怎么样的

Redis的重写机制是由子进程 bgrewriteaof\ 来完成的,这样做有2个好处

  • 子进程进行 AOF 重写期间,主进程可以继续处理命令请求,从而避免阻塞主进程;但是在 AOF 重写期间的写操作是无法在这次重写后就将数据写入到AOF中
  • 子进程带有主进程的数据副本,这里使用子进程而不是线程,因为如果是使用线程,多线程之间会共享内存,那么在修改共享内存数据的时候,需要通过加锁来保证数据的安全,而这样就会降低性能。而使用子进程,创建子进程时,父子进程是共享内存数据的,不过这个共享的内存只能以只读的方式,而当父子进程任意一方修改了该共享内存,就会发生「写时复制」,于是父子进程就有了独立的数据副本,就不用加锁来保证数据安全。场景:写操作到来,需要修改的数据会复制一份到内存,生成副本,主进程在该副本上进行修改操作,写到AOF重写缓冲区中,等重写结束后就将AOF重写缓冲区中的内容再写到新的AOF文件中

具体过程

  1. 触发重写后,fork创建出子进程,此时父子进程共享内存,不过子进程只能读不能写,读取数据库中的所有值,并转化成命令记录到重写日志(新的AOF日志)
  2. 在重写过程中,主进程不会给阻塞,要是又来了些写请求,主进程就不仅仅把该写命令写到AOF缓冲区,还会写到AOF重写缓冲区
  3. 子进程完成AOF重写后,向主进程发送一条信号,主线程收到后,会调用一个信号处理函数,该函数主要做以下工作:
    • 将 AOF 重写缓冲区中的所有内容追加到新的 AOF 的文件中,使得新旧两个 AOF 文件所保存的数据库状态一致;
    • 新的 AOF 的文件进行改名,覆盖现有的 AOF 文件。

AOF重写过程中的写时复制是什么

不过,当父进程或者子进程在向这个内存发起写操作时,CPU 就会触发写保护中断,这个写保护中断是由于违反权限导致的,然后操作系统会在「写保护中断处理函数」里进行物理内存的复制,并重新设置其内存映射关系,将父子进程的内存读写权限设置为可读写,最后才会对内存进行写操作,这个过程被称为「写时复制(Copy On Write)」。

注意:写时复制只会复制修改的值,而不会修改那些没被修改的值

写时复制顾名思义,在发生写操作的时候,操作系统才会去复制物理内存,这样是为了防止 fork 创建子进程时,由于物理内存数据的复制时间过长而导致父进程长时间阻塞的问题。

AOF重写时需要注意的点

2个阶段会阻塞主线程

  • 创建子进程的途中,由于要复制父进程的页表等数据结构,阻塞的时间跟页表的大小有关,页表越大,阻塞的时间也越长;
  • 创建完子进程后,如果子进程或者父进程修改了共享数据,就会发生写时复制,这期间会拷贝物理内存,如果内存越大,自然阻塞的时间也越长;
  • 主进程有 bigkey 写入时,操作系统会创建页面的副本,并拷贝原有的数据,会对主线程阻塞。

举个例子体现AOF重写缓冲区的作用

主进程fork出子进程重写时,这时主进程改变了已经拥有的key1对应的值value->value1,这个时候会发生写时复制,将key1->value1在子进程中进行对应,但是主进程又修改了key1的值变为value2,这时候由于子进程对于key1有自己的独立映射,也就是子进程key1对应的还是value1,这时主进程和子进程就出现了数据不一致问题

如何解决呢?加一个AOF重写缓冲区

当子进程完成 AOF 重写工作(扫描数据库中所有数据,逐一把内存数据的键值对转换成一条命令,再将命令记录到重写日志)后,会向主进程发送一条信号,信号是进程间通讯的一种方式,且是异步的。

主进程收到该信号后,会调用一个信号处理函数,该函数主要做以下工作:

  • 将 AOF 重写缓冲区中的所有内容追加到新的 AOF 的文件中,使得新旧两个 AOF 文件所保存的数据库状态一致;
  • 新的 AOF 的文件进行改名,覆盖现有的 AOF 文件。

在整个 AOF 后台重写过程中,除了发生写时复制会对主进程造成阻塞,还有信号处理函数执行时也会对主进程造成阻塞,在其他时候,AOF 后台重写都不会阻塞主进程。

RDB快照是如何实现的

RDB存储的是实际数据,而AOF存储的是操作命令

因此在 Redis 恢复数据时, RDB 恢复数据的效率会比 AOF 高些,因为直接将 RDB 文件读入内存就可以,不需要像 AOF 那样还需要额外执行操作命令的步骤才能恢复数据。

如何使用RDB

RDB是默认开启的,

Redis 还可以通过配置文件的选项来实现每隔一段时间自动执行一次 bgsave 命令,默认会提供以下配置:

save 900 1
save 300 10
save 60 10000

只要满足上面条件的任意一个,就会执行 bgsave,它们的意思分别是:

  • 900 秒之内,对数据库进行了至少 1 次修改;
  • 300 秒之内,对数据库进行了至少 10 次修改;
  • 60 秒之内,对数据库进行了至少 10000 次修改。

RDB 做快照时会阻塞线程吗?

2个方法生成RDB文件

  • 执行了 save 命令,就会在主线程生成 RDB 文件,由于和执行操作命令在同一个线程,所以如果写入 RDB 文件的时间太长,会阻塞主线程
  • 执行了 bgsave 命令,会创建一个子进程来生成 RDB 文件,这样可以避免主线程的阻塞

RDB的快照是全量快照,很重,稍有不慎就很难受。

如果频率太频繁,可能会对 Redis 性能产生影响。如果频率太低,服务器故障时,丢失的数据会更多。

RDB的全量快照和增量快照是什么

  • RDB全量快照是指将当前Redis服务器上的全部键值对数据都保存到一个RDB文件中,生成的RDB文件中包含全量数据。全量快照的优点是可以保证数据的完整性和一致性,缺点是保存全量数据可能会消耗较多的磁盘空间和时间。
  • 增量快照是指在全量快照生成之后,只记录从上一次全量快照之后新增、修改或删除的键值对,并将这些数据记录到一个新的文件中。增量快照文件只包含了上一次全量快照之后发生过变化的数据,因此相对于全量快照,它可以更加节省磁盘空间和时间。增量快照需要与全量快照配合使用,以保证数据的完整性和一致性。

RDB 在执行快照的时候,数据能修改吗?

可以的,执行 bgsave 过程中,Redis 依然可以继续处理操作命令的,也就是数据是能被修改的,关键的技术就在于**写时复制技术(Copy-On-Write, COW)。**该技术与AOF中的一模一样

执行 bgsave 命令的时候,会通过 fork() 创建子进程,此时子进程和父进程是共享同一片内存数据的,因为创建子进程的时候,会复制父进程的页表,但是页表指向的物理内存还是一个,此时如果主线程执行读操作,则主线程和 bgsave 子进程互相不影响。

而执行写操作时,则被修改的数据会生成一份副本,然后父进程对该副本进行修改,而子线程还是将原来的数据进行写入。

如果主线程在此期间修改了数据,那么这个数据其实是独立生成并放在内存中的,所以此时的子线程是无法感知这次修改的,需要下一次bgsave时才会进行写入

如果系统恰好在 RDB 快照文件创建完毕后崩溃了,那么 Redis 将会丢失主线程在快照期间修改的数据。

对比:RDB执行快照时和AOF重写时主进程都可以进行写操作,那么有什么不同呢

AOF主要是主进程还会写到AOF重写缓冲区,最后再来个汇总。

而RDB是在进行写操作时,会将修改的数据复制个副本出来,子进程就把副本上的数据写入到RDB文件中,这时主进程还是可以在原先进行修改,只是这次修改的值得下一次才能进行写入了

为什么会有混合持久化( Redis 4.0)

如果想要开启混合持久化功能,可以在 Redis 配置文件将下面这个配置项设置成 yes:

aof-use-rdb-preamble yes

2种持久化方案各有优劣

RDB 优点是数据恢复速度快,但是快照的频率不好把握。频率太低,丢失的数据就会比较多,频率太高,就会影响性能。

AOF 优点是丢失数据少,但是数据恢复不快。

混合持久化工作在 AOF 日志重写过程,当开启了混合持久化时,在 AOF 重写日志时,fork 出来的重写子进程会先将与主线程共享的内存数据以 RDB 方式写入到 AOF 文件,然后主线程处理的操作命令会被记录在重写缓冲区里,重写缓冲区里的增量命令会以 AOF 方式写入到 AOF 文件,写入完成后通知主进程将新的含有 RDB 格式和 AOF 格式的 AOF 文件替换旧的的 AOF 文件。

也就是说,使用了混合持久化,AOF 文件的前半部分是 RDB 格式的全量数据,后半部分是 AOF 格式的增量数据

混合持久化优点:

  • 混合持久化结合了 RDB 和 AOF 持久化的优点,开头为 RDB 的格式,使得 Redis 可以更快的启动,同时结合 AOF 的优点,有减低了大量数据丢失的风险。

混合持久化缺点:

