正则表达式原理及其简单实现

468 阅读6分钟

本文从文件依赖依赖这个需求切入, 详细阐述了文件依赖分析的实现过程, 对于其中所使用到的正则表达式进行原理上的分析, 说明了状态机的基本架构以及状态机的最小实现

文件依赖分析

如果我想获取某个文件的所有依赖(如下图中的紫色部分), 应该怎么做呢

image.png

  • 【方案1】 利用 webpack 打包后通过 babel 编译拿到 ast 中对应的引入部分
  • 【方案2】 直接使用正则进行提取

两种方案各有优劣, 由于本文的内容是跟正则相关的, 【方案1】最后拿到的 ast 也是通过正则匹配得到的, 所以直接一步到位, 阐述一下【方案2】实现过程以及其中的原理

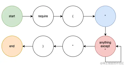
假设只提取 require 相关模块

const reg = /require\((")([^\1]+?)\)/gm

image.png

提取所有模块

const reg = /(src|require|import|url|from).(['"`~(])([^(\2)]+?)(\)|\2)/gm

大括号是我临时加上去的, 之前没用 react 没考虑到大括号 image.png

可以看到, 上面的两张状态转移图已经接近于状态机了, 所以下文开始讲正则的原理以及状态机

正则表达式原理

正则表达式的定义

对于给定的字符集:Σ = {c1, c2, ..., cn},有
1. ε(空字符串)是正则表达式
2. 对于任意 c ∈ Σ,c 是正则表达式
3. 如果 M、N 是正则表达式,那么以下都是正则表达式
   - 选择:M | N == {M, N}
   - 连接:MN == {mn | m ∈ M, n ∈ N}
   - 闭包:M* == {ε, M, MM, MMM, ...}

以上为正则表达式的基本构造,但是如果用基本构造去写正则表达式,篇幅太长了,所以为了简化正则表达式,就有了正则表达式的语法糖:

1. [c1-cn] == c1|c2|...|cn
2. c+ == 一个或者多个 c
3. c? == 一个或者零个 c
4. "c*" == 就是 c* 本身,不是闭包,类似转义
5. c{i, j} == i 个到 j 个 c 的连接
6. 点 (.) == 除了 '\n' 之外的任意字符

如何去测试一个字符串是否通过了正则表达式的规则呢?

这就引出了状态机的定义

状态机的架构

输入的字符串 => 状态机 => yes/no

即,状态机 会告诉你,它能不能接受或者说识别你输入的字符串,可以回答 yes,否则回答 no。更加规范的描述是:

M = (Σ, S, q0, F, δ)

- Σ: 字母表
- S: 状态集
- q0: 初始状态 
- F: 终结状态集
- δ: 转移函数

举个例子:

对于这个图来说:

- Σ: {a, b}
- S: {0, 1, 2}
- q0: {0}
- F: {2}
- δ: {
  (q0, a) -> q1,
  (q0, b) -> q0,
  (q1, a) -> q2,
  (q1, b) -> q1,
  (q2, a) -> q2,
  (q2, b) -> q2,
}

接受的定义是,输入串消耗完毕之后,最后的状态一定要是终结状态,假如输入的字符串 S = abab,那显然是可以被接受的。

我们再详细地看它的转移函数,每个状态,遇到特定的一个输入,都只有一个路线可以走,那么这种状态机就叫做 DFA(确定状态有限状态自动机)

NFA 与 DFA

DFA (确定状态有限状态自动机)

所以有限状态机的工作过程,就是从开始状态,根据不同的输入,自动进行状态转换的过程。

  • 开始状态:圆圈表示状态,被一个“没有起点的箭头”指向的状态,是开始状态,上例中是 S1
  • 最终状态:也叫接受状态,图中用双圆圈表示,这个例子中也是 S1
  • 输入:在一个状态下,向状态机输入的符号/信号,不同输入导致状态机产生不同的状态改变
  • 转换:在一个状态下,根据特定输入,改变到特定状态的过程,就是转换

上图中的状态机的功能,是 检测二进制数是否含有偶数个 0 。从图上可以看出,输入只有 1 和 0 两种。从 S1 状态开始,只有输入 0 才会转换到 S2 状态,同样 S2 状态下只有输入 0 才会转换到 S1。所以,二进制数输入完毕,如果满足最终状态,也就是最后停在 S1 状态,那么输入的二进制数就含有偶数个 0。

NFA (非确定状态有限状态自动机)

