并发编程(下)

121 阅读14分钟

1 线程同步

1.1 CyclicBarrier

现实生活中我们经常会遇到这样的情景,在进行某个活动前需要等待人全部都齐了才开始。例如

  • 吃饭时要等全家人都上座了才动筷子
  • 旅游时要等全部人都到齐了才出发
  • 比赛时要等运动员都上场后才开始

在JUC包中为我们提供了一个同步工具类能够很好的模拟这类场景,它就是CyclicBarrier类。利用CyclicBarrier类可以实现一组线程相互等待,当所有线程都到达某个屏障点后再进行后续的操作。

1.1.1 原理

在CyclicBarrier类的内部有一个计数器,每个线程在到达屏障点的时候都会调用await方法将自己阻塞,此时计数器会减1,当计数器减为0的时候所有因调用await方法而被阻塞的线程将被唤醒。这就是实现一组线程相互等待的原理,下面我们先看看CyclicBarrier有哪些成员变量。

image.png

  1. CyclicBarrier内部是通过条件队列trip来对线程进行阻塞的,并且其内部维护了两个int型的变量parties和count。parties表示每次拦截的线程数,该值在构造时进行赋值;count是内部计数器,它的初始值和parties相同,以后随着每次await方法的调用而减1,直到减为0就将所有线程唤醒
  2. CyclicBarrier有一个静态内部类Generation,该类的对象代表栅栏的当前代,就像玩游戏时代表的本局游戏,利用它可以实现循环等待。
  3. barrierCommand表示换代前执行的任务,当count减为0时表示本局游戏结束,需要转到下一局。在转到下一局游戏之前会将所有阻塞的线程唤醒,在唤醒所有线程之前你可以通过指定barrierCommand来执行自己的任务。

我用一图来描绘下 CyclicBarrier 里面的一些概念

image.png

1.2 CountDownLatch

CountDownLatch是在java1.5被引入,存在于java.util.cucurrent包下。countDownLatch这个类使一个线程等待其他线程各自执行完毕后再执行。是通过一个计数器来实现的,计数器的初始值是线程的数量。每当一个线程执行完毕后,计数器的值就-1,当计数器的值为0时,表示所有线程都执行完毕,然后在闭锁上等待的线程就可以恢复工作了。

image.png

image.png

至此我们难免会将CyclicBarrier与CountDownLatch进行一番比较。

  1. 相同点: 这两个类都可以实现一组线程在到达某个条件之前进行等待,它们内部都有一个计数器,当计数器的值不断的减为0的时候所有阻塞的线程将会被唤醒。
  2. 不同点
  • CyclicBarrier的计数器由自己控制,而CountDownLatch的计数器则由使用者来控制,在CyclicBarrier中线程调用await方法不仅会将自己阻塞还会将计数器减1,而在CountDownLatch中线程调用await方法只是将自己阻塞而不会减少计数器的值。
  • CountDownLatch只能拦截一轮,而CyclicBarrier可以实现循环拦截。一般来说用CyclicBarrier可以实现CountDownLatch的功能,而反之则不能。

2 原子类

image.png

2.1 CAS

其实原子类性能高的秘密很简单,硬件支持而已。CPU 为了解决并发问题,提供了 CAS 指令(CAS,全称是 Compare And Swap,即“比较并交换” )。CAS 指令包含 3 个参数:

  • 共享变量的内存地址 A
  • 用于比较的值 B
  • 共享变量的新值 C;并且只有当内存中地址 A 处的值等于 B 时,才能将内存中地址 A 处的值更新为新值 C。