  • AOF 文件中添加了 RDB 格式的内容,使得 AOF 文件的可读性变得很差;
  • 兼容性差,如果开启混合持久化,那么此混合持久化 AOF 文件,就不能用在 Redis 4.0 之前版本了。

Redis的大key对AOF日志的影响

AOF不是有3种策略吗,那么分别会影响到什么呢

当使用 Always 策略的时候,如果写入是一个大 Key,主线程在执行 fsync() 函数的时候,阻塞的时间会比较久,因为当写入的数据量很大的时候,数据同步到硬盘这个过程是很耗时的

当使用 Everysec 策略的时候,由于是异步执行 fsync() 函数,所以大 Key 持久化的过程(数据同步磁盘)不会影响主线程。

当使用 No 策略的时候,由于永不执行 fsync() 函数,所以大 Key 持久化的过程不会影响主线程

大key对AOF重写和 RDB 的影响

AOF重写和写入RDB文件时,主进程都会fork子进程,而这个fork是会阻塞主进程的,fork的时间跟表的大小有关,也就是说有很多大key的话,那么就会造成表很大,fork就需要一定时间,那么就会阻塞住主进程。

如果 fork 耗时很大,比如超过1秒,则需要做出优化调整:

  • 单个实例的内存占用控制在 10 GB 以下,这样 fork 函数就能很快返回。
  • 如果 Redis 只是当作纯缓存使用,不关心 Redis 数据安全性问题,可以考虑关闭 AOF 和 AOF 重写,这样就不会调用 fork 函数了。
  • 在主从架构中,要适当调大 repl-backlog-size,避免因为 repl_backlog_buffer 不够大,导致主节点频繁地使用全量同步的方式,全量同步的时候,是会创建 RDB 文件的,也就是会调用 fork 函数。

AOF重写和写入RDB文件时如果主线程对大key发生了修改,这是会触发写时复制,会复制被修改的大key,而大key占用的物理内存是很大的,所以会比较耗时,那么主进程又给堵住了

Redis集群

Redis如何实现高可用

Redis 的主从复制、哨兵模式、切片集群。

主从复制

主从复制是 Redis 高可用服务的最基础的保证,实现方案就是将从前的一台 Redis 服务器,同步数据到多台从 Redis 服务器上,即一主多从的模式,且主从服务器之间采用的是「读写分离」的方式。

主服务器可以进行读写操作,当发生写操作时自动将写操作同步给从服务器,而从服务器一般是只读,并接受主服务器同步过来写操作命令,然后执行这条命令。

但是有个问题会导致数据不一致。

客户端在进行写操作时会在主库进行写,当主库完成写操作后会直接返回给客户端,同时发送给从库,如果客户端再来读,恰好读的是还没有同步完的从库,那么就会造成"我明明修改而且返回修改成功的结果了,为什么还是原先的值",这就是因为从库还没完成数据同步就被客户端查询了

主从复制第一次同步

  • 第一阶段是建立链接、协商同步;
  • 第二阶段是主服务器同步数据给从服务器;
  • 第三阶段是主服务器发送新写操作命令给从服务器。

图片

  1. 第一阶段:建立链接、协商同步

执行了 replicaof 命令后,从服务器就会给主服务器发送 psync 命令,表示要进行数据同步。

psync 命令包含两个参数,分别是主服务器的 runID复制进度 offset

第一次过去,那肯定啥都不知道

  • runID,每个 Redis 服务器在启动时都会自动生产一个随机的 ID 来唯一标识自己。当从服务器和主服务器第一次同步时,因为不知道主服务器的 run ID,所以将其设置为 "?"。
  • offset,表示复制的进度,第一次同步时,其值为 -1。

主服务器收到 psync 命令后,会用 FULLRESYNC 作为响应命令返回给对方。并且会带上自己的runID和offset

FULLRESYNC 响应命令的意图是采用全量复制的方式,也就是主服务器会把所有的数据都同步给从服务器。

  1. 第二阶段:主服务器同步数据给从服务器

主服务器会执行 bgsave 命令来生成 RDB 文件,然后把文件发送给从服务器。

从服务器收到 RDB 文件后,会先清空当前的数据(这里就说明过期键即使在从库中也会被清除),然后载入 RDB 文件。

还是那个问题,主服务器bgsave时的写操作得等下一层bgasve时才会记录到RDB中,也就是说此时会出现主库和从库数据不一致的情况

为了保证一致性,主服务器在下面这三个时间间隙中将收到的写操作命令,写入到 replication buffer 缓冲区里

  • 主服务器生成 RDB 文件期间;
  • 主服务器发送 RDB 文件给从服务器期间;
  • 「从服务器」加载 RDB 文件期间;
  1. 第三阶段:主服务器发送新写操作命令给从服务器

在主服务器生成的 RDB 文件发送完,从服务器收到 RDB 文件后,丢弃所有旧数据,将 RDB 数据载入到内存。完成 RDB 的载入后,会回复一个确认消息给主服务器。

接着,主服务器将 replication buffer 缓冲区里所记录的写操作命令发送给从服务器,从服务器执行来自主服务器 replication buffer 缓冲区里发来的命令,这时主从服务器的数据就一致了。

这时,第一次同步工作就完成了

命令传播

主从服务器在完成第一次同步后,双方就会维护一个TCP连接

后续主服务器可以通过这个连接继续将写操作命令传播给从服务器,然后从服务器执行该命令,使得与主服务器的数据库状态相同。

而且这个连接是长连接的,目的是避免频繁的 TCP 连接和断开带来的性能开销。

上面的这个过程被称为基于长连接的命令传播,通过这种方式来保证第一次同步后的主从服务器的数据一致性

分摊主服务器的压力

现在又提出一个问题,主从第一次同步时,会有2次十分耗时的操作:生成RDB文件和传输RDB文件

如果有100多个从库,那么耗时是十分巨大的

  • 由于是通过 bgsave 命令来生成 RDB 文件的,那么主服务器就会忙于使用 fork() 创建子进程,如果主服务器的内存数据非大,在执行 fork() 函数时是会阻塞主线程的,从而使得 Redis 无法正常处理请求;
  • 传输 RDB 文件会占用主服务器的网络带宽,会对主服务器响应命令请求产生影响。

就相当于小公司,老板管理员工,而大公司,老板管理经理,经理管理员工

运用到Redis上就是从服务器也有自己的从服务器

组织形式如下图:

图片

如何做到

其实很简单,我们在「从服务器」上执行下面这条命令,使其作为目标服务器的从服务器:

replicaof <目标服务器的IP> 6379

此时如果目标服务器本身也是「从服务器」,那么该目标服务器就会成为「经理」的角色,不仅可以接受主服务器同步的数据,也会把数据同步给自己旗下的从服务器,从而减轻主服务器的负担

Redis集群写操作会丢失吗?

会是肯定会,但是很小概率。

写操作丢失的前提是某个结点在写入数据时无法工作也就是宕机了,但是集群方案使用了主从复制架构保证数据备份和冗余。在某个主节点无法工作时,从节点会来接替主节点的工作。此外,Redis集群还提供了数据分片和故障转移等功能,可以在节点失效时自动将其切换到其他可用节点。

增量复制

网络很傻逼的啦,有时直接就断开了不解释的,那么此时从服务器就无法读取到最新值了

网络又回来咯,在Redis2.8前主从直接开干全量复制,耗时又费力,2.8后使用增量复制,也就是只会把网络断开期间主服务器接收到的写操作命令,同步给从服务器。

主要有三个步骤:

  • 从服务器在恢复网络后,会发送 psync 命令给主服务器,此时的 psync 命令里的 offset 参数不是 -1;
  • 主服务器收到该命令后,然后用 CONTINUE 响应命令告诉从服务器接下来采用增量复制的方式同步数据;
  • 然后主服务将主从服务器断线期间,所执行的写命令发送给从服务器,然后从服务器执行这些命令

关键来了,主服务器怎么知道要发送哪些数据呢

  • repl_backlog_buffer,是一个「环形」缓冲区,用于主从服务器断连后,从中找到差异的数据;
  • replication offset,标记上面那个缓冲区的同步进度,主从服务器都有各自的偏移量,主服务器使用 master_repl_offset 来记录自己「」到的位置,从服务器使用 slave_repl_offset 来记录自己「」到的位置。

网络断开重连后,从服务器会通过 psync 命令将自己的复制偏移量 slave_repl_offset 发送给主服务器,主服务器通过与master_repl_offset对比,决定使用哪种同步方式

  • 如果判断出从服务器要读取的数据还在 repl_backlog_buffer 缓冲区里,那么主服务器将采用增量同步的方式;
  • 相反,如果判断出从服务器要读取的数据已经不存在 repl_backlog_buffer 缓冲区里,那么主服务器将采用全量同步的方式。

