代码随想录训练营day03|链表理论基础 , 203.移除链表元素 , 707.设计链表 , 206.反转链表

110 阅读2分钟

@TOC


前言

代码随想录算法训练营day03 (不是很会,对着代码随想录网站和力扣官网敲的代码)


一、链表理论基础

二、203.移除链表元素

1.题目

给你一个链表的头节点 head 和一个整数 val ,请你删除链表中所有满足 Node.val == val 的节点,并返回 新的头节点 。

示例 1:

输入:head = [1,2,6,3,4,5,6], val = 6 输出:[1,2,3,4,5]

示例 2:

输入:head = [], val = 1 输出:[]

示例 3:

输入:head = [7,7,7,7], val = 7 输出:[]

提示:

  • 列表中的节点数目在范围 [0, 104] 内
  • 1 <= Node.val <= 50
  • 0 <= val <= 50

来源:力扣(LeetCode) 链接:leetcode.cn/problems/re…

2.解题思路

代码随想录网站

3.代码实现

  1. 添加虚节点方式
/**
 * Definition for singly-linked list.
 * public class ListNode {
 *     int val;
 *     ListNode next;
 *     ListNode() {}
 *     ListNode(int val) { this.val = val; }
 *     ListNode(int val, ListNode next) { this.val = val; this.next = next; }
 * }
 */
class Solution {
   public ListNode removeElements(ListNode head, int val) {
    if (head == null) {
        return head;
    }
    // 因为删除可能涉及到头节点,所以设置dummy节点,统一操作
    ListNode dummy = new ListNode(-1, head);
    ListNode pre = dummy;
    ListNode cur = head;
    while (cur != null) {
        if (cur.val == val) {
            pre.next = cur.next;
        } else {
            pre = cur;
        }
        cur = cur.next;
    }
    return dummy.next;
}
}

  1. 不添加虚拟节点方式
/**
 * Definition for singly-linked list.
 * public class ListNode {
 *     int val;
 *     ListNode next;
 *     ListNode() {}
 *     ListNode(int val) { this.val = val; }
 *     ListNode(int val, ListNode next) { this.val = val; this.next = next; }
 * }
 */
class Solution {
   public ListNode removeElements(ListNode head, int val) {
    while (head != null && head.val == val) {
        head = head.next;
    }
    // 已经为null,提前退出
    if (head == null) {
        return head;
    }
    // 已确定当前head.val != val
    ListNode pre = head;
    ListNode cur = head.next;
    while (cur != null) {
        if (cur.val == val) {
            pre.next = cur.next;
        } else {
            pre = cur;
        }
        cur = cur.next;
    }
    return head;
}
}
  1. 不添加虚拟节点and pre Node方式
/**
 * Definition for singly-linked list.
 * public class ListNode {
 *     int val;
 *     ListNode next;
 *     ListNode() {}
 *     ListNode(int val) { this.val = val; }
 *     ListNode(int val, ListNode next) { this.val = val; this.next = next; }
 * }
 */
public ListNode removeElements(ListNode head, int val) {
    while(head!=null && head.val==val){
        head = head.next;
    }
    ListNode curr = head;
    while(curr!=null){
        while(curr.next!=null && curr.next.val == val){
            curr.next = curr.next.next;
        }
        curr = curr.next;
    }
    return head;
}

三、Leetcode 707.设计链表

1.题目

你可以选择使用单链表或者双链表,设计并实现自己的链表。

单链表中的节点应该具备两个属性:val 和 next 。val 是当前节点的值,next 是指向下一个节点的指针/引用。

如果是双向链表,则还需要属性 prev 以指示链表中的上一个节点。假设链表中的所有节点下标从 0 开始。

实现 MyLinkedList 类:

MyLinkedList() 初始化 MyLinkedList 对象。
int get(int index) 获取链表中下标为 index 的节点的值。如果下标无效,则返回 -1void addAtHead(int val) 将一个值为 val 的节点插入到链表中第一个元素之前。在插入完成后,新节点会成为链表的第一个节点。
void addAtTail(int val) 将一个值为 val 的节点追加到链表中作为链表的最后一个元素。
void addAtIndex(int index, int val) 将一个值为 val 的节点插入到链表中下标为 index 的节点之前。如果 index 等于链表的长度,那么该节点会被追加到链表的末尾。如果 index 比长度更大,该节点将 不会插入 到链表中。
void deleteAtIndex(int index) 如果下标有效,则删除链表中下标为 index 的节点。

示例:

输入 ["MyLinkedList", "addAtHead", "addAtTail", "addAtIndex", "get", "deleteAtIndex", "get"] [[], [1], [3], [1, 2], [1], [1], [1]] 输出 [null, null, null, null, 2, null, 3]