作为一条 CPU 指令,CAS 指令本身是能够保证原子性的。 使用 CAS 来解决并发问题,一般都会伴随着自旋,而所谓自旋,其实就是循环尝试。

案例分析

CAS+ 自旋”的实现方案如下所示,首先计算 newValue = count+1,如果 cas(count,newValue) 返回的值不等于 count,则意味着线程在执行完代码①处之后,执行代码②处之前,count 的值被其他线程更新过。那此时该怎么处理呢?可以采用自旋方案,就像下面代码中展示的,可以重新读 count 最新的值来计算 newValue 并尝试再次更新,直到成功。

class SimulatedCAS{
  volatile int count;
  // 实现count+=1
  addOne(){
    do {
      newValue = count+1; //①
    }while(count !=
      cas(count,newValue) //②
  }
  // 模拟实现CAS,仅用来帮助理解
  synchronized int cas(
    int expect, int newValue){
    // 读目前count的值
    int curValue = count;
    // 比较目前count值是否==期望值
    if(curValue == expect){
      // 如果是,则更新count的值
      count= newValue;
    }
    // 返回写入前的值
    return curValue;
  }
}

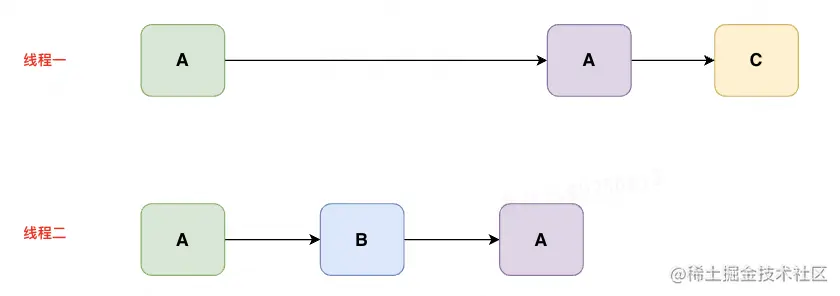
2.2 ABA

ABA问题发生在多线程环境中,当某线程连续读取同一块内存地址两次,两次得到的值一样,它简单地认为“此内存地址的值并没有被修改过”,然而,同时可能存在另一个线程在这两次读取之间把这个内存地址的值从A修改成了B又修改回了A,这时还简单地认为“没有修改过”显然是错误的。

image.png

可以看到,针对线程1来说,第一次的A和第二次的A实际上并不是同一个A。

如何解决ABA?

    /**
      * expectedReference :更新之前的原始值
      * newReference : 将要更新的新值
      * expectedStamp : 期待更新的标志版本
      * newStamp : 将要更新的标志版本
      */
    public boolean compareAndSet(V   expectedReference,
                             V   newReference,
                             int expectedStamp,
                             int newStamp) {
        // 获取当前的(元素值,版本号)对
        Pair<V> current = pair;
        return
            // 引用没变
            expectedReference == current.reference &&
            // 版本号没变
            expectedStamp == current.stamp &&
            // 新引用等于旧引用
            ((newReference == current.reference &&
            // 新版本号等于旧版本号
            newStamp == current.stamp) ||
            // 构造新的Pair对象并CAS更新
            casPair(current, Pair.of(newReference, newStamp)));
    }

    private boolean casPair(Pair<V> cmp, Pair<V> val) {
        // 调用Unsafe的compareAndSwapObject()方法CAS更新pair的引用为新引用
        return UNSAFE.compareAndSwapObject(this, pairOffset, cmp, val);
    }

AtomicStampedReference主要维护包含一个对象引用以及一个可以自动更新的整数"stamp"的pair对象来解决ABA问题。

3 异步编程

3.1 创建对象

//使用默认线程池
static CompletableFuture<Void> runAsync(Runnable runnable)
static <U> CompletableFuture<U> supplyAsync(Supplier<U> supplier)
//可以指定线程池  
static CompletableFuture<Void> runAsync(Runnable runnable, Executor executor)
static <U> CompletableFuture<U> supplyAsync(Supplier<U> supplier, Executor executor)  

runAsync(Runnable runnable)和supplyAsync(Supplier supplier),它们之间的区别是:

  • Runnable 接口的 run() 方法没有返回值
  • Supplier 接口的 get() 方法是有返回值的。

前两个方法和后两个方法的区别在于:后两个方法可以指定线程池参数。默认情况下 CompletableFuture 会使用公共的 ForkJoinPool 线程池,这个线程池默认创建的线程数是 CPU 的核数(也可以通过 JVM option:-Djava.util.concurrent.ForkJoinPool.common.parallelism 来设置 ForkJoinPool 线程池的线程数)。

