深度学习中必备的算法:神经网络、卷积神经网络、循环神经网络

131 阅读4分钟

深度学习是一种新兴的技术,已经在许多领域中得到广泛的应用,如计算机视觉、自然语言处理、语音识别等。在深度学习中,算法是实现任务的核心,因此深度学习必备算法的学习和理解是非常重要的。

本文将详细介绍深度学习中必备的算法,包括神经网络、卷积神经网络、循环神经网络等。

神经网络

神经网络是深度学习的核心算法之一,它是一种模仿人脑神经系统的算法。神经网络由神经元和它们之间的连接组成,它们可以学习输入和输出之间的映射关系。

神经网络的训练过程通常采用反向传播算法。反向传播算法是一种基于梯度下降的优化算法,它通过计算误差和梯度来更新神经网络的参数。

神经网络可以用于各种任务,如图像分类、目标检测、语音识别等。

卷积神经网络

卷积神经网络是一种在图像处理中非常流行的神经网络。与普通神经网络不同,卷积神经网络可以利用图像中的空间结构,从而更好地处理图像数据。

卷积神经网络的核心是卷积操作。卷积操作是一种特殊的线性操作,它在一个小区域内计算输入数据的加权和,并将其输出到下一层。卷积操作可以使用不同的卷积核来提取不同的特征。

在卷积神经网络中,通常使用池化操作来降低特征图的大小。池化操作可以在一个小区域内取最大值或平均值,并将其输出到下一层。

卷积神经网络可以用于各种任务,如图像分类、目标检测、图像分割等。

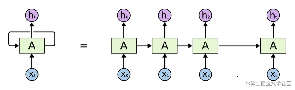
循环神经网络

循环神经网络是一种专门用于处理序列数据的神经网络。与卷积神经网络不同,循环神经网络可以利用序列数据中的时间结构,从而更好地处理序列数据。

循环神经网络的核心是循环单元。循环单元可以接收输入和上一个时间步的输出,并计算下一个时间步的输出。在循环神经网络中,循环单元可以使用不同的激活函数,如tanh、ReLU等。

在循环神经网络中,通常使用门控循环单元(GRU)或长短时记忆(LSTM)来解决梯度消失和梯度爆炸的问题。门控循环单元和长短时记忆可以控制信息的流动,并记住重要的信息。

循环神经网络可以用于各种任务,如语言模型、机器翻译、语音识别等。

深度学习必备算法的应用

深度学习必备算法可以应用于许多领域,如计算机视觉、自然语言处理、语音识别等。

1. 计算机视觉

在计算机视觉中,深度学习必备算法可以用于图像分类、目标检测、图像分割等任务。例如,在图像分类中,可以使用卷积神经网络来提取图像的特征,并使用全连接层来分类。

2. 自然语言处理

在自然语言处理中,深度学习必备算法可以用于文本分类、情感分析、机器翻译等任务。例如,在机器翻译中,可以使用循环神经网络来建模输入和输出之间的依赖关系,并预测下一个单词或短语。

3. 语音识别

在语音识别中,深度学习必备算法可以用于语音识别、语音合成等任务。例如,在语音识别中,可以使用循环神经网络来建模语音信号和文本之间的映射关系,并预测文本。

结论

深度学习必备算法是深度学习的核心,包括神经网络、卷积神经网络、循环神经网络等。深度学习必备算法可以应用于许多领域,如计算机视觉、自然语言处理、语音识别等。掌握深度学习必备算法对于深度学习的学习和应用非常重要,因此建议对这些算法进行深入研究和实践。