力扣排序练习题(合并两个有序数组、对链表进行插入排序)

206 阅读3分钟

合并两个有序数组

来源:力扣(LeetCode) 链接:leetcode.cn/problems/me…

给你两个按 非递减顺序 排列的整数数组 nums1 和 nums2,另有两个整数 m 和 n ,分别表示 nums1 和 nums2 中的元素数目。

请你 合并 nums2 到 nums1 中,使合并后的数组同样按 非递减顺序 排列。

注意:最终,合并后数组不应由函数返回,而是存储在数组 nums1 中。为了应对这种情况,nums1 的初始长度为 m + n,其中前 m 个元素表示应合并的元素,后 n 个元素为 0 ,应忽略。nums2 的长度为 n 。

示例 1:

输入:nums1 = [1,2,3,0,0,0], m = 3, nums2 = [2,5,6], n = 3

输出:[1,2,2,3,5,6]

解释:需要合并 [1,2,3][2,5,6] 。

合并结果是 [1,2,2,3,5,6] ,其中斜体加粗标注的为 nums1 中的元素。

示例 2:

输入:nums1 = [1], m = 1, nums2 = [], n = 0

输出:[1]

解释:需要合并 [1][] 。

合并结果是 [1]

示例 3:

输入:nums1 = [0], m = 0, nums2 = [1], n = 1

输出:[1]

解释:需要合并的数组是 [][1] 。

合并结果是 [1] 。

注意,因为 m = 0 ,所以 nums1 中没有元素。nums1 中仅存的 0 仅仅是为了确保合并结果可以顺利存放到 nums1 中。

提示:

  • nums1.length == m + n
  • nums2.length == n
  • 0 <= m, n <= 200
  • 1 <= m + n <= 200
  • -109 <= nums1[i], nums2[j] <= 109

代码

class Solution {
    public void merge(int[] nums1, int m, int[] nums2, int n) {
        int i = m - 1; // nums1数组的末尾索引
        int j = n - 1; // nums2数组的末尾索引
        int k = m + n - 1; // 合并后数组的末尾索引

        while (i >= 0 && j >= 0) {
            if (nums1[i] > nums2[j]) {
                nums1[k] = nums1[i];
                i--;
            } else {
                nums1[k] = nums2[j];
                j--;
            }
            k--;
        }

        // 如果nums2数组中还有剩余元素,则将其复制到nums1数组中
        while (j >= 0) {
            nums1[k] = nums2[j];
            j--;
            k--;
        }
    }
}

思路分析

  1. 初始化三个指针:

    • i:指向 nums1 数组的末尾元素。
    • j:指向 nums2 数组的末尾元素。
    • k:指向合并后的数组的末尾元素。
  2. 从后向前遍历数组:

    • 比较 nums1[i]nums2[j] 的大小,将较大的元素放入合并后的数组的末尾,并将相应指针向前移动一位。
    • 重复上述步骤,直到其中一个数组遍历完毕。
  3. 如果 nums2 数组中还有剩余元素,则将其复制到 nums1 数组中。

对链表进行插入排序

来源:力扣(LeetCode) 链接:leetcode.cn/problems/in…

给定单个链表的头 head ,使用 插入排序 对链表进行排序,并返回 排序后链表的头 。

插入排序 算法的步骤:

插入排序是迭代的,每次只移动一个元素,直到所有元素可以形成一个有序的输出列表。
每次迭代中,插入排序只从输入数据中移除一个待排序的元素,找到它在序列中适当的位置,并将其插入。
重复直到所有输入数据插入完为止。

下面是插入排序算法的一个图形示例。部分排序的列表(黑色)最初只包含列表中的第一个元素。每次迭代时,从输入数据中删除一个元素(红色),并就地插入已排序的列表中。

对链表进行插入排序。

示例 1:

图片.png

输入: head = [4,2,1,3]

输出: [1,2,3,4]

示例 2:

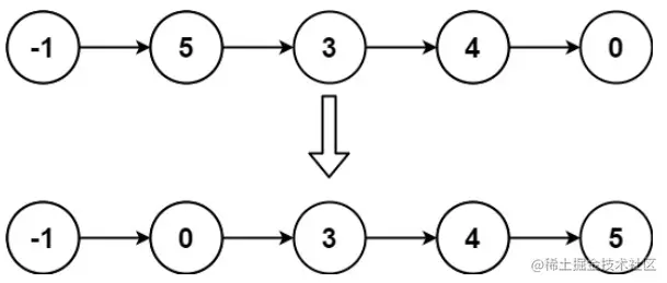
图片.png

输入: head = [-1,5,3,4,0]

输出: [-1,0,3,4,5]

提示:

  • 列表中的节点数在 [1, 5000]范围内
  • -5000 <= Node.val <= 5000

代码

class Solution {
    public ListNode insertionSortList(ListNode head) {
        if (head == null || head.next == null) {
            return head;
        }
        
        ListNode dummy = new ListNode(0); // 创建哑节点
        ListNode curr = head; // 当前节点
        
        while (curr != null) {
            ListNode prev = dummy; // 哑节点
            ListNode nextNode = curr.next; // 下一个节点
            
            // 找到插入位置
            while (prev.next != null && prev.next.val < curr.val) {
                prev = prev.next;
            }
            
            // 将当前节点插入到合适的位置
            curr.next = prev.next;
            prev.next = curr;
            
            curr = nextNode; // 移动到下一个节点
        }
        
        return dummy.next;
    }
}

思路分析

  1. 创建一个哑节点 dummy,用于指向链表的头部。
  2. 从头节点开始,遍历整个链表。
  3. 对于每个节点 curr,需要找到其在有序部分的插入位置。使用另一个指针 prev 来指向哑节点,并向后遍历找到插入位置。
  4. curr 节点插入到 prev 的后面,并更新节点之间的连接关系。
  5. 移动 curr 到下一个节点,继续遍历直到所有节点都被处理。
  6. 返回哑节点的下一个节点作为排序后的链表的头节点。