创建完 CompletableFuture 对象之后,会自动地异步执行 runnable.run() 方法或者 supplier.get() 方法,对于一个异步操作,你需要关注两个问题:

  1. 异步操作什么时候结束
  2. 如何获取异步操作的执行结果

因为 CompletableFuture 类实现了 Future 接口,所以这两个问题你都可以通过 Future 接口来解决。

3.2 CompletionStage

CompletableFuture 类还实现了 CompletionStage 接口,这个接口内容实在是太丰富了,在 1.8 版本里有 40 个方法,这些方法我们该如何理解呢?下面我们就来一一介绍,CompletionStage 接口如何描述串行关系、AND 聚合关系、OR 聚合关系以及异常处理。

3.2.1 串行关系

CompletionStage<R> thenApply(fn);
CompletionStage<R> thenApplyAsync(fn);
CompletionStage<Void> thenAccept(consumer);
CompletionStage<Void> thenAcceptAsync(consumer);
CompletionStage<Void> thenRun(action);
CompletionStage<Void> thenRunAsync(action);
CompletionStage<R> thenCompose(fn);
CompletionStage<R> thenComposeAsync(fn);

通过下面的示例代码,你可以看一下 thenApply() 方法是如何使用的。首先通过 supplyAsync() 启动一个异步流程,之后是两个串行操作,整体看起来还是挺简单的。不过,虽然这是一个异步流程,但任务①②③却是串行执行的,②依赖①的执行结果,③依赖②的执行结果。

CompletableFuture<String> f0 = 
  CompletableFuture.supplyAsync(
    () -> "Hello World")      //①
  .thenApply(s -> s + " QQ")  //②
  .thenApply(String::toUpperCase);//③

System.out.println(f0.join());
//输出结果
HELLO WORLD QQ

3.2.2 AND 聚合关系

CompletionStage<R> thenCombine(other, fn);
CompletionStage<R> thenCombineAsync(other, fn);
CompletionStage<Void> thenAcceptBoth(other, consumer);
CompletionStage<Void> thenAcceptBothAsync(other, consumer);
CompletionStage<Void> runAfterBoth(other, action);
CompletionStage<Void> runAfterBothAsync(other, action);

下面的示例代码展示了如何使用 thenCombine() 方法来描述一个 AND 汇聚关系。

//任务1:洗水壶->烧开水
CompletableFuture<Void> f1 = 
  CompletableFuture.runAsync(()->{
  System.out.println("T1:洗水壶...");
  sleep(1, TimeUnit.SECONDS);

  System.out.println("T1:烧开水...");
  sleep(15, TimeUnit.SECONDS);
});
//任务2:洗茶壶->洗茶杯->拿茶叶
CompletableFuture<String> f2 = 
  CompletableFuture.supplyAsync(()->{
  System.out.println("T2:洗茶壶...");
  sleep(1, TimeUnit.SECONDS);

  System.out.println("T2:洗茶杯...");
  sleep(2, TimeUnit.SECONDS);

  System.out.println("T2:拿茶叶...");
  sleep(1, TimeUnit.SECONDS);
  return "龙井";
});
//任务3:任务1和任务2完成后执行:泡茶
CompletableFuture<String> f3 = 
  f1.thenCombine(f2, (__, tf)->{
    System.out.println("T1:拿到茶叶:" + tf);
    System.out.println("T1:泡茶...");
    return "上茶:" + tf;
  });
//等待任务3执行结果
System.out.println(f3.join());

void sleep(int t, TimeUnit u) {
  try {
    u.sleep(t);
  }catch(InterruptedException e){}
}
// 一次执行结果:
T1:洗水壶...
T2:洗茶壶...
T1:烧开水...
T2:洗茶杯...
T2:拿茶叶...
T1:拿到茶叶:龙井
T1:泡茶...
上茶:龙井