因为是个环形缓冲区,要是主服务器写的速度比从服务器读的速度快很多,导致主服务器把之前的数据覆盖了,这时也会出现数据不一致问题

那么在网络恢复时,从服务器会发送自己已经读到哪了,如果从服务器想读的数据已经被覆盖了,主服务器就会采用全量同步,这个方式比增量同步的性能损耗要大很多。

所以我们应该调整一下缓冲区的大小

举个例子,如果主服务器平均每秒产生 1 MB 的写命令,而从服务器断线之后平均要 5 秒才能重新连接主服务器。

那么 repl_backlog_buffer 大小就不能低于 5 MB,否则新写地命令就会覆盖旧数据了。

当然,为了应对一些突发的情况,可以将 repl_backlog_buffer 的大小设置为此基础上的 2 倍,也就是 10 MB。

关于 repl_backlog_buffer 大小修改的方法,只需要修改配置文件里下面这个参数项的值就可以。

repl-backlog-size 1mb

怎么判断Redis某个结点正常工作

Redis 判断节点是否正常工作,基本都是通过互相的 ping-pong 心态检测机制,如果有一半以上的节点去 ping 一个节点的时候没有 pong 回应,集群就会认为这个节点挂掉了,会断开与这个节点的连接。

Redis 主从节点发送的心态间隔是不一样的,而且作用也有一点区别:

  • Redis 主节点默认每隔 10 秒对从节点发送 ping 命令,判断从节点的存活性和连接状态,可通过参数repl-ping-slave-period控制发送频率。
  • Redis 从节点每隔 1 秒发送 replconf ack{offset} 命令,给主节点上报自身当前的复制偏移量,目的是为了:
    • 实时监测主从节点网络状态;
    • 上报自身复制偏移量, 检查复制数据是否丢失, 如果从节点数据丢失, 再从主节点的复制缓冲区中拉取丢失数据。

主从复制架构中,过期key如何处理?

主节点处理了一个key或者通过淘汰算法淘汰了一个key,这个时间主节点模拟一条del命令发送给从节点,从节点收到该命令后,就进行删除key的操作。

Redis 是同步复制还是异步复制?

Redis 主节点每次收到写命令之后,先写到内部的缓冲区,然后异步发送给从节点

主从复制中两个 Buffer(replication buffer 、repl backlog buffer)有什么区别?

replication buffer 、repl backlog buffer 区别如下:

  • 出现的阶段不一样:
    • repl backlog buffer 是在增量复制阶段出现,一个主节点只分配一个 repl backlog buffer
    • replication buffer 是在全量复制阶段和增量复制阶段都会出现,主节点会给每个新连接的从节点,分配一个 replication buffer
  • 这两个 Buffer 都有大小限制的,当缓冲区满了之后,发生的事情不一样:
    • 当 repl backlog buffer 满了,因为是环形结构,会直接覆盖起始位置数据;
    • 当 replication buffer 满了,会导致连接断开,删除缓存,从节点重新连接,重新开始全量复制

如何应对主从不一致

因为主节点是异步同步数据给从节点的,所以不是强一致性。

第一种方法,尽量保证主从节点间的网络连接状况良好,避免主从节点在不同的机房。

第二种方法,可以开发一个外部程序来监控主从节点间的复制进度。具体做法:

  • Redis 的 INFO replication 命令可以查看主节点接收写命令的进度信息(master_repl_offset)和从节点复制写命令的进度信息(slave_repl_offset),所以,我们就可以开发一个监控程序,先用 INFO replication 命令查到主、从节点的进度,然后,我们用 master_repl_offset 减去 slave_repl_offset,这样就能得到从节点和主节点间的复制进度差值了。
  • 如果某个从节点的进度差值大于我们预设的阈值,我们可以让客户端不再和这个从节点连接进行数据读取,这样就可以减少读到不一致数据的情况。不过,为了避免出现客户端和所有从节点都不能连接的情况,我们需要把复制进度差值的阈值设置得大一些

主从切换如何减少数据丢失

主从切换过程中,产生数据丢失的情况有两种:

  • 异步复制同步丢失
  • 集群产生脑裂数据丢失

异步复制同步丢失咋办

Redis 配置里有一个参数 min-slaves-max-lag,表示一旦所有的从节点数据复制和同步的延迟都超过了 min-slaves-max-lag 定义的值,那么主节点就会拒绝接收任何请求。

假设将 min-slaves-max-lag 配置为 10s 后,根据目前 master->slave 的复制速度,如果数据同步完成所需要时间超过10s,就会认为 master 未来宕机后损失的数据会很多,master 就拒绝写入新请求。这样就能将 master 和 slave 数据差控制在10s内,即使 master 宕机也只是这未复制的 10s 数据。

那么对于客户端,当客户端发现 master 不可写后,我们可以采取降级措施,将数据暂时写入本地缓存和磁盘中,在一段时间(等 master 恢复正常)后重新写入 master 来保证数据不丢失,也可以将数据写入 kafka 消息队列,等 master 恢复正常,再隔一段时间去消费 kafka 中的数据,让将数据重新写入 master

集群脑裂导致数据丢失怎么办

假设这样一个情况:主节点和所有从节点的网络出现异常,和哨兵的网络也因为数量不达标被标记下线,但是跟客户端的网络还是好好的,所以客户端还会继续向该节点写数据,主节点也会发动数据同步,但由于失联了,无法成功同步

哨兵认为主节点挂了,那么就会重新选举一个主节点,这时候就会有2个主节点---脑裂产生了

然后旧主节点网络恢复了,哨兵会将他降级为从节点,那么先前那些无法同步的数据会因为与新主节点做全量同步时给删除掉了,那么这些数据会丢失m,也就产生了集群脑裂导致数据丢失的问题

总结:由于网络问题,集群节点之间失去联系。主从数据不同步;重新平衡选举,产生两个主服务。等网络恢复,旧主节点会降级为从节点,再与新主节点进行同步复制的时候,由于会从节点会清空自己的缓冲区,所以导致之前客户端写入的数据丢失了。

解决方案

当主节点发现从节点下线或者通信超时的总数量小于阈值时,那么禁止主节点进行写数据,直接把错误返回给客户端。

在Redis中有2个属性可以设置

  • min-slaves-to-write x,主节点必须要有至少 x 个从节点连接,如果小于这个数,主节点会禁止写数据。
  • min-slaves-max-lag x,主从数据复制和同步的延迟不能超过 x 秒,如果超过,主节点会禁止写数据。

当原主库和许多从库失联时,上面2个参数基本触发了,那么就不会向该主库写入数据,而是在选举完新主库后才在新主库进行数据的写入,这时网络恢复了并且删除了原主库的数据也不会有啥影响

主从如何做到故障自动切换?

主节点挂了 ,从节点是无法自动升级为主节点的,这个过程需要人工处理,在此期间 Redis 无法对外提供写操作。

此时,Redis 哨兵机制就登场了,哨兵在发现主节点出现故障时,由哨兵自动完成故障发现和故障转移,并通知给应用方,从而实现高可用性。

哨兵模式

在使用 Redis 主从服务的时候,会有一个问题,就是当 Redis 的主从服务器出现故障宕机时,需要手动进行恢复。

为了解决这个问题,Redis2.8 增加了哨兵模式(Redis Sentinel),因为哨兵模式做到了可以监控主从服务器,并且提供主从节点故障转移的功能。

会一直保持心跳连接,进行轮询,要是有超过一定数量的哨兵判断不存在就将该库进行下线

哨兵机制是如何工作的

哨兵其实是一个运行在特殊模式下的 Redis 进程,所以它也是一个节点。从“哨兵”这个名字也可以看得出来,它相当于是“观察者节点”,观察的对象是主从节点。

主要负责3件事情

  1. 监控
  2. 选主
  3. 通知

如何判断主节点是否故障

哨兵每隔1s就会向节点发送PING,如果没有回复,则哨兵认为该结点已经主观下线

哨兵每隔10s就会向主节点INFO ->PING,如果没有回复,则哨兵认为该主结点已经主观下线

这个「规定的时间」是配置项 down-after-milliseconds 参数设定的,单位是毫秒。

那么,主节点存在主观下线和客观下线。

有可能某个哨兵因为网络原因与主节点失去连接,这个时候该哨兵判断主节点主观下线,但是还会通知其他哨兵一起判断,当这个哨兵的赞同票数达到哨兵配置文件中的 quorum 配置项设定的值后线(一般设置为1/2),才会真正引发主节点客观下线,这时候就需要重新选择一个主节点

由哪个哨兵进行主从故障转移?

需要投票选择出一个ld,投票开始前,有个候选者(该候选者就是当初第一个发现主节点主观下线的哨兵)

那么候选者如何选举成为 Leader?

