力扣深度优先搜索练习题(求根节点到叶节点数字之和、被围绕的区域)

79 阅读2分钟

求根节点到叶节点数字之和

来源:力扣(LeetCode) 链接:leetcode.cn/problems/su…

给你一个二叉树的根节点 root ,树中每个节点都存放有一个 0 到 9 之间的数字。

每条从根节点到叶节点的路径都代表一个数字:

例如,从根节点到叶节点的路径 1 -> 2 -> 3 表示数字 123

计算从根节点到叶节点生成的 所有数字之和 。

叶节点 是指没有子节点的节点。

示例 1:

图片.png

输入:root = [1,2,3]

输出:25

解释:

从根到叶子节点路径 1->2 代表数字 12

从根到叶子节点路径 1->3 代表数字 13

因此,数字总和 = 12 + 13 = 25

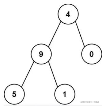
示例 2:

图片.png

输入:root = [4,9,0,5,1]

输出:1026

解释:

从根到叶子节点路径 4->9->5 代表数字 495

从根到叶子节点路径 4->9->1 代表数字 491

从根到叶子节点路径 4->0 代表数字 40

因此,数字总和 = 495 + 491 + 40 = 1026

提示:

  • 树中节点的数目在范围 [1, 1000] 内
  • 0 <= Node.val <= 9
  • 树的深度不超过 10

代码

class Solution {
    public int sumNumbers(TreeNode root) {
        return dfs(root, 0);
    }
    
    private int dfs(TreeNode node, int currentSum) {
        if (node == null) {
            return 0;
        }
        
        int newSum = currentSum * 10 + node.val;
        
        if (node.left == null && node.right == null) {
            return newSum;
        }
        
        int leftSum = dfs(node.left, newSum);
        int rightSum = dfs(node.right, newSum);
        
        return leftSum + rightSum;
    }
}

思路分析:

  1. 定义一个递归函数dfs,该函数接收两个参数:当前节点node和当前路径的数字之和currentSum,初始时currentSum为0。
  2. 若当前节点node为空,表示已经遍历到叶子节点的下一层,返回0。
  3. 计算当前路径的新数字之和newSum,即currentSum * 10 + node.val
  4. 若当前节点是叶子节点(即左右子节点都为空),则返回newSum
  5. 递归调用dfs函数计算左子树的路径数字之和leftSum,传入参数为左子节点和新数字之和newSum
  6. 递归调用dfs函数计算右子树的路径数字之和rightSum,传入参数为右子节点和新数字之和newSum
  7. 返回左子树路径数字之和leftSum和右子树路径数字之和rightSum的和,即leftSum + rightSum
  8. sumNumbers函数中,直接调用dfs函数并传入根节点和初始的数字之和0,得到最终的路径数字之和。

被围绕的区域

来源:力扣(LeetCode) 链接:leetcode.cn/problems/su…

给你一个 m x n 的矩阵 board ,由若干字符 'X' 和 'O' ,找到所有被 'X' 围绕的区域,并将这些区域里所有的 'O' 用 'X' 填充。

示例 1:

图片.png

输入:board = [["X","X","X","X"],["X","O","O","X"],["X","X","O","X"],["X","O","X","X"]]

输出:[["X","X","X","X"],["X","X","X","X"],["X","X","X","X"],["X","O","X","X"]]

解释:被围绕的区间不会存在于边界上,换句话说,任何边界上的 'O' 都不会被填充为 'X'。 任何不在边界上,或不与边界上的 'O' 相连的 'O' 最终都会被填充为 'X'。如果两个元素在水平或垂直方向相邻,则称它们是“相连”的。

示例 2:

输入:board = [["X"]]

输出:[["X"]]

提示:

  • m == board.length
  • n == board[i].length
  • 1 <= m, n <= 200
  • board[i][j] 为 'X' 或 'O'

代码

class Solution {
    public void solve(char[][] board) {
        if (board == null || board.length == 0) {
            return;
        }
        
        int m = board.length;
        int n = board[0].length;
        
        // 遍历边界,将与边界相连的'O'标记为特殊字符'#'
        for (int i = 0; i < m; i++) {
            dfs(board, i, 0);
            dfs(board, i, n - 1);
        }
        for (int j = 0; j < n; j++) {
            dfs(board, 0, j);
            dfs(board, m - 1, j);
        }
        
        // 遍历整个矩阵,将未被标记为'#'的'O'改为'X',将标记为'#'的恢复为'O'
        for (int i = 0; i < m; i++) {
            for (int j = 0; j < n; j++) {
                if (board[i][j] == 'O') {
                    board[i][j] = 'X';
                } else if (board[i][j] == '#') {
                    board[i][j] = 'O';
                }
            }
        }
    }
    
    // 深度优先搜索,将与边界相连的'O'标记为特殊字符'#'
    private void dfs(char[][] board, int i, int j) {
        int m = board.length;
        int n = board[0].length;
        
        if (i < 0 || i >= m || j < 0 || j >= n || board[i][j] != 'O') {
            return;
        }
        
        board[i][j] = '#'; // 标记为特殊字符
        
        // 递归搜索四个方向的相邻节点
        dfs(board, i - 1, j);
        dfs(board, i + 1, j);
        dfs(board, i, j - 1);
        dfs(board, i, j + 1);
    }
}

思路分析

  1. 首先判断输入的二维字符数组board是否为空或者长度为0,若是则直接返回。
  2. 获取二维字符数组的行数和列数,分别记为m和n。
  3. 遍历边界上的所有点,即第一行、最后一行、第一列和最后一列的所有点,调用深度优先搜索函数dfs,将与边界相连的'O'标记为特殊字符'#'。
  4. 遍历整个二维字符数组,将未被标记为'#'的'O'修改为'X',将标记为'#'的恢复为'O'。