代码随想录训练营day04|24. 两两交换链表中的节点 ,19.删除链表的倒数第N个节点 , 面试题 02.07. 链表相交 , 142.环形链表II

116 阅读2分钟

@TOC


前言

代码随想录算法训练营day04 (不会写数据结构的代码,对着力扣题解和代码随想录网站边敲学)


一、Leetcode24. 两两交换链表中的节点

1.题目

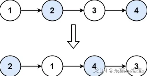
给你一个链表,两两交换其中相邻的节点,并返回交换后链表的头节点。你必须在不修改节点内部的值的情况下完成本题(即,只能进行节点交换)。

示例 1:

在这里插入图片描述

输入:head = [1,2,3,4] 输出:[2,1,4,3]

示例 2:

输入:head = [] 输出:[]

示例 3:

输入:head = [1] 输出:[1]

提示:

  • 链表中节点的数目在范围 [0, 100] 内
  • 0 <= Node.val <= 100

来源:力扣(LeetCode) 链接:leetcode.cn/problems/sw…

2.解题思路

  1. 方法一:递归
  • 可以通过递归的方式实现两两交换链表中的节点。

  • 递归的终止条件是链表中没有节点,或者链表中只有一个节点,此时无法进行交换。

  • 如果链表中至少有两个节点,则在两两交换链表中的节点之后,原始链表的头节点变成新的链表的第二个节点,原始链表的第二个节点变成新的链表的头节点。链表中的其余节点的两两交换可以递归地实现。在对链表中的其余节点递归地两两交换之后,更新节点之间的指针关系,即可完成整个链表的两两交换。

  • 用 head 表示原始链表的头节点,新的链表的第二个节点,用 newHead 表示新的链表的头节点,原始链表的第二个节点,则原始链表中的其余节点的头节点是 newHead.next。令 head.next = swapPairs(newHead.next),表示将其余节点进行两两交换,交换后的新的头节点为 head 的下一个节点。然后令 newHead.next = head,即完成了所有节点的交换。最后返回新的链表的头节点 newHead。

3.代码实现

  • 递归实现
/**
 * Definition for singly-linked list.
 * public class ListNode {
 *     int val;
 *     ListNode next;
 *     ListNode() {}
 *     ListNode(int val) { this.val = val; }
 *     ListNode(int val, ListNode next) { this.val = val; this.next = next; }
 * }
 */
class Solution {
    public ListNode swapPairs(ListNode head) {
        if (head == null || head.next == null) {
            return head;
        }
        ListNode newHead = head.next;
        head.next = swapPairs(newHead.next);
        newHead.next = head;
        return newHead;
    }
}

二、Leetcode 19.删除链表的倒数第N个节点

1.题目

给你一个链表,删除链表的倒数第 n 个结点,并且返回链表的头结点。

示例 1:

在这里插入图片描述

输入:head = [1,2,3,4,5], n = 2 输出:[1,2,3,5]

示例 2:

输入:head = [1], n = 1 输出:[]

示例 3:

输入:head = [1,2], n = 1 输出:[1]

提示:

链表中结点的数目为 sz
  • 1 <= sz <= 30
  • 0 <= Node.val <= 100
  • 1 <= n <= sz

来源:力扣(LeetCode) 链接:leetcode.cn/problems/re…

2.解题思路

方法一:计算链表长度

  • 一种容易想到的方法是,我们首先从头节点开始对链表进行一次遍历,得到链表的长度 LL。随后我们再从头节点开始对链表进行一次遍历,当遍历到第 L−n+1L−n+1 个节点时,它就是我们需要删除的节点。

  • 为了与题目中的 nn 保持一致,节点的编号从 11 开始,头节点为编号 11 的节点。

  • 为了方便删除操作,我们可以从哑节点开始遍历 L−n+1L−n+1 个节点。当遍历到第 L−n+1L−n+1 个节点时,它的下一个节点就是我们需要删除的节点,这样我们只需要修改一次指针,就能完成删除操作。

3.代码实现

  • 计算链表长度
/**
 * Definition for singly-linked list.
 * public class ListNode {
 *     int val;
 *     ListNode next;
 *     ListNode() {}
 *     ListNode(int val) { this.val = val; }
 *     ListNode(int val, ListNode next) { this.val = val; this.next = next; }
 * }
 */
class Solution {
    public ListNode removeNthFromEnd(ListNode head, int n) {
        ListNode dummy = new ListNode(0, head);
        int length = getLength(head);
        ListNode cur = dummy;
        for (int i = 1; i < length - n + 1; ++i) {
            cur = cur.next;
        }
        cur.next = cur.next.next;
        ListNode ans = dummy.next;
        return ans;
    }

    public int getLength(ListNode head) {
        int length = 0;
        while (head != null) {
            ++length;
            head = head.next;
        }
        return length;
    }
}

三、Leetcode面试题 02.07. 链表相交

1.题目

给你两个单链表的头节点 headA 和 headB ,请你找出并返回两个单链表相交的起始节点。如果两个链表没有交点,返回 null 。

图示两个链表在节点 c1 开始相交:

题目数据 保证 整个链式结构中不存在环。

注意,函数返回结果后,链表必须 保持其原始结构 。

示例 1:

输入:intersectVal = 8, listA = [4,1,8,4,5], listB = [5,0,1,8,4,5], skipA = 2, skipB = 3 输出:Intersected at '8' 解释:相交节点的值为 8 (注意,如果两个链表相交则不能为 0)。 从各自的表头开始算起,链表 A 为 [4,1,8,4,5],链表 B 为 [5,0,1,8,4,5]。 在 A 中,相交节点前有 2 个节点;在 B 中,相交节点前有 3 个节点。

