力扣深度优先搜索练习题(路径总和、路径总和||)

67 阅读2分钟

路径总和

来源:力扣(LeetCode) 链接:leetcode.cn/problems/pa…

给你二叉树的根节点 root 和一个表示目标和的整数 targetSum 。判断该树中是否存在 根节点到叶子节点 的路径,这条路径上所有节点值相加等于目标和 targetSum 。如果存在,返回 true ;否则,返回 false 。

叶子节点 是指没有子节点的节点。

示例 1:

图片.png

输入:root = [5,4,8,11,null,13,4,7,2,null,null,null,1], targetSum = 22

输出:true

解释:等于目标和的根节点到叶节点路径如上图所示。

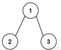
示例 2:

图片.png

输入:root = [1,2,3], targetSum = 5

输出:false

解释:树中存在两条根节点到叶子节点的路径:

(1 --> 2): 和为 3

(1 --> 3): 和为 4

不存在 sum = 5 的根节点到叶子节点的路径。

示例 3:

输入:root = [], targetSum = 0

输出:false

解释:由于树是空的,所以不存在根节点到叶子节点的路径。

提示:

  • 树中节点的数目在范围 [0, 5000] 内
  • -1000 <= Node.val <= 1000
  • -1000 <= targetSum <= 1000

代码

class Solution {
    public boolean hasPathSum(TreeNode root, int targetSum) {
        if (root == null) {
            return false;
        }
        // 当前节点为叶子节点时,判断节点值是否等于目标和
        if (root.left == null && root.right == null) {
            return root.val == targetSum;
        }
        // 递归判断左子树或右子树中是否存在路径和等于目标和的情况
        return hasPathSum(root.left, targetSum - root.val) || hasPathSum(root.right, targetSum - root.val);
    }
}

思路分析

  1. 首先,如果二叉树为空(即根节点为null),则返回false。

  2. 当遍历到叶子节点时,即左子树和右子树都为空时,判断叶子节点的值是否等于目标和,如果相等则返回true,表示存在路径和等于目标和的情况。

  3. 对于非叶子节点,我们分别递归判断左子树和右子树中是否存在路径和等于目标和的情况。递归时,我们需要将目标和减去当前节点的值,作为新的目标和传递给子节点。

  4. 如果左子树或右子树中存在路径和等于目标和的情况,我们就返回true,表示存在路径和等于目标和的情况。

  5. 如果左子树和右子树中都不存在路径和等于目标和的情况,我们就返回false。

  6. 最后,返回根节点开始的递归结果作为整个二叉树是否存在路径和等于目标和的判断。

路径总和||

来源:力扣(LeetCode) 链接:leetcode.cn/problems/pa…

给你二叉树的根节点 root 和一个整数目标和 targetSum ,找出所有 从根节点到叶子节点 路径总和等于给定目标和的路径。

叶子节点 是指没有子节点的节点。

示例 1:

图片.png

输入:root = [5,4,8,11,null,13,4,7,2,null,null,5,1], targetSum = 22

输出:[[5,4,11,2],[5,8,4,5]]

示例 2:

图片.png

输入:root = [1,2,3], targetSum = 5

输出:[]

示例 3:

输入:root = [1,2], targetSum = 0

输出:[]

提示:

  • 树中节点总数在范围 [0, 5000] 内
  • -1000 <= Node.val <= 1000
  • -1000 <= targetSum <= 1000

代码

class Solution {
    public List<List<Integer>> pathSum(TreeNode root, int targetSum) {
        List<List<Integer>> result = new ArrayList<>();
        List<Integer> path = new ArrayList<>();
        dfs(root, targetSum, path, result);
        return result;
    }
    
    private void dfs(TreeNode node, int targetSum, List<Integer> path, List<List<Integer>> result) {
        if (node == null) {
            return;
        }
        
        // 将当前节点添加到路径中
        path.add(node.val);
        
        // 当前节点为叶子节点且节点值等于目标和,将路径添加到结果中
        if (node.left == null && node.right == null && node.val == targetSum) {
            result.add(new ArrayList<>(path));
        }
        
        // 递归处理左子树和右子树
        dfs(node.left, targetSum - node.val, path, result);
        dfs(node.right, targetSum - node.val, path, result);
        
        // 回溯,将当前节点从路径中移除
        path.remove(path.size() - 1);
    }
}

思路分析

  1. 首先,定义一个结果列表result和一个路径列表path,用于保存所有满足条件的路径。

  2. 我们从根节点开始递归遍历二叉树。在递归函数中,我们首先将当前节点的值添加到路径列表path中。

  3. 然后判断当前节点是否为叶子节点且节点值等于目标和。如果是,则将当前路径添加到结果列表result中。

  4. 接着,我们递归地遍历当前节点的左子树和右子树。在递归时,需要将目标和减去当前节点的值,作为新的目标和传递给子节点。

  5. 递归完成后,需要进行回溯操作,即将当前节点从路径列表path中移除,以便继续遍历其他路径。

  6. 最后,返回结果列表result作为所有满足条件的路径。

该算法的时间复杂度是O(n^2),其中n是二叉树中的节点个数。在最坏情况下,二叉树为一条链,需要遍历所有节点并复制路径,因此时间复杂度是O(n^2)。空间复杂度是O(n),即递归调用栈的空间和结果列表的空间。