DFA 最大的特点就是 「在一个状态下,输入一个符号,一定是转换到确定的状态,没有其他的可能性。」而 NFA,就不止一个可能性

举个例子,对于正则表达式 ab|ac,对应 NFA 可以是这样的:

可以看到,在状态 1 这里,如果输入 a,其实有两种可能,如果后面的符号是 b,那么可以匹配成功,后面符号是 c 也能匹配成功。所以状态机在执行过程中,可能要尝试所有的可能性。在尝试一种可能路径匹配失败后,还要回到之前的状态再尝试其他的路径,这就是 「回溯」

但是 DFA 消除了这种不确定性,所以可以想见,其执行性能应该要比 NFA 更好,因为不需要回溯。


DFANFA 的本质区别

DFA: 对于任意字符, 最多有一个状态可以转移

NFA: 对于任意字符, 有多于一个状态可以转移。


虽然在计算机领域中, 要尽量消除程序的二义性, 但正则表达式很多时候都相当于一种模糊匹配。不太需要 DFA(确定有限状态机) 那样精确的过程, 为了追求更高的运行性能,现在大多数语言的正则表达式实现都采用的 NFA(非确定有限状态机)


如何将正则表达式转换成 NFA (Thompson算法)

正则表达式的定义

  1. ε,即空字符串
  2. c,即单个字符
  3. e1e2,连接
  4. e1|e2,选择
  5. e1*,闭包

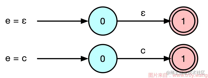
Thompson 算法中使用最基本的两种转换:

正则表达式中的各种运算,可以通过组合上述两种转换实现:

  • 组合运算 RS

  • 选择运算 R|S

  • 闭包运算 R*

上面图中的 R、S 是有开始状态和结束状态的 NFA。

以正则表达式 ab|c 为例,包括两个运算:

  • ab 组合
  • ab 的结果,与 c 替换

这样我们把正则表达式视为一系列输入和运算,进行分解、组合,就可以得到最终的 NFA。

NFA的实现(dom的词法分析)

有这样一个dom, <p>content</p>,它的状态机如下所示。

状态机的实现如下所示

const str = `<p>text</p>`

const State = {
  initial: 1, // 初始状态
  tagOpen: 2, // 标签开始状态
  tagName: 3, // 标签名称状态
  text: 4, // 文本状态
  tagEnd: 5, // 标签结束状态
  tagEndName: 6 // 结束标签名称状态
}

function isAlpha(char) {
  return char >= 'a' && char <= 'z' || char >= 'A' && char <= 'Z'
}

function NFAForDom(str) {
  let currentState = State.initial
  const chars = []
  const tokens = []
  while(str) {
    const char = str[0]
    switch (currentState) {
      case State.initial:
        if (char === '<') {
          currentState = State.tagOpen
          str = str.slice(1)
        } else if (isAlpha(char)) {
          currentState = State.text
          chars.push(char)
          str = str.slice(1)
        }
        break
      case State.tagOpen:
        if (isAlpha(char)) {
          currentState = State.tagName
          chars.push(char)
          str = str.slice(1)
        } else if (char === '/') {
          currentState = State.tagEnd
          str = str.slice(1)
        }
        break
      case State.tagName:
        if (isAlpha(char)) {
          chars.push(char)
          str = str.slice(1)
        } else if (char === '>') {
          currentState = State.initial
          tokens.push({
            type: 'tag',
            name: chars.join('')
          })
          chars.length = 0
          str = str.slice(1)
        }
        break
      case State.text:
        if (isAlpha(char)) {
          chars.push(char)
          str = str.slice(1)
        } else if (char === '<') {
          currentState = State.tagOpen
          tokens.push({
            type: 'text',
            content: chars.join('')
          })
          chars.length = 0
          str = str.slice(1)
        }
        break
      case State.tagEnd:
        if (isAlpha(char)) {
          currentState = State.tagEndName
          chars.push(char)
          str = str.slice(1)
        }
        break
      case State.tagEndName:
        if (isAlpha(char)) {
          chars.push(char)
          str = str.slice(1)
        } else if (char === '>') {
          currentState = State.initial
          tokens.push({
            type: 'tagEnd',
            name: chars.join('')
          })
          chars.length = 0
          str = str.slice(1)
        }
        break
    }
  }

  return tokens
}

console.log(NFAForDom(str))

参考链接:

markdown-it 词法分析经典入门

super-tiny-compiler

正则表达式测试

插图制作

插图来源1

插图来源2