候选者会向其他哨兵发送命令,表明希望成为 Leader 来执行主从切换,并让所有其他哨兵对它进行投票。

每个哨兵只有一张票,如果用完后就不能参与投票了,可以投给自己或投给别人,但是只有候选者才能把票投给自己。

需要满足2个条件:

  • 第一,拿到半数以上的赞成票;
  • 第二,拿到的票数同时还需要大于等于哨兵配置文件中的 quorum 值。

如果没有满足条件,就需要重新进行选举。

如果在某个时刻有2个哨兵都发现主节点下线了,这时候他们会先投自己一票,然后发送投票请求给其他还有票的节点,就是与时间赛跑,谁先抢到票就是谁的

为什么至少配置3个哨兵

如果2个哨兵,那么在一个哨兵下线后,剩下的一个哨兵想成为ld的话需要2票,但最多也才1票,因此无法成为ld,那么就无法进行主从切换

所以,quorum 的值建议设置为哨兵个数的二分之一加1,例如 3 个哨兵就设置 2,5 个哨兵设置为 3,而且哨兵节点的数量应该是奇数

因为quorum 的值为哨兵个数的二分之一加1跟哨兵个数的二分之一效果差不多,但是哨兵个数的二分之一在某种情况下还要额外做主节点主观下线,但却无法进行主从切换,会做了无用功

主从故障转移的过程是怎样的

  • 第一步:在已下线主节点(旧主节点)属下的所有「从节点」里面,挑选出一个从节点,并将其转换为主节点。
  • 第二步:让已下线主节点属下的所有「从节点」修改复制目标,修改为复制「新主节点」;
  • 第三步:将新主节点的 IP 地址和信息,通过「发布者/订阅者机制」通知给客户端;
  • 第四步:继续监视旧主节点,当这个旧主节点重新上线时,将它设置为新主节点的从节点;

第一步 选出新主节点

首先把已经下线的从节点过滤掉,然后把以往网络连接状态不好的从节点也给过滤掉。

如何判断网络连接状态不好呢

Redis 有个叫 down-after-milliseconds * 10 配置项,其down-after-milliseconds 是主从节点断连的最大连接超时时间。如果在 down-after-milliseconds 毫秒内,主从节点都没有通过网络联系上,我们就可以认为主从节点断连了。如果发生断连的次数超过了 10 次,就说明这个从节点的网络状况不好,不适合作为新主节点。

接下来要对所有从节点进行三轮考察:优先级、复制进度、ID 号。在进行每一轮考察的时候,哪个从节点优先胜出,就选择其作为新主节点。

  • 第一轮考察:哨兵首先会根据从节点的优先级来进行排序,优先级越小排名越靠前,(看实力)
    • Redis 有个叫 slave-priority 配置项,可以给从节点设置优先级。
  • 第二轮考察:如果优先级相同,则查看复制的下标,哪个从「主节点」接收的复制数据多,哪个就靠前。(看实力)
    • 其实就是比较从节点slave_repl_offset的进度
  • 第三轮考察:如果优先级和下标都相同,就选择从节点 ID 较小的那个(看资历)

在选举出从节点后,哨兵 leader 向被选中的从节点发送 SLAVEOF no one 命令,让这个从节点解除从节点的身份,将其变为新主节点。

在发送 SLAVEOF no one 命令之后,哨兵 leader 会以每秒一次的频率向被升级的从节点发送 INFO 命令(没进行故障转移之前,INFO 命令的频率是每十秒一次,对于从节点还是1s一次),并观察命令回复中的角色信息,当被升级节点的角色信息从原来的 slave 变为 master 时,哨兵 leader 就知道被选中的从节点已经顺利升级为主节点了。

步骤2 将从节点指向新主节点

由哨兵ld来完成而不是新主节点,ld给从节点发送SLAVEOF命令,让其余从节点成为新主节点的从节点

步骤3 通知客户的主节点已经更换

每个哨兵节点提供发布者/订阅者机制,客户端可以从哨兵订阅消息。

如下:

img

客户端和哨兵建立连接后,客户端会订阅哨兵提供的频道。主从切换完成后,哨兵就会向 +switch-master 频道发布新主节点的 IP 地址和端口的消息,这个时候客户端就可以收到这条信息,然后用这里面的新主节点的 IP 地址和端口进行通信了

步骤4 将旧主节点变为从节点

当旧结点上线后,哨兵集群会使用slaveof命令使它成为新主节点的从节点,注意:这时候是哨兵集群发起命令而不是哨兵ld发起命令

哨兵集群是如何组成的

只需要设置主节点名字、主节点的 IP 地址和端口号以及 quorum 值。

哨兵节点之间是通过 Redis 的发布者/订阅者机制来相互发现的

在主从集群中,主节点上有一个名为__sentinel__:hello的频道,不同哨兵就是通过它来相互发现,实现互相通信的。

在下图中,哨兵 A 把自己的 IP 地址和端口的信息发布到__sentinel__:hello 频道上,哨兵 B 和 C 订阅了该频道。那么此时,哨兵 B 和 C 就可以从这个频道直接获取哨兵 A 的 IP 地址和端口号。然后,哨兵 B、C 可以和哨兵 A 建立网络连接。

通过中介(主节点的频道)联系其他哨兵

哨兵集群如何知道从节点的信息

主节点知道所有「从节点」的信息,所以哨兵会每 10 秒一次的频率向主节点发送 INFO 命令来获取所有「从节点」的信息。

第一次INFO后,哨兵就会和这次INFO的所有从节点建立连接

正式通过 Redis 的发布者/订阅者机制,哨兵之间可以相互感知,然后组成集群,同时,哨兵又通过 INFO 命令,在主节点里获得了所有从节点连接信息,于是就能和从节点建立连接,并进行监控了。

切片集群模式

Redis 切片集群 就是部署多台 Redis 主节点(master),这些节点之间平等,并没有主从之说,同时对外提供读/写服务。缓存的数据库相对均匀地分布在这些 Redis 实例上,客户端的请求通过路由规则转发到目标 master 上。同时也可以为每个主节点再配置从节点

当 Redis 缓存数据量大到一台服务器无法缓存时,就需要使用 Redis 切片集群(Redis Cluster )方案,它将数据分布在不同的服务器上,以此来降低系统对单主节点的依赖,从而提高 Redis 服务的读写性能。

Redis Cluster 方案采用哈希槽(Hash Slot),来处理数据和节点之间的映射关系。在 Redis Cluster 方案中,一个切片集群共有 16384 个哈希槽,这些哈希槽类似于数据分区,每个键值对都会根据它的 key,被映射到一个哈希槽中,具体执行过程分为两大步:

  • 根据键值对的 key,按照 CRC16 算法 (opens new window)计算一个 16 bit 的值。
  • 再用 16bit 值对 16384 取模,得到 0~16383 范围内的模数,每个模数代表一个相应编号的哈希槽。

2种方案映射到具体的Redis节点上

  • 平均分配: 在使用 cluster create 命令创建 Redis 集群时,Redis 会自动把所有哈希槽平均分布到集群节点上。比如集群中有 9 个节点,则每个节点上槽的个数为 16384/9 个。
  • 手动分配: 可以使用 cluster meet 命令手动建立节点间的连接,组成集群,再使用 cluster addslots 命令,指定每个节点上的哈希槽个数。

主要优势:

  1. 支持动态扩容和缩容
  2. 具备主从复制,故障转移等开箱即用的功能

Redis Cluster的基本架构是怎么样的

image-20230505130803942

至少有3个主节点,每个主节点上还有从节点,不过这些从节点不像主从复制那样提供读服务,而是作为主节点的后备隐藏能源,如果主节点挂掉了,从节点就会变身为主节点提供服务

Redis Cluster使用哈希槽来进行分片,每个结点的范围为16384/n个,其中n为主节点个数。

如果一个结点宕机了并且没有子节点,那么该结点负责的区域就不可用,那么整个集群就进入不可用状态,当然,可以进行设置,即使某个主节点挂了也可对外服务,不过无法保证一定能拿到数据,可以将cluster-require-full-coverage 这个参数设置成 no

如果要移除某个主节点的话,需要删除这个主节点负责的区域并且重新分配给其他结点,同理,添加主节点也是一个道理

Redis Cluster是如何进行分片的

以哈希槽进行分片

一共有16384个哈希槽,通过对结点个数进行除法运算平均的给每个结点分配相同个数的哈希槽,当然可以进行设置

如何进行分片

  1. 根据key通过计算公式找到对应的哈希槽,然后查询哈希槽与节点的映射关系
  2. 跑到对应结点,要是对应结点没有该哈希槽,那么就需要重新告知应该在哪个结点中
    • 为什么结点会没有该哈希槽呢
    • 因为Redis Cluster分配哈希槽时进行扩容或者缩容时,那么可能就会发送哈希槽对应的节点发生变化

优点:解耦了数据与节点之间的关系,提升了集群的横向扩展性和容错性

为什么Redis Cluster的哈希槽是16384个而不是65536个

使用bitmap存储哈希槽,0表示该哈希槽不归当前结点管,1表示该哈希槽归当前结点管

  • 哈希槽太大会导致心跳包太大,消耗太多带宽;
  • 哈希槽总数越少,对存储哈希槽信息的 bitmap 压缩效果越好;
  • Redis Cluster 的主节点通常不会扩展太多,16384 个哈希槽已经足够用了。

Redis Cluster如何重新分配哈希槽

image-20230505164550288

图片转存失败,建议将图片保存下来直接上传

Redis Cluster 扩容缩容期间可以提供服务吗?