3.2.3 OR 聚合关系

CompletionStage applyToEither(other, fn);
CompletionStage applyToEitherAsync(other, fn);
CompletionStage acceptEither(other, consumer);
CompletionStage acceptEitherAsync(other, consumer);
CompletionStage runAfterEither(other, action);
CompletionStage runAfterEitherAsync(other, action);

下面的示例代码展示了如何使用 applyToEither() 方法来描述一个 OR 聚合关系。

CompletableFuture<String> f1 = 
  CompletableFuture.supplyAsync(()->{
    int t = getRandom(5, 10);
    sleep(t, TimeUnit.SECONDS);
    return String.valueOf(t);
});

CompletableFuture<String> f2 = 
  CompletableFuture.supplyAsync(()->{
    int t = getRandom(5, 10);
    sleep(t, TimeUnit.SECONDS);
    return String.valueOf(t);
});

CompletableFuture<String> f3 = 
  f1.applyToEither(f2,s -> s);

System.out.println(f3.join());

3.2.4 异常处理

CompletionStage 接口给我们提供的方案非常简单,比 try{}catch{}还要简单,下面是相关的方法,使用这些方法进行异常处理和串行操作是一样的,都支持链式编程方式。

CompletionStage exceptionally(fn);
CompletionStage<R> whenComplete(consumer);
CompletionStage<R> whenCompleteAsync(consumer);
CompletionStage<R> handle(fn);
CompletionStage<R> handleAsync(fn);
  1. exceptionally() 的使用非常类似于 try{}catch{}中的 catch{},但是由于支持链式编程方式,所以相对更简单
  2. whenComplete() 和 handle() 系列方法就类似于 try{}finally{}中的 finally{},无论是否发生异常都会执行 whenComplete() 中的回调函数 consumer 和 handle() 中的回调函数 fn。whenComplete() 和 handle() 的区别在于 whenComplete() 不支持返回结果,而 handle() 是支持返回结果的。
CompletableFuture<Integer> 
  f0 = CompletableFuture
    .supplyAsync(()->(7/0))
    .thenApply(r->r*10)
    .exceptionally(e->0);
System.out.println(f0.join());

4 Fork/Join

4.1 分治

分治,顾名思义,即分而治之,是一种解决复杂问题的思维方法和模式;具体来讲,指的是把一个复杂的问题分解成多个相似的子问题,然后再把子问题分解成更小的子问题,直到子问题简单到可以直接求解。理论上来讲,解决每一个问题都对应着一个任务,所以对于问题的分治,实际上就是对于任务的分治。

分治思想在很多领域都有广泛的应用,例如

  • 算法领域有分治算法(归并排序、快速排序都属于分治算法,二分法查找也是一种分治算法);
  • 大数据领域知名的计算框架 MapReduce 背后的思想也是分治。

既然分治这种任务模型如此普遍,那 Java 显然也需要支持,Java 并发包里提供了一种叫做 Fork/Join 的并行计算框架,就是用来支持分治这种任务模型的。

4.2 实战

Fork/Join 是一个并行计算的框架,主要就是用来支持分治任务模型的,这个计算框架里面

  1. Fork 对应的是分治任务模型里的任务分解
  2. Join 对应的是结果合并。

Fork/Join 计算框架主要包含两部分

  1. 分治任务的线程池 ForkJoinPool
  2. 分治任务 ForkJoinTask

这两部分的关系类似于 ThreadPoolExecutor 和 Runnable 的关系,都可以理解为提交任务到线程池,只不过分治任务有自己独特类型 ForkJoinTask。

ForkJoinTask 是一个抽象类,它的方法有很多,最核心的是 fork() 方法和 join() 方法

  1. fork() 方法会异步地执行一个子任务
  2. join() 方法则会阻塞当前线程来等待子任务的执行结果

ForkJoinTask 有两个子类——RecursiveAction 和 RecursiveTask,通过名字你就应该能知道,它们都是用递归的方式来处理分治任务的。这两个子类都定义了抽象方法 compute()

