LeetCode 周赛 345(2023/05/14)体验一题多解的算法之美

1,393 阅读8分钟

⭐️ 本文已收录到 AndroidFamily,技术和职场问题,请关注公众号 [彭旭锐] 和 [BaguTree Pro] 知识星球提问。

学习数据结构与算法的关键在于掌握问题背后的算法思维框架,你的思考越抽象,它能覆盖的问题域就越广,理解难度也更复杂。在这个专栏里,小彭与你分享每场 LeetCode 周赛的解题报告,一起体会上分之旅。

本文是 LeetCode 上分之旅系列的第 22 篇文章,往期回顾请移步到文章末尾~

T1. 找出转圈游戏输家(Easy)

  • 标签:模拟、计数

T2. 相邻值的按位异或(Medium)

  • 标签:模拟、数学、构造

T3. 矩阵中移动的最大次数(Medium)

  • 标签:图、BFS、DFS、动态规划

T4. 统计完全连通分量的数量(Medium)

  • 标签:图、BFS、DFS、并查集

T1. 找出转圈游戏输家(Easy)

https://leetcode.cn/problems/find-the-losers-of-the-circular-game/

题解(模拟)

简单模拟题。

使用标记数组标记接触到球的玩家,再根据标记数组输出结果:

class Solution {
    fun circularGameLosers(n: Int, k: Int): IntArray {
        val visit = BooleanArray(n)
        var i = 0
        var j = 1
        var cnt = n
        while (!visit[i]) {
            visit[i] = true
            i = (i + j++ * k) % n
            cnt--
        }
        val ret = IntArray(cnt)
        var k = 0
        for (i in visit.indices) {
            if(!visit[i]) ret[k++] = i + 1
        }
        return ret
    }
}

复杂度分析:

  • 时间复杂度:O(n)O(n) 每位玩家最多标记一次和检查一次;
  • 空间复杂度:O(n)O(n) 标记数组空间。

T2. 相邻值的按位异或(Medium)

https://leetcode.cn/problems/neighboring-bitwise-xor/

预备知识

记 ⊕ 为异或运算,异或运算满足以下性质:

  • 基本性质:x ⊕ y = 0
  • 交换律:x ⊕ y = y ⊕ x
  • 结合律:(x ⊕ y) ⊕ z = x ⊕ (y ⊕ z)
  • 自反律:x ⊕ y ⊕ y = x

题解一(模拟)

由于每一位 derived[i] 可以由 original[i] ⊕ original[i + 1] 获得,我们可以令原始的 original[0] 为 0,再按顺序递推到 original[n](循环数组),最后再检查 original[0] 和 original[n] 是否相同。如果不同,说明 derived 数组是不可构造的。

class Solution {
    fun doesValidArrayExist(derived: IntArray): Boolean {
        var pre = 0
        for ((i,d) in derived.withIndex()) {
            if (d == 1) pre = pre xor 1
        }
        return pre == 0
    }
}

复杂度分析:

  • 时间复杂度:O(n)O(n) 其中 n 为 derived 数组的长度;
  • 空间复杂度:仅使用常量级别空间。

题解二(数学)

继续挖掘问题的数学性质:

  • 题目要求:

derived[i]=original[i]original[i+1]derived[i] = original[i] ⊕ original[i + 1]

  • 根据自反律(两边异或 original[i]):

original[i+1]=derived[i]original[i]original[i + 1] = derived[i] ⊕ original[i]original[i+2]=derived[i+1]original[i+1]original[i + 2] = derived[i + 1] ⊕ original[i + 1]

  • 根据递推关系有:

original[n1]=derived[n2]derived[n1]derived[0]original[0]original[n - 1] = derived[n - 2] ⊕ derived[n - 1]… derived[0] ⊕ original[0]

  • 题目要求:

original[0]original[n1]=derived[n1]original[0] ⊕ original[n - 1] = derived[n-1]

  • 联合两式:

original[0]=original[0]derived[n1]derived[n1]derived[0]original[0]original[0] = original[0] ⊕ derived[n-1] ⊕ derived[n - 1]… derived[0] ⊕ original[0],即 0=derived[n1]derived[n1]derived[0]0 = derived[n-1] ⊕ derived[n - 1]… derived[0]

根据结论公式模拟即可:

class Solution {
    fun doesValidArrayExist(derived: IntArray): Boolean {
        // return derived.fold(0) {acc, e -> acc xor e} == 0
        return derived.reduce {acc, e -> acc xor e} == 0
    }
}

复杂度分析:

  • 时间复杂度:O(n)O(n) 其中 n 为 derived 数组的长度;
  • 空间复杂度:仅使用常量级别空间。

T3. 矩阵中移动的最大次数(Medium)

https://leetcode.cn/problems/maximum-number-of-moves-in-a-grid/

题目描述

给你一个下标从 0 开始、大小为 m x n 的矩阵 grid ,矩阵由若干  整数组成。

你可以从矩阵第一列中的 任一 单元格出发,按以下方式遍历 grid :

  • 从单元格 (row, col) 可以移动到 (row - 1, col + 1)(row, col + 1) 和 (row + 1, col + 1) 三个单元格中任一满足值 严格 大于当前单元格的单元格。

返回你在矩阵中能够 移动 的 最大 次数。

示例 1:

输入:grid = [[2,4,3,5],[5,4,9,3],[3,4,2,11],[10,9,13,15]]
输出:3
解释:可以从单元格 (0, 0) 开始并且按下面的路径移动:
- (0, 0) -> (0, 1).
- (0, 1) -> (1, 2).
- (1, 2) -> (2, 3).
可以证明这是能够移动的最大次数。

示例 2:

输入:grid = [[3,2,4],[2,1,9],[1,1,7]]
输出:0
解释:从第一列的任一单元格开始都无法移动。

提示:

  • m == grid.length
  • n == grid[i].length
  • 2 <= m, n <= 1000
  • 4 <= m * n <= 105
  • 1 <= grid[i][j] <= 106

问题结构化

1、概括问题目标

计算可移动的最大次数,也可以理解为可访问距离 - 1。

2、分析问题要件

在每次移动操作中,可以移动到右边一列的最近三行位置(i-1, i, j+1)且要求数字严格大于当前位置。

3、提高抽象程度

  • 子问题:我们发现每次移动后,可移动次数就是在新位置可移动次数 + 1,这是一个与原问题相似但规模更小的子问题;
  • 是否为决策问题?由于每次移动最多有三个位置选择,因此这是决策问题。

4、具体化解决手段

  • 手段 1(记忆化递归):定义 dfs(i, j) 表示从 grid[i][j] 开始的最大移动次数,那么有 dfs(i, j)= mas{dfs(i-1, j+1), dfs(i, j+1), dfs(i+1, j+1)};
  • 手段 2(递推):在记忆化递归中我们是在「归」的过程中合并子问题的解,由于递归的方向是验证矩阵从上到下,从左到右的,我们可以消除「递」的过程而只保留「归」的过程,将递归转换为递推;
  • 手段 3(BFS):由于可移动次数取决于最多可以移动到的列号,我们可以用 BFS / DFS 搜索最远可以访问的列号。

题解一(记忆化递归)

根据「手段 1」模拟即可:

  • 递归函数:dfs(i, j)= mas{dfs(i-1, j+1), dfs(i, j+1), dfs(i+1, j+1)}
  • 起始状态:dfs(i, 0)
  • 边界条件:dfs(i, j) = 0
class Solution {

    val directions = arrayOf(intArrayOf(-1, 1), intArrayOf(0, 1), intArrayOf(1, 1)) // 右上、右、右下

    private val memo = HashMap<Int, Int>()
    private val U = 1001

    fun maxMoves(grid: Array<IntArray>): Int {
        var ret = 0
        for (i in 0 until grid.size) {
            ret = Math.max(ret, dfs(grid, i, 0))
        }
        return ret - 1
    }

    private fun dfs(grid: Array<IntArray>, i: Int, j: Int): Int {
        val n = grid.size
        val m = grid[0].size
        val key = i * U + j
        if (memo.contains(key)) return memo[key]!!
        // 枚举选项
        var maxChoice = 0
        for (direction in directions) {
            val newI = i + direction[0]
            val newJ = j + direction[1]
            if (newI < 0 || newI >= n || newJ < 0 || newJ >= m || grid[i][j] >= grid[newI][newJ]) continue
            maxChoice = Math.max(maxChoice, dfs(grid, newI, newJ))
        }
        memo[key] = maxChoice + 1
        return maxChoice + 1
    }
}

复杂度分析:

  • 时间复杂度:O(nm)O(nm) 总共有 nm 个子问题,每个子问题枚举 3 个选项时间复杂度是 O(1);
  • 空间复杂度:O(nm)O(nm) 备忘录空间。

题解二(递推)

消除「递」的过程而只保留「归」的过程,将递归转换为递推:

class Solution {
    fun maxMoves(grid: Array<IntArray>): Int {
        val n = grid.size
        val m = grid[0].size
        val step = Array(n) { IntArray(m) }
        for (i in 0 until n) step[i][0] = 1
        var ret = 0
        // 按列遍历
        for(j in 1 until m) {
            for(i in 0 until n) {
                for(k in Math.max(0, i - 1) .. Math.min(n - 1,i + 1)) {
                    if (step[k][j - 1] > 0 && grid[i][j] > grid[k][j - 1]) step[i][j] = Math.max(step[i][j], step[k][j - 1] + 1)
                }
                ret = Math.max(ret, step[i][j])
            }
        }
        return Math.max(ret - 1, 0)
    }
}

