类的继承(Inheritance)

160 阅读4分钟

类的继承(Inheritance)

类的继承,跟人类繁衍的关系相似。

被继承的类称为基类(也叫做父类),继承而得的类叫派生类(也叫子类),这种关系就像人类的父子关系。

继承最大的好处是子类获得了父类的全部变量和方法的同时,又可以根据需要进行修改、拓展。

继承的语法结构是

class 子类(父类):

1. 单继承

举个例子:下面的代码中。先是定义了一个 People 类,里面有一个 speak 方法。然后再定义一个 Student 类,并继承自 People 类。

# 父类定义
class People:
    def __init__(self, name, age, weight):
        self.name = name
        self.age = age

    def speak(self):
        print(f"{self.name} 说: 我{self.age}岁。")

# 单继承示例
class Student(People):
    def __init__(self, name, age, weight, grade):
        # 调用父类的实例化方法
        People.__init__(self, name, age, weight)
        self.grade = grade

由于继承的机制,Student 实例会拥有 People 类所有属性和方法,比如下边我可以直接调用 People 类的 speak 方法。

>>> xm = Student(name="小明", age=10, weight=50, grade="三年级")
>>> xm.speak()
小明 说: 我 10 岁。

你如果不想使用父类的方法,你可以重写它以覆盖父类的 speak 方法。

# 单继承示例
class Student(People):
    def __init__(self, name, age, weight, grade):
        # 调用父类的实例化方法
        People.__init__(self, name, age, weight)
        self.grade = grade

    # 重写父类的speak方法
    def speak(self):
        print(f"{self.name} 说: 我{self.age}岁了,我在读{self.grade}")

此时,再调用的话,就会调用自己的方法了

>>> xm = Student(name="小明", age=10, weight=50, grade="三年级")
>>> xm.speak()
小明 说: 我10岁了,我在读三年级

2. 多继承

Python 还支持多继承,可以继承自多个类。

class 子类(父类1, 父类2, 父类3...):

多继承的话,情况会比单继承复杂得多。

假设多个父类都有一个 foo 方法,并且子类没有重写 foo 方法,那么 子类 的实例在调用 foo 方法时,应该使用哪个父类的 foo 方法呢?

关于这一点,只要简单的做个验证就行啦。

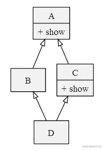
有如下代码,定义了 7 个类

class D:pass
class C(D):pass

class B(C):
    def show(self):
        print("i am B")

class G:pass
class F(G):pass

class E(F):
    def show(self):
        print("i am E")

class A(B, E):pass

它们的继承关系是

http://image.iswbm.com/image-20201213150058921.png

运行后的结果如下

>>> a = A()
>>> a.show()
i am B

在类A中,没有show()这个方法,于是它只能去它的父类里查找,它首先在B类中找,结果找到了,于是直接执行B类的show()方法。可见,在A的定义中,继承参数的书写有先后顺序,写在前面的被优先继承。

3. 继承顺序

那如果B没有show方法,而是D有呢?

class D:
    def show(self):
        print("i am D")

class C(D):pass
class B(C):pass


class G:pass
class F(G):pass

class E(F):
    def show(self):
        print("i am E")

class A(B, E):pass

执行结果是

>>> a = A()
>>> a.show()
i am D

由此可见,多继承的顺序使用的是从左向右再深度优先的原则。

http://image.iswbm.com/image-20201213151434342.png

4. MRO 算法

上面的继承案例是只是非常简单的一种场景,在实际应用中,会远比这个来得复杂。

此时如果你单纯的将其理解成

  • 从左向右
  • 深度优先

就会发现很场景下想要理清的方法解析顺序(MRO)是非常难的。

在这种情况下,你还可以有两种方法:

  1. 使用 __mro__ 来查询
  2. 使用 merge算法进行推导

使用 mro 查询

比如在下面这个菱形继承中

class A(object):pass
class B(A):pass
class C(A):pass
class D(B, C):pass

http://image.iswbm.com/20201004123106.png

可以使用 __mro__

>>> print(D.__mro__)

或者借助 inspect 模块

>>> import inspect
>>> print inspect.getmro(D)

得到的结果都将是

(<class '__main__.D'>,
 <class '__main__.B'>,
 <class '__main__.C'>,
 <class '__main__.A'>,
 <class 'object'>)

使用 merge 推导

http://image.iswbm.com/20201004123115.png

  1. 检查第一个列表的头元素(如 L[B1] 的头),记作 H。
  2. 若 H 未出现在其它列表的尾部,则将其输出,并将其从所有列表中删除,然后回到步骤1;否则,取出下一个列表的头部记作 H,继续该步骤。
  3. 重复上述步骤,直至列表为空或者不能再找出可以输出的元素。如果是前一种情况,则算法结束;如果是后一种情况,说明无法构建继承关系,Python 会抛出异常。

你可以在草稿纸上,参照上面的merge算法,写出如下过程

L[object] = [object]
L[D] = [D, object]
L[E] = [E, object]
L[F] = [F, object]
L[B] = [B, D, E, object]
L[C] = [C, D, F, object]
L[A] = [A] + merge(L[B], L[C], [B], [C])
     = [A] + merge([B, D, E, object], [C, D, F, object], [B], [C])
     = [A, B] + merge([D, E, object], [C, D, F, object], [C])
     = [A, B, C] + merge([D, E, object], [D, F, object])
     = [A, B, C, D] + merge([E, object], [F, object])
     = [A, B, C, D, E] + merge([object], [F, object])
     = [A, B, C, D, E, F] + merge([object], [object])
     = [A, B, C, D, E, F, object]