  1. RecursiveAction 定义的 compute() 没有返回值
  2. RecursiveTask 定义的 compute() 方法是有返回值的。这两个子类也是抽象类,在使用的时候,需要你定义子类去扩展。
static void main(String[] args){
  //创建分治任务线程池  
  ForkJoinPool fjp = 
    new ForkJoinPool(4);
  //创建分治任务
  Fibonacci fib = 
    new Fibonacci(30);   
  //启动分治任务  
  Integer result = 
    fjp.invoke(fib);
  //输出结果  
  System.out.println(result);
}
//递归任务
static class Fibonacci extends 
    RecursiveTask<Integer>{
  final int n;
  Fibonacci(int n){this.n = n;}
  protected Integer compute(){
    if (n <= 1)
      return n;
    Fibonacci f1 = 
      new Fibonacci(n - 1);
    //创建子任务  
    f1.fork();
    Fibonacci f2 = 
      new Fibonacci(n - 2);
    //等待子任务结果,并合并结果  
    return f2.compute() + f1.join();
  }
}

4.3 工作原理

ThreadPoolExecutor 本质上是一个生产者 - 消费者模式的实现,内部有一个任务队列,这个任务队列是生产者和消费者通信的媒介;ThreadPoolExecutor 可以有多个工作线程,但是这些工作线程都共享一个任务队列。ForkJoinPool 本质上也是一个生产者 - 消费者的实现,但是更加智能,你可以参考下面的 ForkJoinPool 工作原理图来理解其原理。

image.png

ThreadPoolExecutor 内部只有一个任务队列,而 ForkJoinPool 内部有多个任务队列,当我们通过 ForkJoinPool 的 invoke() 或者 submit() 方法提交任务时,ForkJoinPool 根据一定的路由规则把任务提交到一个任务队列中,如果任务在执行过程中会创建出子任务,那么子任务会提交到工作线程对应的任务队列中。

如果工作线程对应的任务队列空了,是不是就没活儿干了呢?不是的,ForkJoinPool 支持一种叫做“任务窃取”的机制,如果工作线程空闲了,那它可以“窃取”其他工作任务队列里的任务,例如上图中,线程 T2 对应的任务队列已经空了,它可以“窃取”线程 T1 对应的任务队列的任务。如此一来,所有的工作线程都不会闲下来了。

ForkJoinPool 中的任务队列采用的是双端队列,工作线程正常获取任务和“窃取任务”分别是从任务队列不同的端消费,这样能避免很多不必要的数据竞争。

⚠️ Java 1.8 提供的 Stream API 里面并行流也是以 ForkJoinPool 为基础的。不过需要你注意的是,默认情况下所有的并行流计算都共享一个 ForkJoinPool,这个共享的 ForkJoinPool 默认的线程数是 CPU 的核数;如果所有的并行流计算都是 CPU 密集型计算的话,完全没有问题,但是如果存在 I/O 密集型的并行流计算,那么很可能会因为一个很慢的 I/O 计算而拖慢整个系统的性能。所以建议用不同的 ForkJoinPool 执行不同类型的计算任务。