另外,我们也可以用滚动数组优化空间:

class Solution {
    fun maxMoves(grid: Array<IntArray>): Int {
        val n = grid.size
        val m = grid[0].size
        var step = IntArray(n) { 1 }
        var ret = 0
        // 按列遍历
        for(j in 1 until m) {
            val newStep = IntArray(n) { 0 } // 不能直接在 step 数组上修改
            for(i in 0 until n) {
                for(k in Math.max(0, i - 1) .. Math.min(n - 1,i + 1)) {
                    if (step[k] > 0 && grid[i][j] > grid[k][j - 1]) newStep[i] = Math.max(newStep[i], step[k] + 1)
                }
                ret = Math.max(ret, newStep[i])
            }
            step = newStep
        }
        return Math.max(ret - 1, 0)
    }
}

复杂度分析:

  • 时间复杂度:O(nm)O(nm)
  • 空间复杂度:O(n)O(n)

题解三(BFS)

按照广度优先搜索,使用队列维护可以访问的节点,再使用该节点探测下一层可到达的位置并入队。

class Solution {
    fun maxMoves(grid: Array<IntArray>): Int {
        val n = grid.size
        val m = grid[0].size
        // 行号
        var queue = LinkedList<Int>()
        for (i in 0 until n) {
            queue.offer(i)
        }
        // 访问标记
        val visit = IntArray(n) { -1 }
        // 枚举列
        for (j in 0 until m - 1) {
            val newQueue = LinkedList<Int>() // 不能直接在 step 数组上修改
            for (i in queue) {
                for (k in Math.max(0, i - 1)..Math.min(n - 1, i + 1)) {
                    if (visit[k] < j && grid[k][j + 1] > grid[i][j]) {
                        newQueue.offer(k)
                        visit[k] = j
                    }
                }
            }
            queue = newQueue
            if (queue.isEmpty()) return j
        }
        return m - 1
    }
}

复杂度分析:

  • 时间复杂度:O(nm)O(nm)
  • 空间复杂度:O(n)O(n)

相似问题:


T4. 统计完全连通分量的数量(Medium)

https://leetcode.cn/problems/count-the-number-of-complete-components/

问题描述

给你一个整数 n 。现有一个包含 n 个顶点的 无向 图,顶点按从 0 到 n - 1 编号。给你一个二维整数数组 edges 其中 edges[i] = [ai, bi] 表示顶点 ai 和 bi 之间存在一条 无向 边。

返回图中 完全连通分量 的数量。

如果在子图中任意两个顶点之间都存在路径,并且子图中没有任何一个顶点与子图外部的顶点共享边,则称其为 连通分量 。

如果连通分量中每对节点之间都存在一条边,则称其为 完全连通分量 。

示例 1:

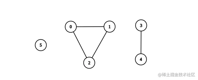
输入:n = 6, edges = [[0,1],[0,2],[1,2],[3,4]]
输出:3
解释:如上图所示,可以看到此图所有分量都是完全连通分量。

示例 2:

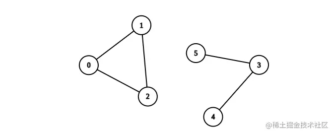
输入:n = 6, edges = [[0,1],[0,2],[1,2],[3,4],[3,5]]
输出:1
解释:包含节点 012 的分量是完全连通分量,因为每对节点之间都存在一条边。
包含节点 345 的分量不是完全连通分量,因为节点 45 之间不存在边。
因此,在图中完全连接分量的数量是 1

提示:

  • 1 <= n <= 50
  • 0 <= edges.length <= n * (n - 1) / 2
  • edges[i].length == 2
  • 0 <= ai, bi <= n - 1
  • ai != bi
  • 不存在重复的边

预备知识 - 完全图

完全图中每对不同的顶点之间都恰连有一条边相连,n 个节点的完全图有 n*(n − 1) / 2 条边。

问题分析

这道题是比较直接的岛屿 / 连通分量问题,我们直接跑 DFS / BFS / 并查集,计算每个连通分量的节点数和边数是否平衡。

如果连通分量是完全图,那么节点数 v 和边数 e 满足 e == v * (v - 2) / 2

题解一(DFS)

