密码学中的模乘算法——巴雷特模乘(Barrett Modular Multiplication)

901 阅读3分钟

 [隐私计算研习社]

图片

密码学实践中常常需要处理 的模运算。模运算中当属模乘是最复杂的。蒙哥马利方法(Montgomery Modular Multiplication)是一种经典的快速模乘算法,感兴趣的小伙伴可以点击查看密码学中的模乘算法——蒙哥马利模乘(Montgomery Modular Multiplication)。这里介绍另外一种经典的快速模乘算法,称之为巴雷特方法(Barrett Modular Multiplication) [1]。

1

******直觉

**

明确这里有待解决的问题,即求解 

图片

这里 是一个浮点数。也就是说,如果我们能够以较高精度算得 , 那么求 是显然的。

考虑下面形式的逼近[2],即寻找这样的整数 , 使得

图片

因此有 。实践中通常取 且 。也就是说仅仅需要正常的乘法,加法和移位操作就可以完成模约减(modular reduction)运算,BarrettReduce算法大致可以描述如下:

图片

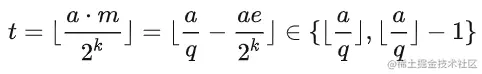
上面的直觉有一个关键点没考虑。因为无论如何选取 ,,和目标 总是存在误差。由 可推出:

图片

总之 。为了分析方便,这里要求选择相对大的 使得 。那么,上文中的BarrettReduce算法中的变量 满足:

图片

所以算法的最终输出图片, 需要额外做一次判断将结果修正回来。

完整版的BarrettReduce算法描述如下:

图片

2

******正式叙述

**

正式叙述的写作思路部分参考[3],它提供了Barrett算法的Python/Java代码实现。

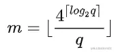
在实际模约减中,常常遇到的情况是 , 不是 power-of-2 (因为模约减之前的运算是乘法,乘法的结果不会超过)。现在讨论这种情况下如何合理设置参数 和 。根据“直觉”章节的介绍,我们知道 的最小取值为 , 又因为 , 因此有理由选取:

图片

"直觉"章节总结了 ,因此有理由选取:

图片

综上所述,Barrett模约减算法总结如下:

图片

1.选取, 。 

2.计算。 

3.计算。 

4.if : 

5.      。 

6.return 。

注意当模数固定时(绝大部分应用都是这种情形),算法的第1步只需要做一次即可。因此算法的主要运算是第2步的乘法和 第3步的乘法 。

3

******和蒙哥马利模约减的比较

**

从计算形式来看,Montgomery方法需要将输入的整数转成“蒙哥马利形式”,最后还需要将结果从蒙哥马利形式转回正常表达,因此Montgomery方法适用于大量,连续的模乘应用,比如RSA的模幂运算;Barrett方法则不需要这种复杂的形式转换,应用的范围更广。

从计算量来看,假定模数 有 bit,那么Barrett需要做一次 的乘法,一次 的乘法;Montgomery需要做两次 的乘法,计算复杂度更优些。

本文参考

[1]Barrett, Paul. "Implementing the Rivest Shamir and Adleman public key encryption algorithm on a standard digital signal processor." Advances in Cryptology—CRYPTO’86: Proceedings. Berlin, Heidelberg: Springer Berlin Heidelberg, 2000.

[2]en.wikipedia.org/wiki/Barret…

[3]www.nayuki.io/page/barret…

本文作者:hujwei

知乎链接:zhuanlan.zhihu.com/p/621388087

END

往期推荐


1.笔记分享 | 组队学习密码学(2)——密码学在联邦学习中的应用
2.笔记分享 | 冯登国院士MPC讲座(3)——基于混淆电路方法的安全多方计算协议3.pFedPT:将prompt学习融入进联邦学习4.密码学中的模乘算法——蒙哥马利模乘(Montgomery Modular Multiplication)