5 线程池

5.1 参数

ThreadPoolExecutor(
  int corePoolSize,
  int maximumPoolSize,
  long keepAliveTime,
  TimeUnit unit,
  BlockingQueue<Runnable> workQueue,
  ThreadFactory threadFactory,
  RejectedExecutionHandler handler) 
  1. corePoolSize:表示线程池保有的最小线程数。有些项目很闲,但是也不能把人都撤了,至少要留 corePoolSize 个人坚守阵地。
  2. maximumPoolSize:表示线程池创建的最大线程数。当项目很忙时,就需要加人,但是也不能无限制地加,最多就加到 maximumPoolSize 个人。当项目闲下来时,就要撤人了,最多能撤到 corePoolSize 个人。
  3. keepAliveTime & unit:上面提到项目根据忙闲来增减人员,那在编程世界里,如何定义忙和闲呢?很简单,一个线程如果在一段时间内,都没有执行任务,说明很闲,keepAliveTime 和 unit 就是用来定义这个“一段时间”的参数。也就是说,如果一个线程空闲了keepAliveTime & unit这么久,而且线程池的线程数大于 corePoolSize ,那么这个空闲的线程就要被回收了。
  4. workQueue:工作队列。
  5. threadFactory:通过这个参数你可以自定义如何创建线程,例如你可以给线程指定一个有意义的名字。
  6. handler:通过这个参数你可以自定义任务的拒绝策略。如果线程池中所有的线程都在忙碌,并且工作队列也满了(前提是工作队列是有界队列),那么此时提交任务,线程池就会拒绝接收。至于拒绝的策略,你可以通过 handler 这个参数来指定。ThreadPoolExecutor 已经提供了以下 4 种策略。
  • CallerRunsPolicy:提交任务的线程自己去执行该任务。
  • AbortPolicy:默认的拒绝策略,会 throws RejectedExecutionException
  • DiscardPolicy:直接丢弃任务,没有任何异常抛出。
  • DiscardOldestPolicy:丢弃最老的任务,其实就是把最早进入工作队列的任务丢弃,然后把新任务加入到工作队列。

5.2 自定义

    /**
     * 自定义创建线程工厂
     */
    private class CustomThreadFactory implements ThreadFactory {

        private AtomicInteger count = new AtomicInteger(0);

        @Override
        public Thread newThread(Runnable r) {
            Thread t = new Thread(r);
            String threadName = MyThreadPoolExecutor.class.getSimpleName() + count.addAndGet(1);
            //System.out.println(threadName);
            t.setName(threadName);
            return t;
        }
    }
    /**
     * 自定义拒绝策略
     */
    private class CustomRejectedExecutionHandler implements RejectedExecutionHandler {

        @Override
        public void rejectedExecution(Runnable r, ThreadPoolExecutor executor) {
            try {
                // 核心改造点,由blockingqueue的offer改成put阻塞方法  
                executor.getQueue().put(r);
            } catch (InterruptedException e) {
                e.printStackTrace();
            }
        }
    }

5.3 方法

Java 通过 ThreadPoolExecutor 提供的 3 个 submit() 方法和 1 个 FutureTask 工具类来支持获得任务执行结果的需求。下面我们先来介绍这 3 个 submit() 方法,这 3 个方法的方法签名如下。

// 提交Runnable任务
Future<?> submit(Runnable task);
// 提交Callable任务
<T> Future<T> submit(Callable<T> task);
// 提交Runnable任务及结果引用  
<T> Future<T> submit(Runnable task, T result);

Future 接口有 5 个方法,我都列在下面了,它们分别是

// 取消任务
boolean cancel(boolean mayInterruptIfRunning);
// 判断任务是否已取消  
boolean isCancelled();
// 判断任务是否已结束
boolean isDone();
// 获得任务执行结果
get();
// 获得任务执行结果,支持超时
get(long timeout, TimeUnit unit);

6 批量执行异步任务 CompletionService

6.1 构造器

CompletionService 接口的实现类是 ExecutorCompletionService,这个实现类的构造方法有两个,分别是:

ExecutorCompletionService(Executor executor);
ExecutorCompletionService(Executor executor, BlockingQueue> completionQueue);

这两个构造方法都需要传入一个线程池,如果不指定 completionQueue,那么默认会使用无界的 LinkedBlockingQueue。任务执行结果的 Future 对象就是加入到 completionQueue 中。

6.2 方法

Future<V> submit(Callable<V> task);
Future<V> submit(Runnable task, V result);
Future<V> take() throws InterruptedException;
Future<V> poll();
Future<V> poll(long timeout, TimeUnit unit) throws InterruptedException;

take()、poll() 都是从阻塞队列中获取并移除一个元素;

它们的区别在于如果阻塞队列是空的,那么调用 take() 方法的线程会被阻塞,而 poll() 方法会返回 null 值。

poll(long timeout, TimeUnit unit) 方法支持以超时的方式获取并移除阻塞队列头部的一个元素,如果等待了 timeout unit 时间,阻塞队列还是空的,那么该方法会返回 null 值。