左叶子之和

93 阅读1分钟

题目描述

给定二叉树的根节点 root ,返回所有左叶子之和。

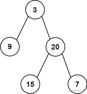
示例:

image.png

输入: root = [3,9,20,null,null,15,7] 
输出: 24 
解释: 在这个二叉树中,有两个左叶子,分别是 9 和 15,所以返回 24

思路

  1. 确认遍历方式:本题前中后序遍历均可,这里使用的是后序遍历

  2. 如何判断是叶子节点:叶子节点的左子节点为null,右子节点也为null

  3. 如何判断该叶子节点是左节点还是右节点? 遍历到叶子节点时,我们是无法确认该节点是左节点还是右节点的,只有在它的父节点的遍历时才可确认。

  4. 使用递归的方式

  5. 递归三部曲:

    5.1 参数:node,返回值:leftsum ;

    5.2 终止条件:node==null或者node是叶子节点时。

    5.3 单层逻辑:先遍历左边,再遍历右边,最后返回相加值。

代码

/**
 * Definition for a binary tree node.
 * function TreeNode(val, left, right) {
 *     this.val = (val===undefined ? 0 : val)
 *     this.left = (left===undefined ? null : left)
 *     this.right = (right===undefined ? null : right)
 * }
 */
/**
 * @param {TreeNode} root
 * @return {number}
 */
var sumOfLeftLeaves = function(root) {
    // 终止条件
    if(root==null)  return 0;
    if(root!=null&&root.left==null&&root.right==null) return 0;
    // 遍历左子树
    let leftSum=sumOfLeftLeaves(root.left);
    // 在叶子节点的父结点上判断是否是左叶子节点,若是,则相加
    if(root.left!=null&&root.left.left==null&&root.left.right==null){
        leftSum+=root.left.val;
    }
    // 遍历右子树
    let rightsum=sumOfLeftLeaves(root.right);

    // 返回相加值
    return leftSum+rightsum;


};

image.png

总结

本题的重点是,确认左叶子节点。如有错误之处,欢饮大家留言指出,谢谢大家了。