可以,有2种不同类型的重定向机制

  • ASK重定向:可以看做是临时重定向,后续查询仍然发送到旧结点
  • MOVED重定向:可以看做是永久重定向,后续查询仍然发送到新结点

客户端请求过来时,分为很多种情况

  1. 请求key还在当前结点,直接返回
  2. 请求的key在迁移当中,但是key还没移走,这时也可以直接返回
  3. 请求的key在迁移当中,但是key已经移走,这时返回-ASK重定向错误,-ASK重定向错误信息中包含了key迁移到的新结点的消息
  4. 客户端收到ASK重定向错误的话,会临时重定向,会从该错误信息中取到新结点的消息,并向新结点发送ASKING命令
  5. 不过新结点在收到ASKING命令可能会返回重试错误,因为当前key可能还未成功导入
  6. 在发送完ASKING命令后才发送需要请求的命令
  7. ASK重定向并不会同步更新客户端缓存的哈希槽分配消息,也就是说下一次key还是分配到旧结点上

如果客户端请求的 key 对应的哈希槽已经迁移完成的话,就会返回 -MOVED 重定向错误,告知客户端当前哈希槽是由哪个节点负责,客户端向新节点发送请求并更新缓存的哈希槽分配信息,后续查询将被发送到新节点

Redis 过期删除与内存淘汰

如何设置过期时间

先说一下对 key 设置过期时间的命令。 设置 key 过期时间的命令一共有 4 个:

  • expire <key> <n>:设置 key 在 n 秒后过期,比如 expire key 100 表示设置 key 在 100 秒后过期;
  • pexpire <key> <n>:设置 key 在 n 毫秒后过期,比如 pexpire key2 100000 表示设置 key2 在 100000 毫秒(100 秒)后过期。
  • expireat <key> <n>:设置 key 在某个时间戳(精确到秒)之后过期,比如 expireat key3 1655654400 表示 key3 在时间戳 1655654400 后过期(精确到秒);
  • pexpireat <key> <n>:设置 key 在某个时间戳(精确到毫秒)之后过期,比如 pexpireat key4 1655654400000 表示 key4 在时间戳 1655654400000 后过期(精确到毫秒)

当然,在设置字符串时,也可以同时对 key 设置过期时间,共有 3 种命令:

  • set <key> <value> ex <n> :设置键值对的时候,同时指定过期时间(精确到秒);
  • set <key> <value> px <n> :设置键值对的时候,同时指定过期时间(精确到毫秒);
  • setex <key> <n> <valule> :设置键值对的时候,同时指定过期时间(精确到秒)。

如果你想查看某个 key 剩余的存活时间,可以使用 TTL <key> 命令。

如果突然反悔,取消 key 的过期时间,则可以使用 PERSIST <key> 命令。

Redis 使用的过期删除策略是什么?

惰性删除+定期删除配合使用

Redis 是可以对 key 设置过期时间的,因此需要有相应的机制将已过期的键值对删除,而做这个工作的就是过期键值删除策略。

每当我们对一个 key 设置了过期时间时,Redis 会把该 key 带上过期时间存储到一个过期字典(expires dict)中,也就是说「过期字典」保存了数据库中所有 key 的过期时间。

当我们查询一个 key 时,Redis 首先检查该 key 是否存在于过期字典中:

  • 如果不在,则正常查询
  • 如果存在,则会获取该 key 的过期时间,然后与当前系统时间进行比对,如果比系统时间大,那就没有过期,否则判定该 key 已过期。

定时删除

定时删除策略的做法是,在设置 key 的过期时间时,同时创建一个定时事件,当时间到达时,由事件处理器自动执行 key 的删除操作。

定时删除策略的优点

  • 可以保证过期 key 会被尽快删除,也就是内存可以被尽快地释放。因此,定时删除对内存是最友好的。

定时删除策略的缺点

  • 在过期 key 比较多的情况下,删除过期 key 可能会占用相当一部分 CPU 时间,在内存不紧张但 CPU 时间紧张的情况下,将 CPU 时间用于删除和当前任务无关的过期键上,无疑会对服务器的响应时间和吞吐量造成影响。所以,定时删除策略对 CPU 不友好。

惰性删除

不主动删除过期键,每次从数据库访问 key 时,都检测 key 是否过期,如果过期则删除该 key。

优点:

  • 因为每次访问时,才会检查 key 是否过期,所以此策略只会使用很少的系统资源,因此,惰性删除策略对 CPU 时间最友好。

缺点:

  • 如果一个 key 已经过期,而这个 key 又仍然保留在数据库中,那么只要这个过期 key 一直没有被访问,它所占用的内存就不会释放,造成了一定的内存空间浪费。所以,惰性删除策略对内存不友好。

定期删除

每隔一段时间「随机」从数据库中取出一定数量的 key 进行检查,并删除其中的过期key

流程

  1. 从过期字典中随机抽取 20 个 key;
  2. 检查这 20 个 key 是否过期,并删除已过期的 key;
  3. 如果本轮检查的已过期 key 的数量,超过 5 个(20/4),也就是「已过期 key 的数量」占比「随机抽取 key 的数量」大于 25%,则继续重复步骤 1;如果已过期的 key 比例小于 25%,则停止继续删除过期 key,然后等待下一轮再检查。

优点

  • 通过限制删除操作执行的时长和频率,来减少删除操作对 CPU 的影响,同时也能删除一部分过期的数据减少了过期键对空间的无效占用。

缺点

  • 难以确定删除操作执行的时长和频率。如果执行的太频繁,就会对 CPU 不友好;如果执行的太少,那又和惰性删除一样了,过期 key 占用的内存不会及时得到释放。

惰性删除的具体实现

Redis 在访问或者修改 key 之前,都会调用 expireIfNeeded 函数对其进行检查,检查 key 是否过期:

  • 如果过期,则删除该 key,至于选择异步删除,还是选择同步删除,根据 lazyfree_lazy_expire 参数配置决定(Redis 4.0版本开始提供参数),然后返回 null 客户端;
  • 如果没有过期,不做任何处理,然后返回正常的键值对给客户端;

定期删除的具体实现

  1. 间隔检查的时间

可以在redis.conf文件中进行配置,默认是10s

  1. 随机抽查的数量是写死的20
  2. 每次定期删除并不会超过25s

Redis 持久化时,对过期键会如何处理的?

RDB 文件分为两个阶段,RDB 文件生成阶段和加载阶段。

  • RDB 文件生成阶段:从内存状态持久化成 RDB(文件)的时候,会对 key 进行过期检查,过期的键「不会」被保存到新的 RDB 文件中,因此 Redis 中的过期键不会对生成新 RDB 文件产生任何影响。

  • RDB 加载阶段

    :RDB 加载阶段时,要看服务器是主服务器还是从服务器,分别对应以下两种情况:

    • 如果 Redis 是「主服务器」运行模式的话,在载入 RDB 文件时,程序会对文件中保存的键进行检查,过期键「不会」被载入到数据库中。所以过期键不会对载入 RDB 文件的主服务器造成影响;
    • 如果 Redis 是「从服务器」运行模式的话,在载入 RDB 文件时,不论键是否过期都会被载入到数据库中。但由于主从服务器在进行数据同步时,从服务器的数据会被清空。所以一般来说,过期键对载入 RDB 文件的从服务器也不会造成影响。

AOF 文件分为两个阶段,AOF 文件写入阶段和 AOF 重写阶段。

  • AOF 文件写入阶段:当 Redis 以 AOF 模式持久化时,如果数据库某个过期键还没被删除,那么 AOF 文件会保留此过期键,当此过期键被删除后,Redis 会向 AOF 文件追加一条 DEL 命令来显式地删除该键值
  • AOF 重写阶段:执行 AOF 重写时,会对 Redis 中的键值对进行检查,已过期的键不会被保存到重写后的 AOF 文件中,因此不会对 AOF 重写造成任何影响。

Redis 主从模式中,对过期键会如何处理?

当 Redis 运行在主从模式下时,从库不会进行过期扫描,从库对过期的处理是被动的。也就是即使从库中的 key 过期了,如果有客户端访问从库时,依然可以得到 key 对应的值,像未过期的键值对一样返回。

从库的过期键处理依靠主服务器控制,主库在 key 到期时,会在 AOF 文件里增加一条 del 指令,同步到所有的从库,从库通过执行这条 del 指令来删除过期的 key。

Redis 内存满了,会发生什么?

在 Redis 的运行内存达到了某个阀值,就会触发内存淘汰机制,这个阀值就是我们设置的最大运行内存,此值在 Redis 的配置文件中可以找到,配置项为 maxmemory。

Redis 内存淘汰策略有哪些?