示例 2:

输入:intersectVal = 2, listA = [0,9,1,2,4], listB = [3,2,4], skipA = 3, skipB = 1 输出:Intersected at '2' 解释:相交节点的值为 2 (注意,如果两个链表相交则不能为 0)。 从各自的表头开始算起,链表 A 为 [0,9,1,2,4],链表 B 为 [3,2,4]。 在 A 中,相交节点前有 3 个节点;在 B 中,相交节点前有 1 个节点。

示例 3:

输入:intersectVal = 0, listA = [2,6,4], listB = [1,5], skipA = 3, skipB = 2 输出:null 解释:从各自的表头开始算起,链表 A 为 [2,6,4],链表 B 为 [1,5]。 由于这两个链表不相交,所以 intersectVal 必须为 0,而 skipA 和 skipB 可以是任意值。 这两个链表不相交,因此返回 null 。

提示:

listA 中节点数目为 m
listB 中节点数目为 n
0 <= m, n <= 3 * 104
1 <= Node.val <= 105
0 <= skipA <= m
0 <= skipB <= n
如果 listA 和 listB 没有交点,intersectVal 为 0
如果 listA 和 listB 有交点,intersectVal == listA[skipA + 1] == listB[skipB + 1]

来源:力扣(LeetCode) 链接:leetcode.cn/problems/in…

2.解题思路

方法一:哈希集合

  • 判断两个链表是否相交,可以使用哈希集合存储链表节点。

  • 首先遍历链表 headAheadA,并将链表 headAheadA 中的每个节点加入哈希集合中。然后遍历链表 headBheadB,对于遍历到的每个节点,判断该节点是否在哈希集合中:

  • 如果当前节点不在哈希集合中,则继续遍历下一个节点;

  • 如果当前节点在哈希集合中,则后面的节点都在哈希集合中,即从当前节点开始的所有节点都在两个链表的相交部分,因此在链表 headBheadB 中遍历到的第一个在哈希集合中的节点就是两个链表相交的节点,返回该节点。

  • 如果链表 headBheadB 中的所有节点都不在哈希集合中,则两个链表不相交,返回 null。

3.代码实现

  • 哈希集合
/**
 * Definition for singly-linked list.
 * public class ListNode {
 *     int val;
 *     ListNode next;
 *     ListNode(int x) {
 *         val = x;
 *         next = null;
 *     }
 * }
 */
public class Solution {
    public ListNode getIntersectionNode(ListNode headA, ListNode headB) {
        Set<ListNode> visited = new HashSet<ListNode>();
        ListNode temp = headA;
        while (temp != null) {
            visited.add(temp);
            temp = temp.next;
        }
        temp = headB;
        while (temp != null) {
            if (visited.contains(temp)) {
                return temp;
            }
            temp = temp.next;
        }
        return null;
    }
}

四、Leetcode142.环形链表II

1.题目

给定一个链表的头节点 head ,返回链表开始入环的第一个节点。 如果链表无环,则返回 null。

如果链表中有某个节点,可以通过连续跟踪 next 指针再次到达,则链表中存在环。 为了表示给定链表中的环,评测系统内部使用整数 pos 来表示链表尾连接到链表中的位置(索引从 0 开始)。如果 pos 是 -1,则在该链表中没有环。注意:pos 不作为参数进行传递,仅仅是为了标识链表的实际情况。

不允许修改 链表。

示例 1:

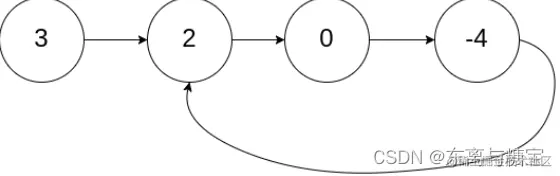
在这里插入图片描述

输入:head = [3,2,0,-4], pos = 1 输出:返回索引为 1 的链表节点 解释:链表中有一个环,其尾部连接到第二个节点。

示例 2:

在这里插入图片描述

输入:head = [1,2], pos = 0 输出:返回索引为 0 的链表节点 解释:链表中有一个环,其尾部连接到第一个节点。

示例 3:

在这里插入图片描述

输入:head = [1], pos = -1 输出:返回 null 解释:链表中没有环。

提示:

链表中节点的数目范围在范围 [0, 104] 内
-105 <= Node.val <= 105
pos 的值为 -1 或者链表中的一个有效索引

来源:力扣(LeetCode) 链接:leetcode.cn/problems/li…

2.解题思路

方法一:哈希表

  • 一个非常直观的思路是:我们遍历链表中的每个节点,并将它记录下来;一旦遇到了此前遍历过的节点,就可以判定链表中存在环。借助哈希表可以很方便地实现。

3.代码实现

  • 哈希集合
/**
 * Definition for singly-linked list.
 * class ListNode {
 *     int val;
 *     ListNode next;
 *     ListNode(int x) {
 *         val = x;
 *         next = null;
 *     }
 * }
 */
 public class Solution {
    public ListNode detectCycle(ListNode head) {
        ListNode pos = head;
        Set<ListNode> visited = new HashSet<ListNode>();
        while (pos != null) {
            if (visited.contains(pos)) {
                return pos;
            } else {
                visited.add(pos);
            }
            pos = pos.next;
        }
        return null;
    }
}

五、参考网站及博客