m基于matlab的模糊控制器仿真实现,采用matlab编程方式定义模糊规则,隶属函数等

254 阅读4分钟

1.算法仿真效果

matlab2022a仿真结果如下:

1.png

2.png

3.png

4.png  

2.算法涉及理论知识概要

       利用模糊数学的基本思想和理论的控制方法。在传统的控制领域里,控制系统动态模式的精确与否是影响控制优劣的最主要关键。系统动态的信息越详细,则越能达到精确控制的目的。

       然而,对于复杂的系统,由于变量太多,往往难以正确的描述系统的动态,于是工程师便利用各种方法来简化系统动态,以达成控制的目的,但却不尽理想。换言之,传统的控制理论对于明确系统有强而有力的控制能力,但对于过于复杂或难以精确描述的系统,则显得无能为力了。因此便尝试着以模糊数学来处理这些控制问题。

 

模糊控制器包括四部分:

(1)模糊化。主要作用是选定模糊控制器的输入量,并将其转换为系统可识别的模糊量,具体包含以下三步:

第一,对输入量进行满足模糊控制需求的处理;

第二,对输入量进行尺度变换;

第三,确定各输入量的模糊语言取值和相应的隶属度函数。

(2)规则库。根据人类专家的经验建立模糊规则库。模糊规则库包含众多控制规则,是从实际控制经验过渡到模糊控制器的关键步骤。

(3)模糊推理。主要实现基于知识的推理决策。

(4)解模糊。主要作用是将推理得到的控制量转化为控制输出。

 

a2fa6c0eae9f81b67bad5c03ae86942f_watermark,size_14,text_QDUxQ1RP5Y2a5a6i,color_FFFFFF,t_100,g_se,x_10,y_10,shadow_20,type_ZmFuZ3poZW5naGVpdGk=.png

 

第一部分:控制存储器

 

    这个部分比较简单,就是将当前时刻的数据进行保存,作为下一时刻的学习控制算法模块的输出的相加项,然后得到新输出。其对应的程序如下所示:

 

   8605de39c9b3c709ac398c5cf4c9d438_watermark,size_14,text_QDUxQ1RP5Y2a5a6i,color_FFFFFF,t_100,g_se,x_10,y_10,shadow_20,type_ZmFuZ3poZW5naGVpdGk=.png

 

第二部分:被控对象

 

    控制对象,在matlab编程的时候,我们一般使用的是传递函数来标示,在参考文献中,关于控制对象的介绍似乎没有讲,一般这种情况,我们设置一个传递函数作为控制对象来研究我们的控制算法。

 

    很多研究控制算法的课题,如果不知道控制对象具体的传递函数表达式,我们一般都设置一个传递函数作为控制对象进行控制算法的研究,如果你在自己的论文中已经设计了一个控制对象的传递函数,那么直接替换即可。

 

    在本课题中,控制对象的传递函数我们设置为如下的表达式:

 

  6bd63945fd84f377450234d29000cf56_watermark,size_14,text_QDUxQ1RP5Y2a5a6i,color_FFFFFF,t_100,g_se,x_10,y_10,shadow_20,type_ZmFuZ3poZW5naGVpdGk=.png

 

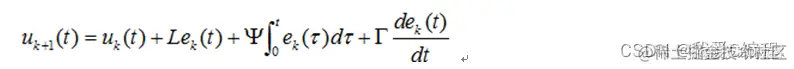
第三部分:学习控制算法

 

    这个部分是程序算法的重点,这里我们重点介绍 一下这个部分的实现过程。首先我们要做的是模糊PID控制器,论文中关于PID学习控制算法的主要表达式为:

 

56ce6cb8f26824fe34cac283b8590f79_watermark,size_14,text_QDUxQ1RP5Y2a5a6i,color_FFFFFF,t_100,g_se,x_10,y_10,shadow_20,type_ZmFuZ3poZW5naGVpdGk=.png  

        然后这里控制器采用模糊PID控制器,然后迭代过程采用公式6.3来进行。注意,由于加入遗忘因子的话,在模糊PID中,收敛值收敛到0会变得非常的困难,故这里我们使用不带遗忘因子的公式。

 

 

 

3.MATLAB核心程序 `a=addrule(a,rulelist);

a=setfis(a,'DefuzzMethod','mom');

writefis(a,'fuzzpid');

a=readfis('fuzzpid');

%显示规则

showrule(a)

 

%%

%控制对象的设置

%采样时间

ts        = 0.002;

%产生连续形式的传递函数

Gp        = tf([16],[10,1.2,6]);

%产生离散形式的传递函数

Gpz       = c2d(Gp,ts,'z');

%将传递函数转换为差分式子

[num,den] = tfdata(Gpz,'v');

 

%%

%控制算法初始参数

L         = 100;

fai       = 0.1;

F         = 50;

%此变量分别保存误差,误差积分以及误差导数

Err       = [0,0,0]';

%延迟变量

y_1       = 0;

y_2       = 0;

u_1       = 0;

u_2       = 0;

e_1       = 0;

ei        = 0;

ed        = 0;

%%

%迭代过程

Time      = 1001;

u         = zeros(1,Time);      

Pk        = L*ones(1,Time);   

Ik        = fai*ones(1,Time);   

Dk        = F*ones(1,Time);   

M         = 8;

Ed        = 0.0;

Ecd       = 0.0;

for i=0:1:M

    for k=1:1:Time

        %产生时间变量

        time(k) = (k-1)*ts;

        %给定轨迹输入

        yd(k)   = 8sin(62pik*ts);

        

        %根据模糊规则,进行PID参数的更新

        k_pid   = evalfis([Ed,Ecd],a);

        Pk(k)   = L  + k_pid(1);

        Ik(k)   = fai+ k_pid(2);

        Dk(k)   = F  + k_pid(3);

        %控制对象模型的输出

.......................................................................

        %使用延迟程序起到存储器的功能

        u2(k)   = u(k);

        e_1     = e(k);

        y_2     = y_1;

        y_1     = y(k);

        u_2     = u_1;

        u_1     = u2(k);

        Ed      = e(k);

        Ecd     = e(k)-e_1;

    end    

    i=i+1;

end`