Redis 内存淘汰策略共有八种,这八种策略大体分为「不进行数据淘汰」和「进行数据淘汰」两类策略。

  1. 不进行数据淘汰的策略

noeviction(Redis3.0之后,默认的内存淘汰策略) :它表示当运行内存超过最大设置内存时,不淘汰任何数据,而是不再提供服务,直接返回错误。

  1. 进行数据淘汰的策略

针对「进行数据淘汰」这一类策略,又可以细分为「在设置了过期时间的数据中进行淘汰」和「在所有数据范围内进行淘汰」这两类策略。

在设置了过期时间的数据中进行淘汰:

  • volatile-random:随机淘汰设置了过期时间的任意键值;
  • volatile-ttl:优先淘汰更早过期的键值。
  • volatile-lru(Redis3.0 之前,默认的内存淘汰策略):淘汰所有设置了过期时间的键值中,最久未使用的键值;
  • volatile-lfu(Redis 4.0 后新增的内存淘汰策略):淘汰所有设置了过期时间的键值中,最少使用的键值;

在所有数据范围内进行淘汰:

  • allkeys-random:随机淘汰任意键值;
  • allkeys-lru:淘汰整个键值中最久未使用的键值;
  • allkeys-lfu(Redis 4.0 后新增的内存淘汰策略):淘汰整个键值中最少使用的键值。

如何修改 Redis 内存淘汰策略?

设置内存淘汰策略有两种方法:

  • 方式一:通过“config set maxmemory-policy <策略>”命令设置。它的优点是设置之后立即生效,不需要重启 Redis 服务,缺点是重启 Redis 之后,设置就会失效。
  • 方式二:通过修改 Redis 配置文件修改,设置“maxmemory-policy <策略>”,它的优点是重启 Redis 服务后配置不会丢失,缺点是必须重启 Redis 服务,设置才能生效

Redis如何实现LRU 算法

最近最少使用

传统 LRU 算法的实现是基于「链表」结构,链表中的元素按照操作顺序从前往后排列,最新操作的键会被移动到表头,当需要内存淘汰时,只需要删除链表尾部的元素即可,因为链表尾部的元素就代表最久未被使用的元素。

存在2个问题

  • 需要用链表管理所有的缓存数据,这会带来额外的空间开销;
  • 当有数据被访问时,需要在链表上把该数据移动到头端,如果有大量数据被访问,就会带来很多链表移动操作,会很耗时,进而会降低 Redis 缓存性能。

Redis实现

Redis在每个对象上添加一个最近访问时间,内存淘汰时,使用随机抽样的方式淘汰数据,随机取5个值,然后淘汰最久没有使用的那个

优点:

  • 不用为所有的数据维护一个大链表,节省了空间占用;
  • 不用在每次数据访问时都移动链表项,提升了缓存的性能;

缺点:

  • 一个应用读取了大量缓存,但很大一部分缓存只用这一次,那么他们就会在Redis存活很长时间,称为缓存污染

因此,Redis4.0后采用了LFU算法解决这个问题

LFU

最近最不常用的

LFU算法使得Redis还需要在对象中存储一个访问次数

Redis 对象头中的 lru 字段,在 LRU 算法下和 LFU 算法下使用方式并不相同。

在 LRU 算法中,Redis 对象头的 24 bits 的 lru 字段是用来记录 key 的访问时间戳,因此在 LRU 模式下,Redis可以根据对象头中的 lru 字段记录的值,来比较最后一次 key 的访问时间长,从而淘汰最久未被使用的 key。

在 LFU 算法中,Redis对象头的 24 bits 的 lru 字段被分成两段来存储,高 16bit 存储 ldt(Last Decrement Time),用来记录 key 的访问时间戳;低 8bit 存储 logc(Logistic Counter),用来记录 key 的访问频次。

注意,logc 并不是单纯的访问次数,而是访问频次(访问频率),因为 logc 会随时间推移而衰减的

也就是根据访问次数和访问间隔搞出个访问频率,根据访问频率进行优化!

所以,Redis 在访问 key 时,对于 logc 是这样变化的:

  1. 先按照上次访问距离当前的时长,来对 logc 进行衰减;
  2. 然后,再按照一定概率增加 logc 的值

redis.conf 提供了两个配置项,用于调整 LFU 算法从而控制 logc 的增长和衰减:

  • lfu-decay-time 用于调整 logc 的衰减速度,它是一个以分钟为单位的数值,默认值为1,lfu-decay-time 值越大,衰减越慢;
  • lfu-log-factor 用于调整 logc 的增长速度,lfu-log-factor 值越大,logc 增长越慢

Redis分布式锁详解

分布式锁满足的条件

可见性:多个线程都能看到相同的结果,注意:这个地方说的可见性并不是并发编程中指的内存可见性,只是说多个进程之间都能感知到变化的意思

互斥:互斥是分布式锁的最基本的条件,使得程序串行执行

高可用:程序不易崩溃,时时刻刻都保证较高的可用性

高性能:由于加锁本身就让性能降低,所有对于分布式锁本身需要他就较高的加锁性能和释放锁性能

安全性:安全也是程序中必不可少的一环

自己实现的分布式锁

Redis 本身可以被多个客户端共享访问,正好就是一个共享存储系统,可以用来保存分布式锁,而且 Redis 的读写性能高,可以应对高并发的锁操作场景。

Redis 的 SET 命令有个 NX 参数可以实现「key不存在才插入」,所以可以用它来实现分布式锁:

  • 如果 key 不存在,则显示插入成功,可以用来表示加锁成功;
  • 如果 key 存在,则会显示插入失败,可以用来表示加锁失败。

需要满足3个条件

  • 加锁包括了读取锁变量、检查锁变量值和设置锁变量值三个操作,但需要以原子操作的方式完成,所以,我们使用 SET 命令带上 NX 选项来实现加锁;
  • 锁变量需要设置过期时间,以免客户端拿到锁后发生异常,导致锁一直无法释放,所以,我们在 SET 命令执行时加上 EX/PX 选项,设置其过期时间;
    • 防止有些业务一直阻塞时其他线程都拿不到锁
  • 锁变量的值需要能区分来自不同客户端的加锁操作,以免在释放锁时,出现误释放操作,所以,我们使用 SET 命令设置锁变量值时,每个客户端设置的值是一个唯一值,用于标识客户端;
    • 为什么需要辨别不同客户端?因为JVM1的线程1要是阻塞了,锁过期了,JVM2的线程2拿到锁并咔咔执行任务,线程1醒过来由于还在逻辑里,然后运行到删除锁的逻辑,就会把线程2的锁给删了
  • 需要加入lua脚本确保原子性
    • 为什么需要原子性?JVM1的线程1需要先判断当前锁是不是自己的才进行删除,当发现是自己的正要删除锁时,锁过期了,此时线程2拿到了锁,如果不保证原子性,线程1就会把线程2的锁删除,又发生了误删锁问题
    • lua脚本使得线程1在判断锁是否为自己时,要是锁过期了,那么就会发生回滚,线程1再下次进来还需要判断锁是否为自己的才可以进行删除
SET lock_key unique_value NX PX 10000 
  • lock_key 就是 key 键;
  • unique_value 是客户端生成的唯一的标识,区分来自不同客户端的锁操作;
  • NX 代表只在 lock_key 不存在时,才对 lock_key 进行设置操作;
  • PX 10000 表示设置 lock_key 的过期时间为 10s,这是为了避免客户端发生异常而无法释放锁。

而解锁的过程就是将 lock_key 键删除(del lock_key),但不能乱删,要保证执行操作的客户端就是加锁的客户端。所以,解锁的时候,我们要先判断锁的 unique_value 是否为加锁客户端,是的话,才将 lock_key 键删除。

可以看到,解锁是有两个操作,这时就需要 Lua 脚本来保证解锁的原子性,因为 Redis 在执行 Lua 脚本时,可以以原子性的方式执行,保证了锁释放操作的原子性。

// 释放锁时,先比较 unique_value 是否相等,避免锁的误释放
if redis.call("get",KEYS[1]) == ARGV[1] then
    return redis.call("del",KEYS[1])
else
    return 0
end

这样一来,就通过使用 SET 命令和 Lua 脚本在 Redis 单节点上完成了分布式锁的加锁和解锁。

基于 Redis 实现分布式锁的优点

  1. 性能高效(这是选择缓存实现分布式锁最核心的出发点)。
  2. 实现方便。很多研发工程师选择使用 Redis 来实现分布式锁,很大成分上是因为 Redis 提供了 setnx 方法,实现分布式锁很方便。
  3. 避免单点故障(因为 Redis 是跨集群部署的,自然就避免了单点故障)。

基于 Redis 实现分布式锁的缺点

  • 超时时间不好设置

    。如果锁的超时时间设置过长,会影响性能,如果设置的超时时间过短会保护不到共享资源。比如在有些场景中,一个线程 A 获取到了锁之后,由于业务代码执行时间可能比较长,导致超过了锁的超时时间,自动失效,注意 A 线程没执行完,后续线程 B 又意外的持有了锁,意味着可以操作共享资源,那么两个线程之间的共享资源就没办法进行保护了。

    • 那么如何合理设置超时时间呢? 我们可以基于续约的方式设置超时时间:先给锁设置一个超时时间,然后启动一个守护线程,让守护线程在一段时间后,重新设置这个锁的超时时间。实现方式就是:写一个守护线程,然后去判断锁的情况,当锁快失效的时候,再次进行续约加锁,当主线程执行完成后,销毁续约锁即可,不过这种方式实现起来相对复杂。
  • 不可重入:线程获取了一个锁后无法再获取这把锁