枚举每个节点跑 DFS,统计相同连通分量的节点数 v 和节点数 e,由于在遍历的时候,同一条边会在两个节点上重复统计,所以判断连通分量是否为完全图的公式调整为 e == v * (v - 2)。

class Solution {
    fun countCompleteComponents(n: Int, edges: Array<IntArray>): Int {
        // 建图(邻接表)
        val graph = Array(n) { mutableListOf<Int>() }
        for (edge in edges) {
            graph[edge[0]].add(edge[1])
            graph[edge[1]].add(edge[0]) // 无向边
        }
        // 标记数组
        val visit = BooleanArray(n)
        // 枚举
        var ret = 0
        for (i in 0 until n) {
            if (visit[i]) continue
            val cnt = IntArray(2) // v, e
            dfs(graph, visit, i, cnt)
            if (cnt[1] == cnt[0] * (cnt[0] - 1)) ret++
        }
        return ret
    }

    private fun dfs(graph: Array<out List<Int>>, visit: BooleanArray, i: Int, cnt: IntArray) {
        visit[i] = true
        cnt[0] += 1 // 增加节点
        cnt[1] += graph[i].size // 增加边(会统计两次)
        for (to in graph[i]) {
            if (!visit[to]) dfs(graph, visit, to, cnt)
        }
    }
}

复杂度分析:

  • 时间复杂度:O(n+m)O(n + m) 其中 n 为节点数,m 为 edges 的长度;
  • 空间复杂度:图空间 O(m)O(m),标记数组空间 O(n)O(n)

题解二(BFS)

附赠一份 BFS 代码:

class Solution {
    fun countCompleteComponents(n: Int, edges: Array<IntArray>): Int {
        // 建图(邻接表)
        val graph = Array(n) { mutableListOf<Int>() }
        for (edge in edges) {
            graph[edge[0]].add(edge[1])
            graph[edge[1]].add(edge[0]) // 无向边
        }
        // 标记数组
        val visit = BooleanArray(n)
        // 枚举
        var ret = 0
        for (i in 0 until n) {
            if (visit[i]) continue
            var v = 0
            var e = 0
            // BFS
            var queue = LinkedList<Int>()
            queue.offer(i)
            visit[i] = true
            while (!queue.isEmpty()) {
                val temp = queue
                queue = LinkedList<Int>()
                for (j in temp) {
                    v += 1 // 增加节点
                    e += graph[j].size // 增加边(会统计两次)
                    for (to in graph[j]) {
                        if (!visit[to]) {
                            queue.offer(to)
                            visit[to] = true
                        }
                    }
                }
            }
            if (e == v * (v - 1)) ret++
        }
        return ret
    }
}

复杂度分析:

  • 时间复杂度:O(n+m)O(n + m) 其中 n 为节点数,m 为 edges 的长度;
  • 空间复杂度:图空间、标记数组空间和队列空间。

题解三(并查集)

附赠一份并查集代码:

class Solution {

    fun countCompleteComponents(n: Int, edges: Array<IntArray>): Int {
        val uf = UnionFind(n)
        for (edge in edges) {
            uf.union(edge[0], edge[1])
        }
        return uf.count()
    }

    private class UnionFind(n: Int) {
        private val parent = IntArray(n) { it }
        private val rank = IntArray(n)
        private val e = IntArray(n)
        private val v = IntArray(n) { 1 }

        fun find(x: Int): Int {
            // 路径压缩
            var a = x
            while (parent[a] != a) {
                parent[a] = parent[parent[a]]
                a = parent[a]
            }
            return a
        }

        fun union(x: Int, y: Int) {
            val rootX = find(x)
            val rootY = find(y)
            if (rootX == rootY) {
                e[rootX]++
            } else {
                // 按秩合并
                if (rank[rootX] < rank[rootY]) {
                    parent[rootX] = rootY
                    e[rootY] += e[rootX] + 1 // 增加边
                    v[rootY] += v[rootX] // 增加节点
                } else if (rank[rootY] > rank[rootX]) {
                    parent[rootY] = rootX
                    e[rootX] += e[rootY] + 1
                    v[rootX] += v[rootY]
                } else {
                    parent[rootY] = rootX
                    e[rootX] += e[rootY] + 1
                    v[rootX] += v[rootY]
                    rank[rootX]++
                }
            }
        }

        // 统计连通分量
        fun count(): Int {
            return parent.indices.count { parent[it] == it && v[it] * (v[it] - 1) / 2 == e[it] }
        }
    }
}

复杂度分析:

  • 时间复杂度:O(n+am)O(n + am) 其中 n 为节点数,m 为 edges 的长度,其中 aa 为反阿克曼函数。
  • 空间复杂度:O(n)O(n) 并查集空间。

推荐阅读

LeetCode 上分之旅系列往期回顾:

⭐️ 永远相信美好的事情即将发生,欢迎加入小彭的 Android 交流社群~