解释

MyLinkedList myLinkedList = new MyLinkedList(); myLinkedList.addAtHead(1); myLinkedList.addAtTail(3); myLinkedList.addAtIndex(1, 2); // 链表变为 1->2->3 myLinkedList.get(1); // 返回 2 myLinkedList.deleteAtIndex(1); // 现在,链表变为 1->3 myLinkedList.get(1); // 返回 3

提示:

  • 0 <= index, val <= 1000
  • 请不要使用内置的 LinkedList 库。
  • 调用 get、addAtHead、addAtTail、addAtIndex 和 deleteAtIndex 的次数不超过 2000 。

来源:力扣(LeetCode) 链接:leetcode.cn/problems/de…

2.解题思路

3.代码实现

class MyLinkedList {
    int size;
    ListNode head;

    public MyLinkedList() {
        size = 0;
        head = new ListNode(0);
    }

    public int get(int index) {
        if (index < 0 || index >= size) {
            return -1;
        }
        ListNode cur = head;
        for (int i = 0; i <= index; i++) {
            cur = cur.next;
        }
        return cur.val;
    }

    public void addAtHead(int val) {
        addAtIndex(0, val);
    }

    public void addAtTail(int val) {
        addAtIndex(size, val);
    }

    public void addAtIndex(int index, int val) {
        if (index > size) {
            return;
        }
        index = Math.max(0, index);
        size++;
        ListNode pred = head;
        for (int i = 0; i < index; i++) {
            pred = pred.next;
        }
        ListNode toAdd = new ListNode(val);
        toAdd.next = pred.next;
        pred.next = toAdd;
    }

    public void deleteAtIndex(int index) {
        if (index < 0 || index >= size) {
            return;
        }
        size--;
        ListNode pred = head;
        for (int i = 0; i < index; i++) {
            pred = pred.next;
        }
        pred.next = pred.next.next;
    }
}

class ListNode {
    int val;
    ListNode next;

    public ListNode(int val) {
        this.val = val;
    }
}

/**
 * Your MyLinkedList object will be instantiated and called as such:
 * MyLinkedList obj = new MyLinkedList();
 * int param_1 = obj.get(index);
 * obj.addAtHead(val);
 * obj.addAtTail(val);
 * obj.addAtIndex(index,val);
 * obj.deleteAtIndex(index);
 */
 

四、206.反转链表

1.题目

给你单链表的头节点 head ,请你反转链表,并返回反转后的链表。

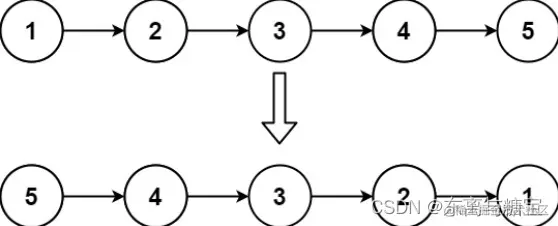
示例 1: 在这里插入图片描述

输入:head = [1,2,3,4,5] 输出:[5,4,3,2,1]

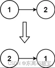
示例 2: 在这里插入图片描述

输入:head = [1,2] 输出:[2,1]

示例 3:

输入:head = [] 输出:[]

提示:

  • 链表中节点的数目范围是 [0, 5000]
  • -5000 <= Node.val <= 5000

来源:力扣(LeetCode) 链接:leetcode.cn/problems/re…

2.解题思路

3.代码实现

  1. 方法一:迭代
/**
 * Definition for singly-linked list.
 * public class ListNode {
 *     int val;
 *     ListNode next;
 *     ListNode() {}
 *     ListNode(int val) { this.val = val; }
 *     ListNode(int val, ListNode next) { this.val = val; this.next = next; }
 * }
 */
class Solution {
    public ListNode reverseList(ListNode head) {
        ListNode prev = null;
        ListNode curr = head;
        while (curr != null) {
            ListNode next = curr.next;
            curr.next = prev;
            prev = curr;
            curr = next;
        }
        return prev;
    }
}

方法二:递归

/**
 * Definition for singly-linked list.
 * public class ListNode {
 *     int val;
 *     ListNode next;
 *     ListNode() {}
 *     ListNode(int val) { this.val = val; }
 *     ListNode(int val, ListNode next) { this.val = val; this.next = next; }
 * }
 */
class Solution {
    public ListNode reverseList(ListNode head) {
        if (head == null || head.next == null) {
            return head;
        }
        ListNode newHead = reverseList(head.next);
        head.next.next = head;
        head.next = null;
        return newHead;
    }
}