  • 不可重试:是指目前的分布式只能尝试一次,我们认为合理的情况是:当线程在获得锁失败后,他应该能再次尝试获得锁。

  • Redis 主从复制模式中的数据是异步复制的,这样导致分布式锁的不可靠性。如果在 Redis 主节点获取到锁后,在没有同步到其他节点时,Redis 主节点宕机了,此时新的 Redis 主节点依然可以获取锁,所以多个应用服务就可以同时获取到锁。

Redis 如何解决集群情况下分布式锁的可靠性?-Redlock

为了保证集群环境下分布式锁的可靠性,Redis 官方已经设计了一个分布式锁算法 Redlock(红锁)。

它是基于多个 Redis 节点的分布式锁,即使有节点发生了故障,锁变量仍然是存在的,客户端还是可以完成锁操作。官方推荐是至少部署 5 个 Redis 节点,而且都是主节点,它们之间没有任何关系,都是一个个孤立的节点。

Redlock 算法的基本思路,是让客户端和多个独立的 Redis 节点依次请求申请加锁,如果客户端能够和半数以上的节点成功地完成加锁操作,那么我们就认为,客户端成功地获得分布式锁,否则加锁失败

这样一来,即使有某个 Redis 节点发生故障,因为锁的数据在其他节点上也有保存,所以客户端仍然可以正常地进行锁操作,锁的数据也不会丢失。

Redlock 算法加锁三个过程:

  • 第一步是,客户端获取当前时间(t1)。
  • 第二步是,客户端按顺序依次向 N 个 Redis 节点执行加锁操作:
    • 加锁操作使用 SET 命令,带上 NX,EX/PX 选项,以及带上客户端的唯一标识。
    • 如果某个 Redis 节点发生故障了,为了保证在这种情况下,Redlock 算法能够继续运行,我们需要给「加锁操作」设置一个超时时间(不是对「锁」设置超时时间,而是对「加锁操作」设置超时时间),加锁操作的超时时间需要远远地小于锁的过期时间,一般也就是设置为几十毫秒。
  • 第三步是,一旦客户端从超过半数(大于等于 N/2+1)的 Redis 节点上成功获取到了锁,就再次获取当前时间(t2),然后计算计算整个加锁过程的总耗时(t2-t1)。如果 t2-t1 < 锁的过期时间,此时,认为客户端加锁成功,否则认为加锁失败。

可以看到,加锁成功要同时满足两个条件(简述:如果有超过半数的 Redis 节点成功的获取到了锁,并且总耗时没有超过锁的有效时间,那么就是加锁成功):

  • 条件一:客户端从超过半数(大于等于 N/2+1)的 Redis 节点上成功获取到了锁;
  • 条件二:客户端从大多数节点获取锁的总耗时(t2-t1)小于锁设置的过期时间。

加锁成功后,客户端需要重新计算这把锁的有效时间,计算的结果是「锁最初设置的过期时间」减去「客户端从大多数节点获取锁的总耗时(t2-t1)」。如果计算的结果已经来不及完成共享数据的操作了,我们可以释放锁,以免出现还没完成数据操作,锁就过期了的情况。

加锁失败后,客户端向所有 Redis 节点发起释放锁的操作,释放锁的操作和在单节点上释放锁的操作一样,只要执行释放锁的 Lua 脚本就可以了。Redis 本身可以被多个客户端共享访问,正好就是一个共享存储系统,可以用来保存分布式锁,而且 Redis 的读写性能高,可以应对高并发的锁操作场景。

Redission

redission可重入锁原理

采用hash结构用来存储锁,其中大key表示表示这把锁是否存在,用小key表示当前这把锁被哪个线程持有,lua的参数如下

KEYS[1] : 锁名称

ARGV[1]: 锁失效时间

ARGV[2]: id + ":" + threadId; 锁的小key

  1. 首先先判断当前锁是否存在,如果==0表示不存在,返回null

  2. 判断redis.call('hexists', KEYS[1], ARGV[2]) == 1,通过大key+小key判断当前这把锁是否是属于自己的,如果是自己的,则进行redis.call('hincrby', KEYS[1], ARGV[2], 1)并且返回null

    即将当前这个锁的value进行+1 ,redis.call('pexpire', KEYS[1], ARGV[1]); 然后再对其设置过期时间,如果以上两个条件都不满足,则表示当前这把锁抢锁失败,最后返回pttl,即为当前这把锁的失效时间

  3. 如果返回的不是null,则会进入自旋抢锁

图片转存失败,建议将图片保存下来直接上传

redission锁重试

默认锁超时释放时间为30s

底层是有个重试机制,主要就是通过时间判断是否需要重试

WatchDog机制

在获取锁成功以后,开启一个定时任务,每隔一段时间就会去重置锁的超时时间,以确保锁是在程序执行完unlock手动释放的,不会发生因为业务阻塞,key超时而自动释放的情况。

如果宕机了那么就无法完成续约

img

  1. 在获取锁的时候,不能指定leaseTime或者只能将leaseTime设置为-1,这样才能开启看门狗机制。
  2. tryLockInnerAsync方法里尝试获取锁,如果获取锁成功调用scheduleExpirationRenewal执行看门狗机制
  3. scheduleExpirationRenewal中比较重要的方法就是renewExpiration,当线程第一次获取到锁(也就是不是重入的情况),那么就会调用renewExpiration方法开启看门狗机制。
  4. renewExpiration会为当前锁添加一个延迟任务task,这个延迟任务会在10s后执行,执行的任务就是将锁的有效期刷新为30s(这是看门狗机制的默认锁释放时间)
  5. 并且在任务最后还会继续递归调用renewExpiration

也就是总的流程就是,首先获取到锁(这个锁30s后自动释放),然后对锁设置一个延迟任务(10s后执行),延迟任务给锁的释放时间刷新为30s,并且还为锁再设置一个相同的延迟任务(10s后执行),这样就达到了如果一直不释放锁(程序没有执行完)的话,看门狗机制会每10s将锁的自动释放时间刷新为30s。

而当程序出现异常(说明阻塞了),那么看门狗机制就不会继续递归调用renewExpiration,这样锁会在30s后自动释放。

redission锁的MutiLock原理

提出:在主从集群中,主节点宕机了,选举了新主节点,当锁的信息只有老主节点才有,新主节点误认为该锁已被释放,其实该锁还没被释放

为了解决这个问题,redission提出来了MutiLock锁,使用这把锁咱们就不使用主从了,每个节点的地位都是一样的, 这把锁加锁的逻辑需要写入到每一个主丛节点上,只有所有的服务器都写入成功,此时才是加锁成功,假设现在某个节点挂了,那么他去获得锁的时候,只要有一个节点拿不到,都不能算是加锁成功,就保证了加锁的可靠性。

那么MutiLock 加锁原理是什么呢?笔者画了一幅图来说明

当我们去设置了多个锁时,redission会将多个锁添加到一个集合中,然后用while循环去不停去尝试拿锁,但是会有一个总共的加锁时间,这个时间是用需要加锁的个数 * 1500ms ,假设有3个锁,那么时间就是4500ms,假设在这4500ms内,所有的锁都加锁成功, 那么此时才算是加锁成功,如果在4500ms有线程加锁失败,则会再次去进行重试.

图片转存失败,建议将图片保存下来直接上传

Redis实战

Redis如何实现延迟队列

在 Redis 可以使用有序集合(ZSet)的方式来实现延迟消息队列的,ZSet 有一个 Score 属性可以用来存储延迟执行的时间。

使用 zadd score1 value1 命令就可以一直往内存中生产消息。再利用 zrangebysocre 查询符合条件的所有待处理的任务, 通过循环执行队列任务即可。

img

Redis的大key

一般而言,下面这两种情况被称为大 key:

  • String 类型的值大于 10 KB;
  • Hash、List、Set、ZSet 类型的元素的个数超过 5000个;

大key会带来什么问题

  • 客户端超时阻塞。由于 Redis 执行命令是单线程处理,然后在操作大 key 时会比较耗时,那么就会阻塞Redis,从客户端这一视角看,就是很久很久都没有响应。
  • 引发网络阻塞。每次获取大 key 产生的网络流量较大,如果一个 key 的大小是 1 MB,每秒访问量为 1000,那么每秒会产生 1000MB 的流量,这对于普通千兆网卡的服务器来说是灾难性的。
  • 阻塞工作线程。如果使用 del 删除大 key 时,会阻塞工作线程,这样就没办法处理后续的命令。
  • 内存分布不均。集群模型在 slot 分片均匀情况下,会出现数据和查询倾斜情况,部分有大 key 的 Redis 节点占用内存多,QPS 也会比较大。

如何找到大key

1、redis-cli --bigkeys 查找大key

可以通过 redis-cli --bigkeys 命令查找大 key:

redis-cli -h 127.0.0.1 -p6379 -a "password" -- bigkeys

使用的时候注意事项:

  • 最好选择在从节点上执行该命令。因为主节点上执行时,会阻塞主节点;
  • 如果没有从节点,那么可以选择在 Redis 实例业务压力的低峰阶段进行扫描查询,以免影响到实例的正常运行;或者可以使用 -i 参数控制扫描间隔,避免长时间扫描降低 Redis 实例的性能。

该方式的不足之处:

  • 这个方法只能返回每种类型中最大的那个 bigkey,无法得到大小排在前 N 位的 bigkey;
  • 对于集合类型来说,这个方法只统计集合元素个数的多少,而不是实际占用的内存量。但是,一个集合中的元素个数多,并不一定占用的内存就多。因为,有可能每个元素占用的内存很小,这样的话,即使元素个数有很多,总内存开销也不大;

2、使用 SCAN 命令查找大 key

使用 SCAN 命令对数据库扫描,然后用 TYPE 命令获取返回的每一个 key 的类型。

对于 String 类型,可以直接使用 STRLEN 命令获取字符串的长度,也就是占用的内存空间字节数。

对于集合类型来说,有两种方法可以获得它占用的内存大小:

  • 如果能够预先从业务层知道集合元素的平均大小,那么,可以使用下面的命令获取集合元素的个数,然后乘以集合元素的平均大小,这样就能获得集合占用的内存大小了。List 类型:LLEN 命令;Hash 类型:HLEN 命令;Set 类型:SCARD 命令;Sorted Set 类型:ZCARD 命令;
  • 如果不能提前知道写入集合的元素大小,可以使用 MEMORY USAGE 命令(需要 Redis 4.0 及以上版本),查询一个键值对占用的内存空间。

3、使用 RdbTools 工具查找大 key

使用 RdbTools 第三方开源工具,可以用来解析 Redis 快照(RDB)文件,找到其中的大 key。

比如,下面这条命令,将大于 10 kb 的 key 输出到一个表格文件。

rdb dump.rdb -c memory --bytes 10240 -f redis.csv

如何删除大Key

删除操作的本质是要释放键值对占用的内存空间,不要小瞧内存的释放过程。

释放内存只是第一步,为了更加高效地管理内存空间,在应用程序释放内存时,操作系统需要把释放掉的内存块插入一个空闲内存块的链表,以便后续进行管理和再分配。这个过程本身需要一定时间,而且会阻塞当前释放内存的应用程序。

所以,如果一下子释放了大量内存,空闲内存块链表操作时间就会增加,相应地就会造成 Redis 主线程的阻塞,如果主线程发生了阻塞,其他所有请求可能都会超时,超时越来越多,会造成 Redis 连接耗尽,产生各种异常。

因此,删除大 key 这一个动作,我们要小心。具体要怎么做呢?这里给出两种方法:

  • 分批次删除
  • 异步删除(Redis 4.0版本以上)

分批次删除

对于删除大 Hash,使用 hscan 命令,每次获取 100 个字段,再用 hdel 命令,每次删除 1 个字段。

对于删除大 List,通过 ltrim 命令,每次删除少量元素。

对于删除大 Set,使用 sscan 命令,每次扫描集合中 100 个元素,再用 srem 命令每次删除一个键。

对于删除大 ZSet,使用 zremrangebyrank 命令,每次删除 top 100个元素。

异步删除

从 Redis 4.0 版本开始,可以采用异步删除法,用 unlink 命令代替 del 来删除

这样 Redis 会将这个 key 放入到一个异步线程中进行删除,这样不会阻塞主线程。

除了主动调用 unlink 命令实现异步删除之外,我们还可以通过配置参数,达到某些条件的时候自动进行异步删除。

主要有 4 种场景,默认都是关闭的:

lazyfree-lazy-eviction no
lazyfree-lazy-expire no
lazyfree-lazy-server-del
noslave-lazy-flush no

它们代表的含义如下:

  • lazyfree-lazy-eviction:表示当 Redis 运行内存超过 maxmeory 时,是否开启 lazy free 机制删除;
  • lazyfree-lazy-expire:表示设置了过期时间的键值,当过期之后是否开启 lazy free 机制删除;
  • lazyfree-lazy-server-del:有些指令在处理已存在的键时,会带有一个隐式的 del 键的操作,比如 rename 命令,当目标键已存在,Redis 会先删除目标键,如果这些目标键是一个 big key,就会造成阻塞删除的问题,此配置表示在这种场景中是否开启 lazy free 机制删除;
  • slave-lazy-flush:针对 slave (从节点) 进行全量数据同步,slave 在加载 master 的 RDB 文件前,会运行 flushall 来清理自己的数据,它表示此时是否开启 lazy free 机制删除。

建议开启其中的 lazyfree-lazy-eviction、lazyfree-lazy-expire、lazyfree-lazy-server-del 等配置,这样就可以有效的提高主线程的执行效率。

Redis管道有什么用

使用管道技术可以解决多个命令执行时的网络等待,它是把多个命令整合到一起发送给服务器端处理之后统一返回给客户端,这样就免去了每条命令执行后都要等待的情况,从而有效地提高了程序的执行效率。

但使用管道技术也要注意避免发送的命令过大,或管道内的数据太多而导致的网络阻塞。

要注意的是,管道技术本质上是客户端提供的功能,而非 Redis 服务器端的功能。

Redis支持事务回滚吗

Redis 中并没有提供回滚机制,虽然 Redis 提供了 DISCARD 命令,但是这个命令只能用来主动放弃事务执行,把暂存的命令队列清空,起不到回滚的效果。

事务执行过程中,如果命令入队时没报错,而事务提交后,实际执行时报错了,正确的命令依然可以正常执行,所以这可以看出 Redis 并不一定保证原子性(原子性:事务中的命令要不全部成功,要不全部失败)。

Nosql篇

SQL 和 NoSQL 有什么区别?

SQL 数据库NoSQL 数据库
数据存储模型结构化存储,具有固定行和列的表格非结构化存储。文档:JSON 文档,键值:键值对,宽列:包含行和动态列的表,图:节点和边
发展历程开发于 1970 年代,重点是减少数据重复开发于 2000 年代后期,重点是提升可扩展性,减少大规模数据的存储成本
例子Oracle、MySQL、Microsoft SQL Server 、PostgreSQL文档:MongoDB、CouchDB,键值:Redis 、DynamoDB,宽列:Cassandra 、 HBase,图表:Neo4j 、 Amazon Neptune、Giraph
ACID 属性提供原子性、一致性、隔离性和持久性 (ACID) 属性通常不支持 ACID 事务,为了可扩展、高性能进行了权衡,少部分支持比如 MongoDB 。不过,MongoDB 对 ACID 事务 的支持和 MySQL 还是有所区别的。
性能性能通常取决于磁盘子系统。要获得最佳性能,通常需要优化查询、索引和表结构。性能通常由底层硬件集群大小、网络延迟以及调用应用程序来决定。
扩展垂直(使用性能更强大的服务器进行扩展)、读写分离、分库分表横向(增加服务器的方式横向扩展,通常是基于分片机制)
用途普通企业级的项目的数据存储用途广泛比如图数据库支持分析和遍历连接数据之间的关系、键值数据库可以处理大量数据扩展和极高的状态变化
查询语法结构化查询语言 (SQL)数据访问语法可能因数据库而异

NoSQL 数据库有什么优势?

NoSQL 数据库非常适合许多现代应用程序,例如移动、Web 和游戏等应用程序,它们需要灵活、可扩展、高性能和功能强大的数据库以提供卓越的用户体验。

  • 灵活性: NoSQL 数据库通常提供灵活的架构,以实现更快速、更多的迭代开发。灵活的数据模型使 NoSQL 数据库成为半结构化和非结构化数据的理想之选。
  • 可扩展性: NoSQL 数据库通常被设计为通过使用分布式硬件集群来横向扩展,而不是通过添加昂贵和强大的服务器来纵向扩展。
  • 高性能: NoSQL 数据库针对特定的数据模型和访问模式进行了优化,这与尝试使用关系数据库完成类似功能相比可实现更高的性能。
  • 强大的功能: NoSQL 数据库提供功能强大的 API 和数据类型,专门针对其各自的数据模型而构建。

# NoSQL 数据库有哪些类型?

NoSQL 数据库主要可以分为下面四种类型:

  • 键值 :键值数据库是一种较简单的数据库,其中每个项目都包含键和值。这是极为灵活的 NoSQL 数据库类型,因为应用可以完全控制 value 字段中存储的内容,没有任何限制。Redis 和 DynanoDB 是两款非常流行的键值数据库。
  • 文档 :文档数据库中的数据被存储在类似于 JSON(JavaScript 对象表示法)对象的文档中,非常清晰直观。每个文档包含成对的字段和值。这些值通常可以是各种类型,包括字符串、数字、布尔值、数组或对象等,并且它们的结构通常与开发者在代码中使用的对象保持一致。MongoDB 就是一款非常流行的文档数据库。
  • 图形 :图形数据库旨在轻松构建和运行与高度连接的数据集一起使用的应用程序。图形数据库的典型使用案例包括社交网络、推荐引擎、欺诈检测和知识图形。Neo4j 和 Giraph 是两款非常流行的图形数据库。
  • 宽列 :宽列存储数据库非常适合需要存储大量的数据。Cassandra 和 HBase 是两款非常流行的宽列存储数据库。

下面这张图片来源于 微软的官方文档 | 关系数据与 NoSQL 数据open in new window

NoSQL 数据模型